医療用医薬品 詳細表示

モメタゾン点鼻液50μg「トーワ」56噴霧用/モメタゾン点鼻液50μg「トーワ」112噴霧用

処方せん医薬品以外の医薬品

添付文書番号
企業コード
作成又は改訂年月
日本標準商品分類番号
薬効分類名
承認等
一般的名称
2.禁忌(次の患者には投与しないこと)
3.組成・性状
3.1組成
3.2製剤の性状
4.効能又は効果
6.用法及び用量
8.重要な基本的注意
9.特定の背景を有する患者に関する注意
9.1合併症・既往歴等のある患者
9.5妊婦
9.6授乳婦
9.7小児等
9.8高齢者
11.副作用
11.1重大な副作用
11.2その他の副作用
14.適用上の注意
16.薬物動態
16.1血中濃度
16.4代謝
17.臨床成績
17.1有効性及び安全性に関する試験
17.3その他
18.薬効薬理
18.1作用機序
18.2*アレルギー性鼻炎抑制作用
18.3*局所抗炎症作用
18.4*全身性のステロイド作用の比較
19.有効成分に関する理化学的知見
22.包装
23.主要文献
24.文献請求先及び問い合わせ先
26.製造販売業者等

モメタゾン点鼻液50μg「トーワ」56噴霧用/モメタゾン点鼻液50μg「トーワ」112噴霧用

添付文書番号

1329710Q1078_1_04

企業コード

480235

作成又は改訂年月

**2025年2月改訂(第3版)
2024年9月改訂(第2版)

日本標準商品分類番号

871329

薬効分類名

定量噴霧式アレルギー性鼻炎治療剤

承認等

モメタゾン点鼻液50μg「トーワ」56噴霧用

販売名コード

YJコード

1329710Q1078

販売名英語表記

MOMETASONE FUROATE NASAL 50μg “TOWA” 56 SPRAYS

承認番号等

承認番号

30100AMX00186

販売開始年月

2019年12月

貯法・有効期間

貯法

室温保存

有効期間

3年

モメタゾン点鼻液50μg「トーワ」112噴霧用

販売名コード

YJコード

1329710Q2074

販売名英語表記

MOMETASONE FUROATE NASAL 50μg “TOWA” 112 SPRAYS

承認番号等

承認番号

30100AMX00187

販売開始年月

2019年12月

貯法・有効期間

貯法

室温保存

有効期間

3年

一般的名称

モメタゾンフランカルボン酸エステル水和物点鼻液

2. 禁忌(次の患者には投与しないこと)

  1. 2.1 有効な抗菌剤の存在しない感染症、全身性の真菌症の患者[症状を増悪させるおそれがある。]
  2. 2.2 本剤の成分に対して過敏症の既往歴のある患者

3. 組成・性状

3.1 組成

モメタゾン点鼻液50μg「トーワ」56噴霧用

有効成分1g中
モメタゾンフランカルボン酸エステル水和物…   0.52mg
(モメタゾンフランカルボン酸エステルとして0.5mg
1回噴霧中
モメタゾンフランカルボン酸エステル…50μg  )
添加剤結晶セルロース・カルメロースナトリウム、濃グリセリン、ポリソルベート80、濃ベンザルコニウム塩化物液50、pH調節剤
1容器の噴霧回数  56回

モメタゾン点鼻液50μg「トーワ」112噴霧用

有効成分1g中
モメタゾンフランカルボン酸エステル水和物…   0.52mg
(モメタゾンフランカルボン酸エステルとして0.5mg
1回噴霧中
モメタゾンフランカルボン酸エステル…50μg  )
添加剤結晶セルロース・カルメロースナトリウム、濃グリセリン、ポリソルベート80、濃ベンザルコニウム塩化物液50、pH調節剤
1容器の噴霧回数  112回

3.2 製剤の性状

モメタゾン点鼻液50μg「トーワ」56噴霧用

剤形不透明な懸濁液
色調定量噴霧式の点鼻液で、内容物は白色

モメタゾン点鼻液50μg「トーワ」112噴霧用

剤形不透明な懸濁液
色調定量噴霧式の点鼻液で、内容物は白色

4. 効能又は効果

アレルギー性鼻炎

6. 用法及び用量

  • 〈成人〉

    通常、成人には、各鼻腔に2噴霧ずつ1日1回投与する(モメタゾンフランカルボン酸エステルとして1日200μg)。

  • 〈小児〉

    通常、12歳未満の小児には、各鼻腔に1噴霧ずつ1日1回投与する(モメタゾンフランカルボン酸エステルとして1日100μg)。
    通常、12歳以上の小児には、各鼻腔に2噴霧ずつ1日1回投与する(モメタゾンフランカルボン酸エステルとして1日200μg)。

