医療用医薬品 詳細表示

オルメサルタン錠5mg「杏林」/オルメサルタン錠10mg「杏林」/オルメサルタン錠20mg「杏林」/オルメサルタン錠40mg「杏林」

処方せん医薬品

添付文書番号
企業コード
作成又は改訂年月
日本標準商品分類番号
薬効分類名
承認等
一般的名称
2.禁忌(次の患者には投与しないこと)
3.組成・性状
3.1組成
3.2製剤の性状
4.効能又は効果
6.用法及び用量
8.重要な基本的注意
9.特定の背景を有する患者に関する注意
9.1合併症・既往歴等のある患者
9.2腎機能障害患者
9.3肝機能障害患者
9.4生殖能を有する者
9.5妊婦
9.6授乳婦
9.7小児等
9.8高齢者
10.相互作用
10.1併用禁忌(併用しないこと)
10.2併用注意(併用に注意すること)
11.副作用
11.1重大な副作用
11.2その他の副作用
14.適用上の注意
16.薬物動態
16.1血中濃度
16.2吸収
16.3分布
16.4代謝
16.5排泄
16.6特定の背景を有する患者
16.8その他
17.臨床成績
17.1有効性及び安全性に関する試験
18.薬効薬理
18.1作用機序
18.2アンジオテンシンⅡ受容体拮抗作用
18.3降圧作用
19.有効成分に関する理化学的知見
20.取扱い上の注意
22.包装
23.主要文献
24.文献請求先及び問い合わせ先
26.製造販売業者等

オルメサルタン錠5mg「杏林」/オルメサルタン錠10mg「杏林」/オルメサルタン錠20mg「杏林」/オルメサルタン錠40mg「杏林」

添付文書番号

2149044F1083_1_09

企業コード

480209

作成又は改訂年月

**2025年9月改訂(第3版)
2024年5月改訂

日本標準商品分類番号

872149

薬効分類名

高親和性AT1レセプターブロッカー

承認等

オルメサルタン錠5mg「杏林」

販売名コード

YJコード

2149044F3094

販売名英語表記

OLMESARTAN Tablets 5mg“KYORIN”

販売名ひらがな

おるめさるたんじょう5mg「きょーりん」

承認番号等

承認番号

22900AMX00891000

販売開始年月

2017年12月

貯法・有効期間

貯法

室温保存

有効期間

3年

基準名

日本薬局方

オルメサルタン メドキソミル錠

オルメサルタン錠10mg「杏林」

販売名コード

YJコード

2149044F1083

販売名英語表記

OLMESARTAN Tablets 10mg“KYORIN”

販売名ひらがな

おるめさるたんじょう10mg「きょーりん」

承認番号等

承認番号

22900AMX00892000

販売開始年月

2017年12月

貯法・有効期間

貯法

室温保存

有効期間

3年

基準名

日本薬局方

オルメサルタン メドキソミル錠

オルメサルタン錠20mg「杏林」

販売名コード

YJコード

2149044F2080

販売名英語表記

OLMESARTAN Tablets 20mg“KYORIN”

販売名ひらがな

おるめさるたんじょう20mg「きょーりん」

承認番号等

承認番号

22900AMX00893000

販売開始年月

2017年12月

貯法・有効期間

貯法

室温保存

有効期間

3年

基準名

日本薬局方

オルメサルタン メドキソミル錠

オルメサルタン錠40mg「杏林」

販売名コード

YJコード

2149044F4090

販売名英語表記

OLMESARTAN Tablets 40mg“KYORIN”

販売名ひらがな

おるめさるたんじょう40mg「きょーりん」

承認番号等

承認番号

22900AMX00894000

販売開始年月

2017年12月

貯法・有効期間

貯法

室温保存

有効期間

3年

基準名

日本薬局方

オルメサルタン メドキソミル錠

一般的名称

オルメサルタン メドキソミル

2. 禁忌(次の患者には投与しないこと)

  1. 2.1 本剤の成分に対し過敏症の既往歴のある患者
  2. 2.2 妊婦又は妊娠している可能性のある女性
  3. 2.3 アリスキレンフマル酸塩を投与中の糖尿病患者(ただし、他の降圧治療を行ってもなお血圧のコントロールが著しく不良の患者を除く)

3. 組成・性状

3.1 組成

オルメサルタン錠5mg「杏林」

1錠中
有効成分日局オルメサルタンメドキソミル 5mg  
添加剤低置換度ヒドロキシプロピルセルロース、ヒドロキシプロピルセルロース、結晶セルロース、乳糖水和物、ステアリン酸マグネシウム、黄色三二酸化鉄

オルメサルタン錠10mg「杏林」

1錠中
有効成分日局オルメサルタンメドキソミル 10mg  
添加剤低置換度ヒドロキシプロピルセルロース、ヒドロキシプロピルセルロース、結晶セルロース、乳糖水和物、ステアリン酸マグネシウム

