医療用医薬品 詳細表示

カリエード散

処方せん医薬品以外の医薬品

添付文書番号
企業コード
作成又は改訂年月
日本標準商品分類番号
薬効分類名
承認等
一般的名称
2.禁忌(次の患者には投与しないこと)
3.組成・性状
3.1組成
3.2製剤の性状
4.効能又は効果
6.用法及び用量
8.重要な基本的注意
9.特定の背景を有する患者に関する注意
9.1合併症・既往歴等のある患者
9.5妊婦
9.8高齢者
10.相互作用
10.2併用注意(併用に注意すること)
11.副作用
11.1重大な副作用
11.2その他の副作用
14.適用上の注意
15.その他の注意
15.1臨床使用に基づく情報
16.薬物動態
16.2吸収
16.5排泄
17.臨床成績
17.1有効性及び安全性に関する試験
18.薬効薬理
18.1作用機序
18.2カリウム交換容量
18.3全腎摘出ラットにおける血清カリウム値上昇抑制作用
18.4腎不全患者における血清カリウム値上昇抑制作用
19.有効成分に関する理化学的知見
22.包装
23.主要文献
24.文献請求先及び問い合わせ先
26.製造販売業者等

カリエード散

添付文書番号

2190016X1113_1_06

企業コード

480199

作成又は改訂年月

2025年6月改訂(第2版)
2020年12月改訂(第1版)

日本標準商品分類番号

87219

薬効分類名

高カリウム血症改善剤

承認等

カリエード散

販売名コード

YJコード

2190016X1113

販売名英語表記

KALIAID POWDER

販売名ひらがな

かりえーどさん

承認番号等

承認番号

22000AMX01447

販売開始年月

1989年8月

貯法・有効期間

貯法

室温保存

有効期間

5年

基準名

日本薬局方

ポリスチレンスルホン酸カルシウム

一般的名称

ポリスチレンスルホン酸カルシウム

2. 禁忌(次の患者には投与しないこと)

腸閉塞の患者[腸管穿孔を起こすおそれがある。]

3. 組成・性状

3.1 組成

カリエード散

有効成分1g中
日局ポリスチレンスルホン酸カルシウム1g  

3.2 製剤の性状

カリエード散

識別コードHM284(分包に表示)
性状微黄白色~淡黄色の粉末(散剤)である。

4. 効能又は効果

  • 急性及び慢性腎不全に伴う高カリウム血症

6. 用法及び用量

  • 〈経口投与〉

    通常成人1日15~30gを2~3回にわけ、その1回量を水30~50mLに懸濁し、経口投与する。なお、症状により適宜増減する。

  • 〈注腸投与〉

    通常成人1回30gを水または2%メチルセルロース溶液100mLに懸濁して注腸する。体温程度に加温した懸濁液を注腸し30分から1時間腸管内に放置する。液がもれてくるようであれば枕で臀部挙上するか、或いはしばらくの間膝胸位をとらせる。
    水または2%メチルセルロース溶液にかえて5%ブドウ糖溶液を用いてもよい。

8. 重要な基本的注意

  1. 8.1 腸管穿孔、腸閉塞、大腸潰瘍があらわれることがあるので、高度の便秘、持続する腹痛、嘔吐、下血等の異常が認められた場合には、投与を中止し、適切な処置を行うこと。,,,,
  2. 8.2 本剤を経口投与するにあたっては、患者に排便状況を確認させ、便秘に引き続き腹痛、腹部膨満感、嘔吐等の症状があらわれた場合には、医師等に相談するよう指導すること。
  3. 8.3 過量投与を防ぐため、規則的に血清カリウム値及び血清カルシウム値を測定しながら投与すること。また異常を認めた場合には、減量又は休薬等の適切な処置を行うこと。