8. 重要な基本的注意

  1. 8.1 鼻・咽喉頭真菌症が発現した場合、本剤の投与を中止し、適切な処置を行うこと。
  2. 8.2 全身性ステロイド剤と比較し可能性は低いが、点鼻ステロイド剤の投与により全身性の作用(クッシング症候群、クッシング様症状、副腎皮質機能抑制、小児の成長遅延、骨密度の低下、白内障、緑内障を含む)が発現する可能性がある。特に長期間、大量投与の場合には定期的に検査を行い、全身性の作用が認められた場合には適切な処置を行うこと。
  3. 8.3 通年性アレルギー性鼻炎の患者において長期に使用する場合、症状の改善状態が持続するようであれば、本剤の減量につとめること。
  4. 8.4 本剤の投与が数ヵ月以上にわたる場合は、鼻中隔潰瘍等の鼻所見に注意すること。
  5. 8.5 季節性の疾患に対しては、好発期を考えて、その直前から治療を開始し、抗原との接触がなくなるまで続けることが望ましい。

9. 特定の背景を有する患者に関する注意

9.1 合併症・既往歴等のある患者

  1. 9.1.1 結核性疾患、未治療の感染症(有効な抗菌剤の存在しない感染症、全身性の真菌症を除く)及び眼の単純ヘルペス患者

    症状を増悪させるおそれがある。

  2. 9.1.2 反復性鼻出血の患者

    出血を増悪させるおそれがある。

  3. 9.1.3 鼻中隔潰瘍のある患者、鼻の手術を受けた患者、あるいは鼻外傷のある患者

    患部が治癒するまで本剤を投与しないこと。ステロイド剤は創傷治癒を抑制する作用がある。

  4. 9.1.4 ステロイド剤の全身投与から局所投与に切り替えた患者

    副腎皮質機能不全又は離脱症状(関節あるいは筋肉の疼痛、倦怠感及びうつ等)の徴候、症状があらわれた場合には、適切な処置を行うこと。また、全身性ステロイド剤の減量中並びに離脱後も副腎皮質機能検査を行い、外傷、手術、重症感染症等の侵襲には十分に注意を払うこと。

9.5 妊婦

妊婦又は妊娠している可能性のある女性には治療上の有益性が危険性を上回ると判断される場合にのみ投与すること。経皮又は経口投与による動物実験(ラット、ウサギ)で催奇形性作用が報告されている。1)

9.6 授乳婦

治療上の有益性及び母乳栄養の有益性を考慮し、授乳の継続又は中止を検討すること。

9.7 小児等

  1. 9.7.1 長期間投与する場合には、身長等の経過の観察を十分行うこと。また、使用にあたっては、使用法を正しく指導すること。全身性ステロイド剤と比較し可能性は低いが、点鼻ステロイド剤を特に長期間、大量に投与する場合に小児の成長遅延をきたすおそれがある。
  2. 9.7.2 国内において、3歳未満の幼児、乳児、新生児及び低出生体重児を対象とした臨床試験は実施していない。

9.8 高齢者

患者の状態を観察しながら慎重に投与すること。一般に生理機能が低下している。

11. 副作用

次の副作用があらわれることがあるので、観察を十分に行い、異常が認められた場合には投与を中止するなど適切な処置を行うこと。

11.1 重大な副作用

  1. 11.1.1 アナフィラキシー(頻度不明)

    アナフィラキシー(呼吸困難、全身潮紅、血管浮腫、じん麻疹等)があらわれることがある。

11.2 その他の副作用

1~5%未満

1%未満

頻度不明

過敏症

じん麻疹等の発疹

鼻腔

鼻症状(刺激感1)、そう痒感、乾燥感1)、疼痛、発赤、不快感1)等)、真菌検査陽性

鼻出血1)、鼻漏、鼻閉、くしゃみ、嗅覚障害

鼻中隔穿孔、鼻潰瘍、鼻症状(灼熱感)

口腔並びに呼吸器

咽喉頭症状(刺激感、疼痛、不快感、乾燥等)