オルメサルタン錠20mg「杏林」

1錠中
有効成分日局オルメサルタンメドキソミル 20mg  
添加剤低置換度ヒドロキシプロピルセルロース、ヒドロキシプロピルセルロース、結晶セルロース、乳糖水和物、ステアリン酸マグネシウム

オルメサルタン錠40mg「杏林」

1錠中
有効成分日局オルメサルタンメドキソミル 40mg  
添加剤低置換度ヒドロキシプロピルセルロース、ヒドロキシプロピルセルロース、結晶セルロース、乳糖水和物、ステアリン酸マグネシウム

3.2 製剤の性状

オルメサルタン錠5mg「杏林」

剤形素錠
色調淡黄白色
外形
大きさ直径7.0
厚さ2.4
質量120

オルメサルタン錠10mg「杏林」

剤形片面割線入り素錠
色調白色
外形
大きさ直径7.0
厚さ2.4
質量120

オルメサルタン錠20mg「杏林」

剤形片面割線入り素錠
色調白色
外形
大きさ直径8.0
厚さ2.5
質量160

オルメサルタン錠40mg「杏林」

剤形片面割線入り素錠
色調白色
外形
大きさ直径9.5
厚さ3.6
質量320

4. 効能又は効果

高血圧症

6. 用法及び用量

通常、成人にはオルメサルタン メドキソミルとして10~20mgを1日1回経口投与する。なお、1日5~10mgから投与を開始し、年齢、症状により適宜増減するが、1日最大投与量は40mgまでとする。

8. 重要な基本的注意

  1. 8.1 本剤を含むアンジオテンシンⅡ受容体拮抗剤投与中に重篤な肝機能障害があらわれたとの報告があるので、肝機能検査を実施するなど観察を十分に行うこと。
  2. 8.2 手術前24時間は投与しないことが望ましい。アンジオテンシンⅡ受容体拮抗剤投与中の患者は、麻酔及び手術中にレニン-アンジオテンシン系の抑制作用による高度な血圧低下を起こす可能性がある。
  3. 8.3 降圧作用に基づくめまい、ふらつきがあらわれることがあるので、高所作業、自動車の運転等危険を伴う機械を操作する際には注意させること。

9. 特定の背景を有する患者に関する注意

9.1 合併症・既往歴等のある患者

  1. 9.1.1 両側性腎動脈狭窄のある患者又は片腎で腎動脈狭窄のある患者

    治療上やむを得ないと判断される場合を除き、使用は避けること。腎血流量の減少や糸球体ろ過圧の低下により急速に腎機能を悪化させるおそれがある。

  2. 9.1.2 高カリウム血症の患者

    治療上やむを得ないと判断される場合を除き、使用は避けること。高カリウム血症を増悪させるおそれがある。
    また、腎機能障害、コントロール不良の糖尿病等により血清カリウム値が高くなりやすい患者では、血清カリウム値に注意すること。

  3. 9.1.3 脳血管障害のある患者

    過度の降圧が脳血流不全を惹起し、病態を悪化させるおそれがある。

  4. 9.1.4 厳重な減塩療法中の患者

    低用量から投与を開始し、増量する場合は徐々に行うこと。一過性の急激な血圧低下を起こすおそれがある。

9.2 腎機能障害患者

  1. 9.2.1 重篤な腎機能障害(血清クレアチニン値3.0mg/dL以上)のある患者

    これらの患者を対象とした有効性及び安全性を検討する臨床試験は実施していない。腎機能を悪化させるおそれがある。

  2. 9.2.2 血液透析中の患者

    低用量から投与を開始し、増量する場合は徐々に行うこと。一過性の急激な血圧低下を起こすおそれがある。

9.3 肝機能障害患者

軽度又は中等度の肝機能障害患者(Child-Pugh分類スコア:5~9)でオルメサルタンの血漿中濃度が上昇することが報告されている。

9.4 生殖能を有する者

  1. 9.4.1 妊娠する可能性のある女性

    妊娠していることが把握されずアンジオテンシン変換酵素阻害剤又はアンジオテンシンⅡ受容体拮抗剤を使用し、胎児・新生児への影響(腎不全、頭蓋・肺・腎の形成不全、死亡等)が認められた例が報告されている1),2)

    本剤の投与に先立ち、代替薬の有無等も考慮して本剤投与の必要性を慎重に検討し、治療上の有益性が危険性を上回ると判断される場合にのみ投与すること。また、投与が必要な場合には次の注意事項に留意すること。

    1. (1) 本剤投与開始前に妊娠していないことを確認すること。本剤投与中も、妊娠していないことを定期的に確認すること。投与中に妊娠が判明した場合には、直ちに投与を中止すること。
    2. (2) 次の事項について、本剤投与開始時に患者に説明すること。また、投与中も必要に応じ説明すること。
      • 妊娠中に本剤を使用した場合、胎児・新生児に影響を及ぼすリスクがあること。
      • 妊娠が判明した又は疑われる場合は、速やかに担当医に相談すること。
      • 妊娠を計画する場合は、担当医に相談すること。

