医療用医薬品 詳細表示

センノシド錠12mg「杏林」

処方せん医薬品以外の医薬品

添付文書番号
企業コード
作成又は改訂年月
日本標準商品分類番号
薬効分類名
承認等
一般的名称
2.禁忌(次の患者には投与しないこと)
3.組成・性状
3.1組成
3.2製剤の性状
4.効能又は効果
6.用法及び用量
8.重要な基本的注意
9.特定の背景を有する患者に関する注意
9.1合併症・既往歴等のある患者
9.5妊婦
9.6授乳婦
9.7小児等
9.8高齢者
11.副作用
11.2その他の副作用
14.適用上の注意
16.薬物動態
16.4代謝
16.5排泄
17.臨床成績
17.1有効性及び安全性に関する試験
18.薬効薬理
18.1作用機序
19.有効成分に関する理化学的知見
22.包装
23.主要文献
24.文献請求先及び問い合わせ先
26.製造販売業者等

センノシド錠12mg「杏林」

添付文書番号

2354003F2456_1_03

企業コード

480187

作成又は改訂年月

2024年5月改訂(第2版)
2024年2月改訂(第1版)

日本標準商品分類番号

872354

薬効分類名

緩下剤

承認等

センノシド錠12mg「杏林」

販売名コード

YJコード

2354003F2456

販売名英語表記

SENNOSIDE Tablets

承認番号等

承認番号

30100AMX00212000

販売開始年月

2019年12月

貯法・有効期間

貯法

室温保存

有効期間

3年

一般的名称

センノシド錠

2. 禁忌(次の患者には投与しないこと)

  1. 2.1 本剤の成分又はセンノシド製剤に過敏症の既往歴のある患者
  2. 2.2 急性腹症が疑われる患者、痙攣性便秘の患者[蠕動運動亢進作用により腹痛等の症状を増悪するおそれがある。]
  3. 2.3 重症の硬結便のある患者[下剤の経口投与では十分な効果が得られず、腹痛等の症状を増悪するおそれがある。]
  4. 2.4 電解質失調(特に低カリウム血症)のある患者[大量投与を避けること。下痢が起こると電解質を喪失し、状態を悪化するおそれがある。]

3. 組成・性状

3.1 組成

センノシド錠12mg「杏林」

有効成分1錠中にセンノシドA・Bをそのカルシウム塩として   12mg含有する。
添加剤乳糖水和物、トウモロコシデンプン、ヒドロキシプロピルセルロース、クロスポビドン、ステアリン酸マグネシウム、ヒプロメロース、白糖、沈降炭酸カルシウム、アラビアゴム末、ゼラチン、タルク、酸化チタン、マクロゴール6000、カルメロースナトリウム、カルナウバロウ、赤色2号、黄色5号

3.2 製剤の性状

センノシド錠12mg「杏林」

外形表面
裏面
側面
大きさ直径7.6mm
厚さ4.5mm
質量200mg
識別コードなし
色・剤形暗赤褐色の糖衣錠

4. 効能又は効果

便秘症

6. 用法及び用量

センノシドA・B(又はそのカルシウム塩)として、通常成人1日1回12~24mgを就寝前に経口投与する。
高度の便秘には、1回48mgまで増量することができる。
なお、年齢、症状により適宜増減する。

8. 重要な基本的注意

連用による耐性の増大等のため効果が減弱し、薬剤に頼りがちになることがあるので長期連用を避けること。

9. 特定の背景を有する患者に関する注意

9.1 合併症・既往歴等のある患者

  1. 9.1.1 腹部手術後の患者

    腸管蠕動運動亢進作用により腹痛等がみられるので、消化管の手術後は特に注意すること。

9.5 妊婦

妊婦又は妊娠している可能性のある女性には、治療上の有益性が危険性を上回ると判断される場合にのみ投与すること。
なお、投与した場合、子宮収縮を誘発して、流早産の危険性があるので、妊婦又は妊娠している可能性のある女性には大量に服用しないよう指導すること。

9.6 授乳婦

治療上の有益性及び母乳栄養の有益性を考慮し、授乳の継続又は中止を検討すること。授乳中の女性25例にセンノシド製剤を単回投与し、乳汁中への移行について検討した結果、全例でセンノシドA・Bは検出限界以下であったが、当該授乳婦の乳児2例に下痢がみられたとの報告がある。