咳嗽、上気道炎

肝臓

肝機能障害、ALT上昇1)、AST上昇1)、ビリルビン上昇、Al-P上昇、ウロビリン尿

血液

好中球増多、好酸球増多、単球増多、白血球減少、白血球増多、白血球分画異常、赤血球減少1)、ヘモグロビン減少1)、ヘマトクリット減少1)、リンパ球減少、血小板減少1)、カリウム上昇

精神神経系

頭痛、倦怠感

眼圧亢進、霧視、中心性漿液性網脈絡膜症

その他

コルチゾール減少1)

蛋白尿1)、尿糖、BUN上昇、コルチゾール上昇

味覚障害

1) 小児及び成人の臨床試験で認められた副作用;他の発現頻度のある副作用はすべて成人のみで認められた。

14. 適用上の注意

14.1 薬剤交付時の注意

患者には添付の携帯袋及び使用説明書を渡し、以下の使用方法を指導すること。

  • 鼻腔内噴霧用にのみ使用すること。
  • 本剤の使用前に容器を上下によく振ること。
  • 本剤の初回使用時のみ空打ちを行い(10回程度)、液が完全に霧状になることを確認し使用すること。
  • 噴霧口を針やピンなどで突かないこと。

16. 薬物動態

16.1 血中濃度

  1. 16.1.1 *反復投与

    *健康成人男性(日本人各群6例)にモメタゾンフランカルボン酸エステル200μg又は400μgを1日2回2)7日間反復鼻腔内投与した際、血漿中モメタゾンフランカルボン酸エステル濃度は200μg 1日2回投与群の1例において初回投与後30分に定量下限をわずかに上回る値(57.2pg/mL)が認められたが、他の被験者は全測定時点で定量下限未満(<50pg/mL)であった。2)

16.4 代謝

*ヒト肝ミクロソームを用いたin vitro試験では広範な代謝が認められ、生成する複数の代謝物の1つとして6β水酸化体が確認された。6β水酸化体の生成に関与するP450分子種はCYP3A4であることが確認されている。3),4)

2) 本剤の成人の承認用法・用量は、「通常、成人には、各鼻腔に2噴霧ずつ1日1回投与する(モメタゾンフランカルボン酸エステルとして1日200μg)。」である。

17. 臨床成績

17.1 有効性及び安全性に関する試験

  1. 17.1.1 *国内第Ⅱ相用法用量設定試験(成人)

    *通年性アレルギー性鼻炎を対象とした第Ⅱ相試験において、モメタゾンフランカルボン酸エステルあるいはプラセボを2週間投与した。4鼻症状スコア3)の投与前値及び投与終了時の変化量を下表に示した。モメタゾンフランカルボン酸エステルはプラセボと比較していずれの投与量でも有意に優れていた(p<0.01)。

    3) くしゃみ発作、鼻汁、鼻閉、鼻内そう痒感の程度をそれぞれ0~3点にスコア化して合計したスコア(最大スコアは12点)。

    表1 第Ⅱ相試験における投与2週後又は中止時の4鼻症状スコア

    投与群4)

    n

    平均値(標準誤差)

    投与前

    変化量

    100μg/日(分1)

    75

    7.3
    (0.2)

    -2.7
    (0.3)

    200μg/日(分1)

    74

    8.1
    (0.2)

    -4.3
    (0.3)

    400μg/日(分1)

    79

    7.9
    (0.2)

    -4.2
    (0.2)

    200μg/日(分2)

    75

    7.3
    (0.2)

    -4.0
    (0.2)

    400μg/日(分2)

    75

    7.7
    (0.2)

    -4.1
    (0.3)

    プラセボ

    77

    7.7
    (0.2)

    -1.7
    (0.2)

    4) 本剤の成人の承認用法・用量は、「通常、成人には、各鼻腔に2噴霧ずつ1日1回投与する(モメタゾンフランカルボン酸エステルとして1日200μg)。」である。

    *モメタゾンフランカルボン酸エステル200μg/日(分1)における副作用は、74例中15例(20.3%)に認められた。主なものは、咽喉頭疼痛3例(4.1%)であった。5),6)

  2. 17.1.2 *国内第Ⅲ相比較試験(成人)

    *通年性アレルギー性鼻炎を対象とした第Ⅲ相試験において、モメタゾンフランカルボン酸エステル(MF)200μg/日(分1)、フルチカゾンプロピオン酸エステル(FP)200μg/日(分2)あるいはプラセボを2週間投与した。4鼻症状スコア3)の投与前値及び投与終了時の変化量を下表に示した。