9.5 妊婦

妊婦又は妊娠している可能性のある女性には投与しないこと。投与中に妊娠が判明した場合には、直ちに投与を中止すること。
妊娠中期及び末期にアンジオテンシンⅡ受容体拮抗剤又はアンジオテンシン変換酵素阻害剤を投与された患者で羊水過少症、胎児・新生児の死亡、新生児の低血圧、腎不全、高カリウム血症、頭蓋の形成不全及び羊水過少症によると推測される四肢の拘縮、頭蓋顔面の変形、肺の形成不全等があらわれたとの報告がある。,

9.6 授乳婦

授乳しないことが望ましい。動物実験(ラット)の5mg/kg/日で乳汁中への移行が認められている。動物実験(ラット周産期及び授乳期経口投与)の200mg/kg/日で出生児に腎盂拡張を伴う死亡及び体重減少が、8mg/kg/日で出生児に体重増加抑制及び生後分化の遅延が認められている。

9.7 小児等

小児等を対象とした臨床試験は実施していない。

9.8 高齢者

開始用量を遵守し、慎重に投与すること。一般に過度の降圧は好ましくないとされている。脳梗塞等が起こるおそれがある。

10. 相互作用

    10.1 併用禁忌(併用しないこと)

    薬剤名等臨床症状・措置方法機序・危険因子

    アリスキレンフマル酸塩

    • ラジレス

    (糖尿病患者に使用する場合。ただし、他の降圧治療を行ってもなお血圧のコントロールが著しく不良の患者を除く。)

    非致死性脳卒中、腎機能障害、高カリウム血症及び低血圧のリスク増加が報告されている。

    レニン-アンジオテンシン系阻害作用が増強される可能性がある。

    10.2 併用注意(併用に注意すること)

    薬剤名等臨床症状・措置方法機序・危険因子

    カリウム保持性利尿剤

    • スピロノラクトン、
    • トリアムテレン等

    カリウム補給剤

    • 塩化カリウム等

    血清カリウム値が上昇することがある。

    本剤のアルドステロン分泌抑制作用によりカリウム貯留作用が増強するおそれがある。

    危険因子:腎機能障害のある患者

    利尿降圧剤

    • フロセミド、
    • トリクロルメチアジド等

    一過性の急激な血圧低下を起こすおそれがある。低用量から投与を開始し、増量する場合は徐々に行うこと。

    利尿降圧剤で治療を受けている患者にはレニン活性が亢進している患者が多く、本剤が奏効しやすい。

    リチウム製剤

    • 炭酸リチウム

    リチウム中毒が起こるおそれがある。

    明確な機序は不明であるが、ナトリウムイオン不足はリチウムイオンの貯留を促進するといわれているため、本剤がナトリウム排泄を促進することにより起こると考えられる。

    アリスキレンフマル酸塩

    腎機能障害、高カリウム血症及び低血圧を起こすおそれがある。eGFRが60mL/min/1.73m2未満の腎機能障害のある患者へのアリスキレンフマル酸塩との併用については、治療上やむを得ないと判断される場合を除き避けること。

    レニン-アンジオテンシン系阻害作用が増強される可能性がある。

    アンジオテンシン変換酵素阻害剤

    腎機能障害、高カリウム血症及び低血圧を起こすおそれがある。

    レニン-アンジオテンシン系阻害作用が増強される可能性がある。

    非ステロイド性消炎鎮痛剤

    降圧作用が減弱するおそれがある。

    非ステロイド性消炎鎮痛剤は、血管拡張作用を有するプロスタグランジンの合成阻害作用により、本剤の降圧作用を減弱させる可能性がある。

    非ステロイド性消炎鎮痛剤

    腎機能を悪化させるおそれがある。

    プロスタグランジンの合成阻害作用により、腎血流量が低下するためと考えられる。

    11. 副作用

    次の副作用があらわれることがあるので、観察を十分に行い、異常が認められた場合には投与を中止するなど適切な処置を行うこと。

    11.1 重大な副作用

    1. 11.1.1 **血管性浮腫(頻度不明)

      顔面、口唇、咽頭、舌の腫脹等が症状としてあらわれることがある。また、腹痛、嘔気、嘔吐、下痢等を伴う腸管血管性浮腫があらわれることがある。

    2. 11.1.2 腎不全(頻度不明)
    3. 11.1.3 高カリウム血症(頻度不明)
    4. 11.1.4 ショック(頻度不明)、失神(頻度不明)、意識消失(頻度不明)

      冷感、嘔吐、意識消失等があらわれた場合には、直ちに適切な処置を行うこと。,,

    5. 11.1.5 肝機能障害(頻度不明)、黄疸(頻度不明)

      AST、ALT、γ-GTP上昇等の肝機能障害があらわれることがある。

    6. 11.1.6 血小板減少(頻度不明)
    7. 11.1.7 低血糖(頻度不明)