9. 特定の背景を有する患者に関する注意

9.1 合併症・既往歴等のある患者

  1. 9.1.1 便秘を起こしやすい患者

    腸閉塞、腸管穿孔を起こすおそれがある。,

  2. 9.1.2 腸管狭窄のある患者

    腸閉塞、腸管穿孔を起こすおそれがある。,

  3. 9.1.3 消化管潰瘍のある患者

    症状を増悪させるおそれがある。,

  4. 9.1.4 副甲状腺機能亢進症の患者

    イオン交換で血中カルシウム濃度が上昇するおそれがある。

  5. 9.1.5 多発性骨髄腫の患者

    イオン交換で血中カルシウム濃度が上昇するおそれがある。

9.5 妊婦

妊婦又は妊娠している可能性のある女性には、治療上の有益性が危険性を上回ると判断される場合にのみ投与すること。

9.8 高齢者

減量するなど注意すること。一般に生理機能が低下している。

10. 相互作用

    10.2 併用注意(併用に注意すること)

    薬剤名等臨床症状・措置方法機序・危険因子

    ジギタリス剤

    • ジゴキシン等

    ジギタリス中毒作用が増強されることがある。

    本剤の血清カリウム値低下作用による。

    アルミニウム、マグネシウム又はカルシウムを含有する制酸剤又は緩下剤

    • 乾燥水酸化アルミニウムゲル
      水酸化マグネシウム
      沈降炭酸カルシウム等

    本剤の効果が減弱するおそれがある。

    非選択的に左記薬剤の陽イオンと交換する可能性がある。

    アルミニウム、マグネシウム又はカルシウムを含有する制酸剤又は緩下剤

    • 乾燥水酸化アルミニウムゲル
      水酸化マグネシウム
      沈降炭酸カルシウム等

    全身性アルカローシスなどの症状があらわれたとの報告がある1),2),3)

    腸管内に分泌された重炭酸塩の中和を妨げる1)

    甲状腺ホルモン製剤

    • レボチロキシン等

    左記薬剤の効果が減弱することがあるので、服用時間をずらすなど注意すること。

    本剤が消化管内で左記薬剤を吸着することにより、これらの薬剤の吸収を阻害すると考えられる。

    11. 副作用

    次の副作用があらわれることがあるので、観察を十分に行い、異常が認められた場合には投与を中止するなど適切な処置を行うこと。

    11.1 重大な副作用

    1. 11.1.1 腸管穿孔、腸閉塞、大腸潰瘍(いずれも頻度不明)

      これらの病態を疑わせる高度の便秘、持続する腹痛、嘔吐、下血等の異常が認められた場合には、投与を中止し、聴診、触診、画像診断等を実施し、適切な処置を行うこと4),,,

    11.2 その他の副作用

    5%以上

    0.1~5%未満

    頻度不明

    過敏症

    発疹

    消化器

    便秘(経口)注2)

    悪心、嘔気、食欲不振、胃部不快感(経口)

    *便秘(注腸)、下痢

    電解質

    低カリウム血症(経口)

    低カリウム血症(注腸)

    注1)発現頻度は副作用頻度調査を含む。
    注2)

    14. 適用上の注意

    14.1 薬剤交付時の注意

    • 〈経口投与〉

      消化管への蓄積を避けるため、便秘を起こさせないように注意すること。

    14.2 薬剤調製時の注意

    • 〈注腸投与〉

      動物実験(ラット)で、ソルビトールの注腸投与により腸壁壊死を起こすことが報告されている5),6) 。また、外国においてポリスチレンスルホン酸型陽イオン交換樹脂のソルビトール懸濁液を注腸し、結腸壊死を起こした症例が報告されているので、本剤を注腸する際にはソルビトール溶液を使用しないこと5),6),7)

    14.3 薬剤投与時の注意

    • 〈注腸投与〉

      本剤投与後は、腸管への残留を避けるため、必ず本剤を排泄させること。特に自然排泄が困難な患者においては、適切な方法を用いて本剤を腸管から取り除くこと。

    15. その他の注意

    15.1 臨床使用に基づく情報

    1. 15.1.1 本剤のソルビトール懸濁液を経口投与し、結腸狭窄、結腸潰瘍等を起こした症例が報告されている。
    2. 15.1.2 類薬(ポリスチレンスルホン酸ナトリウム)で、そのソルビトール懸濁液を経口投与し、小腸の穿孔、腸粘膜壊死、大腸潰瘍、結腸壊死等を起こした症例が報告されている。
    3. 15.1.3 本剤とアルギン酸ナトリウムとの併用により、消化管内に不溶性のゲルを生じたとの報告がある。