9.7 小児等

小児等を対象とした臨床試験は実施していない。

9.8 高齢者

一般に生理機能が低下している。

11. 副作用

次の副作用があらわれることがあるので、観察を十分に行い、異常が認められた場合には投与を中止するなどの適切な処置を行うこと。

11.2 その他の副作用

5%以上

0.1%~5%未満

頻度不明

過敏症

発疹等

代謝・栄養

低カリウム血症、低ナトリウム血症、脱水

心血管系

血圧低下

消化器

腹痛

下痢、悪心・嘔吐、腹鳴

腹部不快感、大腸メラノーシス注1)

肝臓

ALT上昇、AST上昇、γ-GTP上昇、血中ビリルビン上昇

腎臓・泌尿器

腎障害、着色尿注2)

全身症状

疲労

注1)長期連用により発現することがある。
注2)黄褐色又は赤色を呈することがある。

14. 適用上の注意

14.1 薬剤交付時の注意

PTP包装の薬剤はPTPシートから取り出して服用するよう指導すること。PTPシートの誤飲により、硬い鋭角部が食道粘膜へ刺入し、更には穿孔をおこして縦隔洞炎等の重篤な合併症を併発することがある。

16. 薬物動態

16.4 代謝

尿中の主な代謝物はレイン及びそのグルクロン酸抱合体及びセンニジンであった。糞便中の主な代謝物はレイン、レインアンスロン及びセンニジンであった(ラット)1)

16.5 排泄

センノシドは、経口投与後、糞中及び尿中に種々のアントラセン誘導体として排泄される1)

17. 臨床成績

17.1 有効性及び安全性に関する試験

  1. 17.1.1 国内一般臨床試験

    慢性便秘症患者30例を対象とした試験(1回1~3錠、1日就寝前投与)の結果、慢性便秘症に対するセンノシドの有効率は96.7%(29/30)であった。副作用は軽度の腹痛を伴った2例のみであった2)

18. 薬効薬理

18.1 作用機序

  1. 18.1.1 センノシドは、大腸に至り、腸内細菌の作用でレインアンスロンを生成し大腸の蠕動運動を亢進する(マウス3)、ラット1))。
  2. 18.1.2 センノシドの作用は通常投与後8~10時間で発現する(ヒト4))。

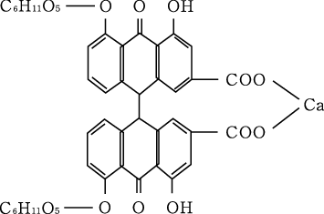
19. 有効成分に関する理化学的知見

一般的名称

センノシドA・Bカルシウム塩

化学名

dihydro-dirheinanthrone glucoside calcium salt

分子式

C42H36O20Ca

分子量

900.80

性状

センノシドAとBは互いに立体異性体で、そのカルシウム塩は褐色~黒褐色の粉末で、わずかに特異なにおいがあり、味はわずかに苦い。本品は水に溶けやすく、エタノール(95)及びジエチルエーテルにはほとんど溶けない。

化学構造式

22. 包装

100錠[10錠(PTP)×10]
1000錠[10錠(PTP)×100]
1000錠[ポリエチレン袋、バラ]

24. 文献請求先及び問い合わせ先

キョーリンリメディオ株式会社 学術部

〒920-0017 石川県金沢市諸江町下丁287番地1

TEL 0120-960189
FAX 0120-189099

東洋カプセル株式会社 信頼性保証部

〒418-0046 静岡県富士宮市中里東町560

TEL 0544-25-9511
FAX 0544-23-8165

26. 製造販売業者等

26.1 製造販売元

東洋カプセル株式会社

静岡県富士宮市中里東町560

26.2 *販売元

杏林製薬株式会社

東京都千代田区大手町一丁目3番7号

26.3 発売元

キョーリンリメディオ株式会社

富山県南砺市井波885番地

〒100-0013 東京都千代田区霞が関3-3-2 新霞が関ビル

画面を閉じる

Copyright © Pharmaceuticals and Medical Devices Agency, All Rights reserved.