      脱力感、空腹感、冷汗、手の震え、集中力低下、痙攣、意識障害等があらわれた場合には投与を中止し、適切な処置を行うこと。糖尿病治療中の患者であらわれやすい。

    8. 11.1.8 横紋筋融解症(頻度不明)

      筋肉痛、脱力感、CK上昇、血中及び尿中ミオグロビン上昇を特徴とする横紋筋融解症があらわれることがあるので、このような場合には直ちに投与を中止し、適切な処置を行うこと。

    9. 11.1.9 アナフィラキシー(頻度不明)

      そう痒感、全身発赤、血圧低下、呼吸困難等が症状としてあらわれることがあり、アナフィラキシーショックを起こしたとの報告もある。

    10. 11.1.10 重度の下痢(頻度不明)

      長期投与により、体重減少を伴う重度の下痢があらわれることがある。生検により腸絨毛萎縮等が認められたとの報告がある。

    11. 11.1.11 間質性肺炎(頻度不明)

      発熱、咳嗽、呼吸困難、胸部X線異常等を伴う間質性肺炎があらわれることがあるので、このような場合には投与を中止し、副腎皮質ホルモン剤の投与等の適切な処置を行うこと。

    11.2 その他の副作用

    1~5%未満

    1%未満

    頻度不明

    過敏症

    発疹

    そう痒

    血液

    赤血球数減少、ヘモグロビン減少、ヘマトクリット減少

    白血球数増加、血小板数減少

    貧血

    精神神経系

    めまい、立ちくらみ、ふらつき感

    頭痛、頭重感、眠気

    消化器

    軟便

    下痢、嘔気・嘔吐、口渇、口内炎、胃部不快感、便秘、腹痛

    循環器

    心房細動、動悸、ほてり、胸痛

    肝臓

    ALT上昇、AST上昇、γ-GTP上昇、LDH上昇

    ALP上昇

    泌尿器

    BUN上昇

    血清クレアチニン上昇、尿蛋白陽性、尿沈渣陽性

    頻尿

    その他

    CK上昇、CRP上昇、トリグリセリド上昇、血清カリウム上昇、尿酸上昇

    全身倦怠感、咳嗽

    浮腫、異常感(浮遊感、気分不良等)、胸部不快感、筋肉痛、脱力感、疲労、しびれ、味覚異常、脱毛

    14. 適用上の注意

    14.1 薬剤調製時の注意

    本剤をメトホルミン塩酸塩製剤又はカモスタットメシル酸塩製剤等と一包化し高温多湿条件下にて保存した場合、メトホルミン塩酸塩製剤又はカモスタットメシル酸塩製剤等が変色することがあるので、一包化は避けること。

    14.2 薬剤交付時の注意

    PTP包装の薬剤はPTPシートから取り出して服用するよう指導すること。PTPシートの誤飲により、硬い鋭角部が食道粘膜へ刺入し、更には穿孔をおこして縦隔洞炎等の重篤な合併症を併発することがある。

    16. 薬物動態

    16.1 血中濃度

    1. 16.1.1 単回投与

      健康な成人男性24例にオルメサルタン メドキソミル5mg、10mg、20mg及び40mgを空腹時単回経口投与したとき、オルメサルタンの血漿中濃度は速やかに上昇し、投与1.7~2.2時間後に最高に達した。Cmax及びAUCは投与量に従い増加した3)

      表16-1 オルメサルタン メドキソミル単回経口投与時のオルメサルタンの薬物動態パラメータ

      投与量

      例数

      Cmax

      (ng/mL)

      Tmax

      (hr)

      t1/2

      (hr)

      AUC

      (ng・hr/mL)

      5mg

      6

      152
      ±31

      1.8
      ±0.4

      8.7
      ±1.2

      892
      ±191

      10mg

      6

      277
      ±46

      1.7
      ±0.5

      10.2
      ±1.8

      1,576
      ±244

      20mg

      6

      481
      ±117

      2.2
      ±0.4

      11.0

      ±3.8

      2,903
      ±915

      40mg

      6

      1,006
      ±152

      1.7
      ±0.5

      10.6
      ±4.7

      5,807
      ±1,142

      mean±SD

    2. 16.1.2 反復投与

      本態性高血圧症患者にオルメサルタン メドキソミル10mg(20例)及び20mg(19例)を14日間、40mg(10例)を7日間反復経口投与したところ、最終日のオルメサルタンの薬物動態学的パラメータは、次のとおりであった4),5)

      表16-2 オルメサルタン メドキソミル反復経口投与時のオルメサルタンの薬物動態パラメータ

      投与量

      例数

      Cmax注3)

      (ng/mL)

      Tmax

      (hr)

      t1/2

      (hr)

      AUC注3)

      (ng・hr/mL)

      10mg注1)

      20

      285.1
      (0.253)

      2.2
      ±0.8

      6.5
      ±0.9

      1,981.2
      (0.234)