    16. 薬物動態

    16.2 吸収

    本剤は吸収されないと考えられる8) (家兎 in vitro)。ただし、5μm以下の微粒子は粘膜を経由して吸収され、細網内皮系組織等に沈着することが仔牛による実験で報告9) されているので、本剤は5μm以下の微粒子を0.1%以下に規制している。

    16.5 排泄

    本剤1g/kg及び3g/kg投与群における経過時間ごとの糞便排泄率を測定した結果、両投与群とも経口投与後24時間で75%以上、72時間で90%以上が糞便中に排泄された8) (ラット)。

    17. 臨床成績

    17.1 有効性及び安全性に関する試験

    1. 17.1.1 ポリスチレンスルホン酸ナトリウムを対照とした国内二重盲検比較試験

    高カリウム血症を有する慢性腎不全患者75例(透析例63例、非透析例12例)を対象に本剤及び対照薬15~25g/日を2週間経口投与した(透析例はクロスオーバー法)。本剤投与群において透析例(47例)では透析間(透析と透析の間)の血清カリウム値上昇が有意に抑制され(抑制幅0.32~0.87mEq/L、p<0.01)、非透析例(12例)では血清カリウム値が低下した。透析例及び非透析例のいずれにおいても、対照薬投与群との有意な差は認められなかった。
    本剤投与時に認められた副作用は、便秘2/75例(2.7%)、低カリウム血症1/75例(1.3%)であった10)

    18. 薬効薬理

    18.1 作用機序

    経口投与あるいは注腸後、消化・吸収されることなく、腸管内、特に結腸付近で、本剤のカルシウムイオンと腸管内のカリウムイオンが交換され、ポリスチレンスルホン酸樹脂としては何ら変化を受けることなしに、そのまま糞便中に排泄される。その結果腸管内のカリウムは体外へ除去される。

    18.2 カリウム交換容量

    本剤を乾燥したものは7.0~9.0%のカルシウムを含み、またその1gは試験管内(KCl溶液)において、53~71mg(1.36~1.82mEq)のカリウムと交換する(in vitro)。

    18.3 全腎摘出ラットにおける血清カリウム値上昇抑制作用

    腎摘出Wistar系雄性ラット(n=8)に対して、本剤1.5g/kg/day、3.0g/kg/day、6.0g/kg/dayを2日間、5回経口投与した。血清カリウム値は3.0g/kg/day群(p<0.05)及び6.0g/kg/day群(p<0.01)で有意な減少を示し、その下降は用量反応関係を示した11)

    18.4 腎不全患者における血清カリウム値上昇抑制作用

    腎不全患者(成人)に対し、本剤を1日15~30g経口投与した結果、血清カリウム値を約1mEq/L抑制した10),12),13)

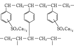
    19. 有効成分に関する理化学的知見

    一般的名称

    ポリスチレンスルホン酸カルシウム

    (Calcium Polystyrene Sulfonate)

    性状

    微黄白色~淡黄色の粉末で、におい及び味はない。

    水、エタノール(95)又はジエチルエーテルにほとんど溶けない。

    化学構造式

    不規則に入り乱れた複雑な立体構造を有するが、その構造は部分的には下記の通りである。

    22. 包装

    5g×100包[10包×10]

    24. 文献請求先及び問い合わせ先

    東洋製薬化成株式会社 医薬情報部

    〒533-0031 大阪市東淀川区西淡路5丁目20番19号

    電話 0120-443-471

    26. 製造販売業者等

    26.1 製造販売

    東洋製薬化成株式会社

    大阪市鶴見区鶴見2丁目5番4号

    26.2 販売

    小野薬品工業株式会社

    大阪市中央区久太郎町1丁目8番2号

    〒100-0013 東京都千代田区霞が関3-3-2 新霞が関ビル

    画面を閉じる

    Copyright © Pharmaceuticals and Medical Devices Agency, All Rights reserved.