    表2 第Ⅲ相試験における投与2週後又は中止時の4鼻症状スコア

    投与群5)

    n

    調整平均値
    (標準誤差)

    比較6)

    投与前

    変化量

    MF200μg/日
    (分1)

    143

    8.3
    (0.2)

    -3.9
    (0.2)

    MFvsMFプラセボ
    差の点推定値
    (調整平均値)-2.3
    95%CI:-3.1~-1.5

    MFvsFP
    差の点推定値
    (調整平均値)-0.2
    95%CI:-0.7~0.3

    FP200μg/日
    (分2)

    142

    8.3
    (0.2)

    -3.7
    (0.2)

    MFプラセボ

    32

    7.8
    (0.3)

    -1.4
    (0.3)

    FPプラセボ

    34

    8.4
    (0.3)

    -1.8
    (0.4)

    5) それぞれの実薬に対するプラセボを設定した。
    6) 調整平均値、95%両側信頼区間(95%CI)、標準誤差は投与前値及び投与群を共変量とした共分散分析から算出された。

    *モメタゾンフランカルボン酸エステルにおける副作用は、143例中19例(13.3%)に認められた。主なものは、血中ビリルビン増加4例(2.8%)、咽喉頭疼痛3例(2.1%)であった。7),8)

  3. 17.1.3 *国内第Ⅲ相比較試験(小児)

    *通年性アレルギー性鼻炎を対象とした二重盲検比較試験において、モメタゾンフランカルボン酸エステル(MF)[5歳以上12歳未満:100μg/日(分1)、12歳以上16歳未満:200μg/日(分1)]あるいはプラセボを2週間投与した。4鼻症状スコア3)の投与前値及び投与終了時の変化量を下表に示した。その結果、プラセボに対するモメタゾンフランカルボン酸エステルの優越性が検証された。

    表3 小児通年性アレルギー性鼻炎を対象とした比較試験における投与2週後又は中止時の4鼻症状スコア

    投与群

    n

    調整平均値
    (標準誤差)

    比較7)

    投与前

    変化量

    MF(分1)

    220

    7.5
    (0.1)

    -3.9
    (0.2)

    差の点推定値
    (調整平均値)-2.1
    95%CI:-2.6~-1.5

    プラセボ

    113

    7.6
    (0.2)

    -1.9
    (0.2)

    7) 調整平均値、95%両側信頼区間(95%CI)、標準誤差は投与前値、投与群及び年齢層(5歳以上12歳未満、12歳以上16歳未満)を共変量とした共分散分析から算出された。

    *モメタゾンフランカルボン酸エステルにおける副作用は、220例中6例(2.7%)に認められた。主なものは、鼻部不快感3例(1.4%)であった。9)

  4. 17.1.4 *海外第Ⅱ相比較試験(小児)

    *小児季節性アレルギー性鼻炎(6歳以上12歳未満)を対象とした第Ⅱ相試験において、モメタゾンフランカルボン酸エステル(MF)100μg/日(分1)、ベクロメタゾンプロピオン酸エステル(BDP)168μg/日(分2)あるいはプラセボを4週間投与した。合計鼻症状スコア8)の投与前値、投与1週後及び投与終了時の変化量を下表に示した。投与1週後及び投与終了時では、モメタゾンフランカルボン酸エステルはプラセボと比較して有意に優れていた(p≧0.01)。

    8) 医師の評価によるくしゃみ発作、鼻汁、鼻閉、鼻内そう痒感の程度をそれぞれ0~3点にスコア化して合計したスコア(最大スコアは12点)。

    表4 小児季節性アレルギー性鼻炎を対象とした第Ⅱ相試験における合計鼻症状スコア(海外試験)

    投与群

    投与前10)

    投与1週後

    投与4週後又は
    中止時

    変化量10)

    比較11)

    変化量10)

    比較11)

    MF100μg/日
    (分1)

    135

    8.1
    (1.7)

    -2.8
    (2.6)

    MFvsプラセボの差
    0.9
    p=0.01
    BDPvsプラセボの差
    0.9
    p=0.01

    -3.6
    (2.9)

    MFvsプラセボの差
    1.2
    p<0.01

    BDPvsプラセボの差
    1.2
    p<0.01

    BDP168μg/日
    (分2)

    136

    8.0
    (1.7)

    -2.8
    (2.4)

    -3.6
    (2.9)

    プラセボ

    134

    8.0
    (1.5)

    -1.9
    (2.2)

    -2.4
    (2.8)