      20mg注1)

      19

      496.0
      (0.300)

      2.5
      ±1.1

      6.3
      ±0.8

      3,288.9
      (0.254)

      40mg注2)

      10

      1,008.5
      (0.267)

      2.6
      ±1.0

      6.0
      ±1.0

      7,848.0
      (0.301)

      mean±SD

      注1) 14日間投与

      注2) 7日間投与

      注3) 幾何平均値(対数変換後の標準偏差)

      健康な成人男性27例にオルメサルタン メドキソミル10mg、20mg及び40mgを1日1回7日間反復経口投与したときの血漿中オルメサルタン濃度を検討したところ、速やかに定常状態に達し、蓄積性はほとんど認められなかった6)

    3. 16.1.3 生物学的同等性試験
    • 〈オルメサルタン錠10mg「杏林」〉

      オルメサルタン錠10mg「杏林」とオルメテック錠10mgをクロスオーバー法によりそれぞれ1錠(オルメサルタン メドキソミルとして10mg)健康成人男子に絶食単回経口投与して血漿中活性代謝物(オルメサルタン)濃度を測定し、得られた薬物動態パラメータ(AUC、Cmax)について90%信頼区間法にて統計解析を行った結果、log(0.80)~log(1.25)の範囲内であり、両剤の生物学的同等性が確認された7)

      表16-3 薬物動態パラメータ

      判定パラメータ

      参考パラメータ

      AUC0-32
      (ng・hr/mL)

      Cmax
      (ng/mL)

      Tmax
      (hr)

      t1/2
      (hr)

      オルメサルタン
      錠10mg「杏林」

      2130.4
      ±526.8

      355.2
      ±81.2

      1.9
      ±0.8

      6.8
      ±0.7

      オルメテック
      錠10mg

      2264.0
      ±459.6

      385.4
      ±87.3

      1.8
      ±0.9

      6.9
      ±0.7

      mean±SD,n=20

      図16-1 血漿中オルメサルタン濃度
    • 〈オルメサルタン錠40mg「杏林」〉

      オルメサルタン錠40mg「杏林」とオルメテック錠40mgをクロスオーバー法によりそれぞれ1錠(オルメサルタン メドキソミルとして40mg)健康成人男子に絶食単回経口投与して血漿中活性代謝物(オルメサルタン)濃度を測定し、得られた薬物動態パラメータ(AUC、Cmax)について90%信頼区間法にて統計解析を行った結果、log(0.80)~log(1.25)の範囲内であり、両剤の生物学的同等性が確認された7)

      表16-4 薬物動態パラメータ

      判定パラメータ

      参考パラメータ

      AUC0-32
      (ng・hr/mL)

      Cmax
      (ng/mL)

      Tmax
      (hr)

      t1/2
      (hr)

      オルメサルタン
      錠40mg「杏林」

      6689.3
      ±1704.7

      1000.2
      ±184.0

      2.3
      ±1.1

      6.8
      ±0.8

      オルメテック
      錠40mg

      6992.1
      ±1664.7

      1112.6
      ±239.7

      2.2
      ±1.2

      6.7
      ±1.1

      mean±SD,n=20

      図16-2 血漿中オルメサルタン濃度

      血漿中濃度並びにAUC、Cmax等のパラメータは、被験者の選択、体液の採取回数・時間等の試験条件によって異なる可能性がある。

    16.2 吸収

    1. 16.2.1 食事の影響

      健康な成人男性12例にオルメサルタン メドキソミル20mgを空腹時、低脂肪食摂取30分後あるいは高脂肪食摂取30分後に単回経口投与したとき、それぞれのオルメサルタンのCmax及びAUCにはほとんど差はなく、食事の影響は認められなかった8)

    2. 16.2.2 バイオアベイラビリティ

      健康な成人男性24例にオルメサルタン メドキソミル20mgを空腹時単回経口投与又はオルメサルタン16.2mgを静脈内に単回投与し、絶対バイオアベイラビリティを求めた結果、25.6%であった9)(外国人データ)。

    16.3 分布

    1. 16.3.1 血清蛋白結合率(限外濾過法)

      オルメサルタンの血清蛋白結合率は99%と高く、主にアルブミンのワルファリンサイトに結合する(in vitro)が、ワルファリンとの併用試験でワルファリンの薬物動態に影響がなく血液凝固系に影響を及ぼさなかった10),11)(外国人データ)。

    16.4 代謝

    オルメサルタン メドキソミルは、経口投与後、主に小腸上皮、肝臓又は血漿においてエステラーゼによる加水分解を受け、活性代謝物のオルメサルタンに代謝される。血漿中にはオルメサルタンのみが認められ、その他の代謝物は存在しない。ヒト肝ミクロソームを用い、チトクロームP450分子種7種類(1A1&2、2A6、2C19、2C8&9、2D6、2E1、3A4)の活性について、オルメサルタンによる阻害率を検討したところ、臨床用量で想定される血漿中濃度ではいずれの分子種もほとんど阻害しなかった。また、ヒト培養肝細胞にて、オルメサルタン メドキソミルによるチトクロームP450の誘導は認められなかった12)(in vitro)。

    16.5 排泄

    健康な成人男性に14C-オルメサルタン メドキソミル20mgを単回経口投与したところ、投与した総放射能の12.6%(240時間後まで)が尿中に、77.2%(312時間後まで)が糞中に排泄された13)(外国人データ)。

    健康な成人男性24例にオルメサルタン メドキソミル5mg、10mg、20mg及び40mgを空腹時単回経口投与したとき、投与48時間までに尿中にオルメサルタンが11.6~14.6%排泄された14)

    16.6 特定の背景を有する患者

    1. 16.6.1 腎機能障害患者

      健康な成人男性8例と、腎機能障害患者26例を重症度別に8~9例ずつ3群に分けた計34例に対し、オルメサルタン メドキソミル10mgを1日1回7日間反復経口投与したときの7日目の定常状態における血漿中オルメサルタンのAUCの幾何平均値は、腎機能正常者と比較して、軽度、中等度及び重度腎機能障害患者でそれぞれ1.6倍、1.8倍、2.8倍であった15)(外国人データ)。

    2. 16.6.2 肝機能障害患者

      軽度及び中等度肝機能障害患者12例にオルメサルタン メドキソミル10mgを空腹時単回経口投与したとき、肝機能正常者と比較して血漿中オルメサルタンのAUCはそれぞれ1.1倍、1.7倍であった15)(外国人データ)。

    3. 16.6.3 高齢者

      健康な高齢者(65歳以上)6例にオルメサルタン メドキソミル10mgを単回経口投与し、健康な非高齢者とオルメサルタンのAUCの幾何平均値を比較したところ、ほとんど差は認められなかった16)
      また、高齢高血圧症患者(75歳以上)17例にオルメサルタン メドキソミル10mgを1日1回14日間反復経口投与したところ、非高齢患者に比較しAUCの幾何平均値が1.4倍高値を示したが、蓄積性はほとんど認められなかった15)(外国人データ)。

    16.8 その他

    • 〈オルメサルタン錠5mg「杏林」〉

      オルメサルタン錠5mg「杏林」は、「含量が異なる経口固形製剤の生物学的同等性試験ガイドライン」(平成24年2月29日付薬食審査発0229第10号)に基づき、オルメサルタン錠10mg「杏林」を標準製剤としたとき、溶出挙動が等しく、生物学的に同等とみなされた7)

    • 〈オルメサルタン錠20mg「杏林」〉

      オルメサルタン錠20mg「杏林」は、「含量が異なる経口固形製剤の生物学的同等性試験ガイドライン」(平成24年2月29日付薬食審査発0229第10号)に基づき、オルメサルタン錠40mg「杏林」を標準製剤としたとき、溶出挙動が等しく、生物学的に同等とみなされた7)

    17. 臨床成績

    17.1 有効性及び安全性に関する試験

    1. 17.1.1 国内臨床試験

      本態性高血圧症患者を対象としたオルメサルタン メドキソミルの二重盲検比較試験を含む臨床試験での「判定不能」を含む降圧率(下降例数1)/評価例数)は79.8%(364/456例)、「判定不能」を含まない降圧率は84.7%(364/430例)であった。
      なお、このうち軽症・中等症の本態性高血圧症患者を対象とした二重盲検比較試験によって、オルメサルタン メドキソミルの有用性が確認された。
      降圧効果はオルメサルタン メドキソミル投与後1週間で発現し、2週間以内に有意な降圧を示した後、4~8週間で最大に達することが確認された17)

      1) 下降:収縮期血圧(-20mmHg以上)及び拡張期血圧(-10mmHg以上)を満たす場合、平均血圧(-13mmHg以上)を満たす場合、あるいは下降傾向2)であっても150/90mmHg未満(ただし、入院患者では140/85mmHg未満)に降圧した場合

      2) 下降傾向:収縮期血圧(-10mmHg以上)及び拡張期血圧(-5mmHg以上)を満たす場合、あるいは平均血圧(-7mmHg以上)を満たす場合

    2. 17.1.2 国内第Ⅲ相試験

      腎機能障害を伴う高血圧症患者を対象としたオルメサルタン メドキソミルの臨床試験での「判定不能」を含む降圧率は68.0%(17/25例)、「判定不能」を含まない降圧率は77.3%(17/22例)であった。
      副作用発現頻度は、自他覚症状が10.0%(3/30例)、臨床検査値異常が20.7%(6/29例)であり、認められた自他覚症状の副作用は、頭重(感)、低血圧及び咳が各3.3%(1/30例)であった18)