    9) 投与前及び投与4週後又は中止時の例数
    10) 平均値(標準偏差)
    11) 投与群及び施設を因子とした分散分析

    モメタゾンフランカルボン酸エステル100μg/日(分1)における副作用は、135例中27例(20.0%)に認められた。主なものは、鼻出血8例(5.9%)、頭痛、くしゃみ各4例(3.0%)、鼻刺激3例(2.2%)であった。10),11),12)

17.3 その他

  1. 17.3.1 *海外第Ⅲ相試験(成長及び視床下部-下垂体-副腎皮質系機能に対する影響)(小児)

    *小児の通年性アレルギー性鼻炎(3歳以上10歳未満)を対象とした海外臨床試験において、モメタゾンフランカルボン酸エステル100μg/日(分1)あるいはプラセボを1年間投与した。治療1年後プラセボと比較して、モメタゾンフランカルボン酸エステルによる有意な成長抑制は認められなかった。また、視床下部-下垂体-副腎皮質系機能(血漿コルチゾール)への有意な影響は認められなかった。13)

  2. 17.3.2 *生物学的同等性試験

    *スギ花粉症患者(成人)を対象に、モメタゾン点鼻液50μg「トーワ」112噴霧用(本剤)又はナゾネックス点鼻液50μg112噴霧用(標準製剤)を、2群2期クロスオーバー法により、各鼻腔に1回2噴霧(モメタゾンフランカルボン酸エステルとして200μg)を1日1回(就寝前)14日間反復投与し、スギ花粉曝露により誘発される鼻汁、くしゃみ、鼻閉及び鼻そう痒感の4症状の合計スコア(TNSS)の時間経過から台形法を用いてTNSS AUC0-3hrを算出した。薬剤投与前TNSS AUC0-3hrと薬剤投与後TNSS AUC0-3hrの差により得られた薬力学的パラメータ(TNSSΔAUC0-3hr)について分散分析を行った結果、95%信頼区間は同等の許容域±30%の範囲内であり、両剤の生物学的同等性が確認された。14)

    表1 製剤ごとのTNSS AUC0-3hr及びTNSS ΔAUC0-3hr

    TNSS AUC0-3hr

    TNSS ΔAUC0-3hr

    薬剤投与前

    薬剤投与後

    本剤

    16.7109±5.8835

    3.8750±4.4202

    12.8359±5.9152

    標準製剤

    3.4375±3.1715

    13.2734±5.8161

    (平均値±標準偏差,n=48)

    表2 最小二乗平均値の差の95%信頼区間

    製剤間差(%)

    95%信頼区間(%)

    -3.2961

    -9.6161~3.0240

  3. 17.3.3 *安全性評価試験

    *健康成人男性12名を対象として、モメタゾン点鼻液50μg「トーワ」112噴霧用(本剤)又はナゾネックス点鼻液50μg112噴霧用(標準製剤)をクロスオーバー試験法により各鼻腔2噴霧(モメタゾンフランカルボン酸エステルとして200μg)投与して血漿中モメタゾンフランカルボン酸エステル濃度を測定した結果、全被験者の全測定時点において血漿中未変化体濃度は定量下限(10pg/mL)未満であり、本剤の全身曝露量は標準製剤と差異がないことが確認された。15)

18. 薬効薬理

18.1 作用機序

*モメタゾンフランカルボン酸エステルは抗アレルギー作用及び抗炎症作用を有する。鼻腔内投与によりアレルギー性鼻炎モデルにおいて各種鼻症状抑制作用を示した。ヒトのヘルパーT(Th)細胞からのインターロイキン-4(IL-4)及びIL-5産生(Th2細胞の活性化)を抑制した(in vitro)。鼻腔内投与により能動感作マウスのIgE及びIgG1抗体産生を抑制した(in vivo)。さらに、ラット好酸球の走化性因子による遊走能を低下させた(in vitro)。16),17),18)

18.2 *アレルギー性鼻炎抑制作用

*モメタゾンフランカルボン酸エステルは能動感作ラットの抗原誘発鼻腔内色素漏出反応(水性鼻漏)、くしゃみ、鼻掻き行動、鼻閉及び鼻過敏性亢進に対して、鼻腔内投与により抑制作用を示した(in vivo)。19),20),21),22)

18.3 *局所抗炎症作用

*モメタゾンフランカルボン酸エステルは亜急性炎症モデルであるマウスクロトン油耳浮腫に対して、局所投与により抑制作用を示し、その作用はベクロメタゾンプロピオン酸エステルよりも低用量で発現した(in vivo)。23)