    3. 17.1.3 国内第Ⅲ相試験

      重症高血圧症患者を対象としたオルメサルタン メドキソミルの臨床試験での「判定不能」を含む降圧率は86.2%(25/29例)、「判定不能」を含まない降圧率は92.6%(25/27例)であった。
      副作用発現頻度は、自他覚症状が6.9%(2/29例)、臨床検査値異常が21.4%(6/28例)であり、認められた自他覚症状の副作用は、眠気及び軟便が各3.4%(1/29例)であった19)

    4. 17.1.4 国内臨床試験(長期投与)

      軽症・中等症本態性高血圧症患者を対象に、12ヵ月間オルメサルタン メドキソミルを単独投与した結果、安定した降圧効果が得られた。「判定不能」を含む降圧率は80.7%(134/166例)、「判定不能」を含まない降圧率は93.1%(134/144例)であった20)

    5. 17.1.5 国内第Ⅲ相試験(長期投与)

      軽症・中等症本態性高血圧症患者を対象に、12ヵ月間オルメサルタン メドキソミルをカルシウム拮抗剤もしくはサイアザイド系利尿降圧剤を併用投与した結果、安定した降圧効果が得られた。カルシウム拮抗剤併用療法での「判定不能」を含む降圧率は85.0%(17/20例)、「判定不能」を含まない降圧率は100.0%(17/17例)であった。利尿剤併用療法での「判定不能」を含む降圧率は72.7%(16/22例)、「判定不能」を含まない降圧率は100.0%(16/16例)であった。
      副作用発現頻度は、カルシウム拮抗剤併用療法群で自他覚症状が4.5%(1/22例)、臨床検査値異常が4.5%(1/22例)、利尿剤併用療法群で自他覚症状が37.0%(10/27例)、臨床検査値異常が25.9%(7/27例)であった。主な自他覚症状の副作用は、カルシウム拮抗剤併用療法群で立ちくらみ4.5%(1/22例)、利尿剤併用療法群でめまい14.8%(4/27例)であった21)

    6. 17.1.6 国内第Ⅱ相試験(血圧日内変動)

      軽症・中等症本態性高血圧症を対象に、オルメサルタン メドキソミルを12週間投与し、自由行動下血圧測定による24時間血圧日内変動を検討した結果、オルメサルタン メドキソミルは1日1回投与において、血圧推移のプロファイルに影響を及ぼすことなく、また夜間血圧を過度に低下させることなく24時間安定した降圧作用を示すことが確認された22)

    18. 薬効薬理

    18.1 作用機序

    オルメサルタン メドキソミルはプロドラッグであり、生体内で活性代謝物であるオルメサルタンに変換され、アンジオテンシンⅡ(AⅡ)タイプ1(AT1)受容体に選択的に作用してAⅡの結合を競合的に阻害し、昇圧系であるAⅡの薬理作用を抑制する23)

    18.2 アンジオテンシンⅡ受容体拮抗作用

    オルメサルタンのAT1受容体拮抗作用をヒトAT1受容体への125I-AⅡ結合阻害で検討したところ、50%阻害濃度(IC50値)は1.3nMであった(in vitro)。また、オルメサルタンはウサギ及びモルモットの摘出血管において、AⅡによる収縮反応を抑制し、その抑制作用は薬物除去後も持続的であった。ラット及びイヌにおいて、オルメサルタン メドキソミルは、経口投与によりAⅡによる昇圧反応を持続的に抑制した24)

    18.3 降圧作用

    1. 18.3.1 オルメサルタン メドキソミルは経口投与により、腎性高血圧ラット、高血圧自然発症ラット、正常血圧ラットの順に強い降圧作用を示したが、心拍数に影響を与えなかった24)
    2. 18.3.2 オルメサルタン メドキソミルを高血圧自然発症ラットに24週間反復経口投与すると、耐性を生じることなく安定した降圧作用を示し、反射性の頻脈も認められなかった。また、14日間反復経口投与後、休薬してもリバウンドは認められなかった24)
    3. 18.3.3 オルメサルタンを高血圧自然発症ラットに静脈内投与すると総末梢血管抵抗が減少し、腎血管抵抗の減少が認められた。血圧は下降したが、心拍数に変化はなく、心拍出量は増大した。従って、オルメサルタンの降圧作用は全身血管の拡張に基づく総末梢血管抵抗の減少によるものと考えられる24)
    4. 18.3.4 オルメサルタン メドキソミルを高血圧自然発症ラットに20週間反復経口投与すると、血圧の下降とともに尿中蛋白排泄及びアルブミン排泄量の減少が認められ、腎臓の病理所見の改善も認められた24),25)
    5. 18.3.5 オルメサルタン メドキソミルを高血圧自然発症ラットに8週間反復経口投与すると、血圧の下降とともに心重量の低下及び心筋線維径の減少が認められ、心肥大を抑制することが確認された24)

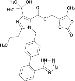
    19. 有効成分に関する理化学的知見

    一般的名称

    オルメサルタン メドキソミル
    (Olmesartan Medoxomil)

    化学名

    (5-Methyl-2-oxo-1,3-dioxol-4-yl)methyl 4-(2-hydroxypropan-2-yl)-2-propyl-1-{[2'-(1H-tetrazol-5-yl)biphenyl-4-yl]methyl}-1H-imidazole-5-carboxylate

    分子式

    C29H30N6O6

    分子量

    558.59

    性状

    白色~微黄白色の結晶性の粉末である。
    アセトニトリル又はエタノール(99.5)に溶けにくく、水にほとんど溶けない。

    化学構造式

    20. 取扱い上の注意

    開封後は湿気を避けて保存すること。

    22. 包装

    • 〈オルメサルタン錠5mg「杏林」〉

      100錠[10錠(PTP)×10、乾燥剤入り]

    • 〈オルメサルタン錠10mg「杏林」〉

      100錠[10錠(PTP)×10、乾燥剤入り]

      500錠[10錠(PTP)×50、乾燥剤入り]

    • 〈オルメサルタン錠20mg「杏林」〉

      100錠[10錠(PTP)×10、乾燥剤入り]

      500錠[10錠(PTP)×50、乾燥剤入り]

    • 〈オルメサルタン錠40mg「杏林」〉

      100錠[10錠(PTP)×10、乾燥剤入り]

    23. 主要文献

    1) 阿部真也ほか:周産期医学 2017;47:1353-1355

    2) 齊藤大祐ほか:鹿児島産科婦人科学会雑誌 2021;29:49-54

    3) 田中孝典ほか:臨床医薬 2003;19(10):1131-1142

    4) 軽症・中等症本態性高血圧患者を対象とした薬物動態と降圧作用の関係の検討(オルメテック錠:2004年1月29日承認、申請資料概要2.7.6)

    5) 本態性高血圧症患者を対象とした40mg投与時の薬物動態の検討(オルメテック錠:2004年1月29日承認、申請資料概要2.7.6)

    6) 田中孝典ほか:臨床医薬 2003;19(10):1143-1156

    7) キョーリンリメディオ株式会社社内資料:
    オルメサルタン錠5mg「杏林」・10mg「杏林」・20mg「杏林」・40mg「杏林」の生物学的同等性試験に関する資料

    8) 田中孝典ほか:臨床医薬 2003;19(11):1283-1295

    9) バイオアベイラビリティ(オルメテック錠:2004年1月29日承認、申請資料概要2.7.1.2)

    10) 蛋白結合(オルメテック錠:2004年1月29日承認、申請資料概要2.6.2.4)

    11) ワルファリンとの相互作用(オルメテック錠:2004年1月29日承認、申請資料概要2.7.6)

    12) 代謝(オルメテック錠:2004年1月29日承認、申請資料概要2.6.2.5)

    13) 第十八改正日本薬局方解説書 2021;C-1265-C-1272

    14) 単回経口投与における薬物動態の検討(オルメテック錠:2004年1月29日承認、申請資料概要2.7.6)

    15) von Bergmann K, et al.:J Hypertens. 2001;19(S1):S33-S40

    16) 田中孝典ほか:臨床医薬 2003;19(11):1297-1306

    17) 併合解析の結果(オルメテック錠:2004年1月29日承認、申請資料概要2.7.3.3、2.7.6)

    18) 腎機能障害を伴う高血圧症患者を対象とした第Ⅲ相試験(オルメテック錠:2004年1月29日承認、申請資料概要2.7.6)

    19) 重症高血圧症を対象とした第Ⅲ相試験(オルメテック錠:2004年1月29日承認、申請資料概要2.7.6)

    20) 長期投与の有効性(オルメテック錠:2004年1月29日承認、申請資料概要2.7.3.5)

    21) 本態性高血圧患者を対象としたカルシウム拮抗薬、サイアザイド系利尿薬併用投与試験(オルメテック錠:2004年1月29日承認、申請資料概要2.7.6)

    22) 軽症・中等症本態性高血圧症患者を対象とした第Ⅱ相試験(オルメテック錠:2004年1月29日承認、申請資料概要2.7.6)

    23) 薬理学的分類(オルメテック錠:2004年1月29日承認、申請資料概要2.5.1.3)

    24) 小池博之ほか:三共研究所年報 2003;55:1-91

    25) 腎臓に対する作用(オルメテック錠:2004年1月29日承認、申請資料概要2.6.1.3)

    24. 文献請求先及び問い合わせ先

    キョーリンリメディオ株式会社 学術部

    〒920-0017 金沢市諸江町下丁287番地1

    TEL 0120-960189

    FAX 0120-189099

    26. 製造販売業者等

    26.1 製造販売元

    キョーリンリメディオ株式会社

    富山県南砺市井波885番地

    26.2 *販売元

    杏林製薬株式会社

    東京都千代田区大手町一丁目3番7号

    〒100-0013 東京都千代田区霞が関3-3-2 新霞が関ビル

    画面を閉じる

    Copyright © Pharmaceuticals and Medical Devices Agency, All Rights reserved.