18.4 *全身性のステロイド作用の比較

*経口投与した時のマウスにおける胸腺萎縮作用、視床下部-下垂体-副腎皮質系抑制作用及び体重増加抑制作用、並びにモルモットにおける末梢血リンパ球減少作用の発現にはベクロメタゾンプロピオン酸エステルよりも高用量を要した(in vivo)。24)

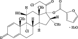
19. 有効成分に関する理化学的知見

一般的名称

モメタゾンフランカルボン酸エステル水和物
(Mometasone Furoate Hydrate)

化学名

(+)-9,21-Dichloro-11β,17α-dihydroxy-16α-methyl-1,4-pregnadiene-3,20-dione 17-(2-furoate) monohydrate

分子式

C27H30Cl2O6・H2O

分子量

539.44

性状

白色の粉末である。アセトン又はジクロロメタンにやや溶けやすく、エタノール(95)に溶けにくく、水にほとんど溶けない。

化学構造式

融点

約220℃

22. 包装

  • 〈モメタゾン点鼻液50μg「トーワ」56噴霧用〉

    10g×5本

    10g×10本

  • 〈モメタゾン点鼻液50μg「トーワ」112噴霧用〉

    18g×5本

    18g×10本

23. 主要文献

1) *毒性試験(ナゾネックス点鼻液:2008年7月16日承認、申請資料概要2.6.6.1)

2) *全身吸収性試験(ナゾネックス点鼻液:2008年7月16日承認、申請資料概要2.7.2.2)

3) *薬物動態試験・代謝物(ナゾネックス点鼻液:2008年7月16日承認、申請資料概要2.7.2.2)

4) *薬物動態試験・代謝酵素(ナゾネックス点鼻液:2008年7月16日承認、申請資料概要2.7.2.2)

5) *石川 哮ほか.耳鼻咽喉科臨床.2008;補123:1-18.

6) *用法用量検討試験(ナゾネックス点鼻液:2008年7月16日承認、申請資料概要2.7.6.5)

7) *宗 信夫ほか.アレルギー・免疫.2009;16:394-413.

8) *国内第Ⅲ相比較試験(成人)(ナゾネックス点鼻液:2008年7月16日承認、申請資料概要2.7.6.5)

9) *小児を対象としたプラセボ対照比較試験(ナゾネックス点鼻液:2012年5月25日承認、申請資料概要2.7.6.6)

10) *Meltzer EO,et al.J Allergy Clin Immunol.1999;104:107-114.

11) *小児を対象とした海外第Ⅱ相用量設定試験(ナゾネックス点鼻液:2012年5月25日承認、審査報告書)

12) *小児を対象とした用量設定試験(ナゾネックス点鼻液:2012年5月25日承認、申請資料概要2.7.6.7)

13) *Schenkel EJ,et al.Pediatrics.2000;105:E22.

14) *社内資料:生物学的同等性試験

15) *社内資料:安全性評価試験

16) *Umland SP,et al.J Allergy Clin Immunol.1997;100:511-519.

17) *Magari M,et al.Immunopharmacol Immunotoxicol.2006;28:491-500.

18) *Sugimoto Y,et al.Int Immunopharmacol.2003;3:845-852.

19) *Kamei C,et al.Jpn Pharmacol Ther.1995;23:2979-2982.

20) *Sugimoto Y,et al.Pharmacology.2000;61:91-95.

21) *アレルギー性鼻炎抑制作用(ナゾネックス点鼻液:2008年7月16日承認、申請資料概要2.6.2.2)

22) *Tsumuro T,et al.Eur J Pharmacol.2005;524:155-158.

23) *局所抗炎症作用(ナゾネックス点鼻液:2008年7月16日承認、申請資料概要2.6.2.2)

24) *全身作用(ナゾネックス点鼻液:2008年7月16日承認、申請資料概要2.6.2.4)

24. 文献請求先及び問い合わせ先

東和薬品株式会社 学術部DIセンター

〒570-0081 大阪府守口市日吉町2丁目5番15号

TEL 0120-108-932 FAX 06-7177-7379

26. 製造販売業者等

26.1 製造販売元

東和薬品株式会社

大阪府門真市新橋町2番11号

〒100-0013 東京都千代田区霞が関3-3-2 新霞が関ビル

画面を閉じる

Copyright © Pharmaceuticals and Medical Devices Agency, All Rights reserved.