医療用医薬品 詳細表示

イフェンプロジル酒石酸塩錠10mg「トーワ」/イフェンプロジル酒石酸塩錠20mg「トーワ」

処方せん医薬品以外の医薬品

添付文書番号
企業コード
作成又は改訂年月
日本標準商品分類番号
承認等
一般的名称
2.禁忌(次の患者には投与しないこと)
3.組成・性状
3.1組成
3.2製剤の性状
4.効能又は効果
6.用法及び用量
7.用法及び用量に関連する注意
9.特定の背景を有する患者に関する注意
9.1合併症・既往歴等のある患者
9.5妊婦
9.6授乳婦
9.8高齢者
10.相互作用
10.2併用注意(併用に注意すること)
11.副作用
11.2その他の副作用
14.適用上の注意
16.薬物動態
16.1血中濃度
16.3分布
16.5排泄
17.臨床成績
17.1有効性及び安全性に関する試験
18.薬効薬理
18.1作用機序
18.2*脳循環に対する作用
18.3*脳代謝に対する作用
18.4*血小板機能に対する作用
19.有効成分に関する理化学的知見
22.包装
23.主要文献
24.文献請求先及び問い合わせ先
26.製造販売業者等

イフェンプロジル酒石酸塩錠10mg「トーワ」/イフェンプロジル酒石酸塩錠20mg「トーワ」

添付文書番号

2190005F1306_1_04

企業コード

480235

作成又は改訂年月

2026年2月改訂(第2版)
2023年11月改訂(第1版)

日本標準商品分類番号

87219
871339

承認等

イフェンプロジル酒石酸塩錠10mg「トーワ」

販売名コード

YJコード

2190005F1306

販売名英語表記

IFENPRODIL TARTRATE TABLETS 10mg “TOWA”

承認番号等

承認番号

22500AMX01084

販売開始年月

1984年6月

貯法・有効期間

貯法

室温保存

有効期間

5年

基準名

日本薬局方

イフェンプロジル酒石酸塩錠

イフェンプロジル酒石酸塩錠20mg「トーワ」

販売名コード

YJコード

2190005F2205

販売名英語表記

IFENPRODIL TARTRATE TABLETS 20mg “TOWA”

承認番号等

承認番号

22500AMX01085

販売開始年月

1990年7月

貯法・有効期間

貯法

室温保存

有効期間

5年

基準名

日本薬局方

イフェンプロジル酒石酸塩錠

一般的名称

イフェンプロジル酒石酸塩錠

2. 禁忌(次の患者には投与しないこと)

頭蓋内出血発作後、止血が完成していないと考えられる患者

3. 組成・性状

3.1 組成

イフェンプロジル酒石酸塩錠10mg「トーワ」

有効成分1錠中  
日局 イフェンプロジル酒石酸塩   10mg
添加剤乳糖水和物、トウモロコシデンプン、ヒドロキシプロピルセルロース、ステアリン酸マグネシウム、ヒプロメロース、マクロゴール6000、酸化チタン、タルク

イフェンプロジル酒石酸塩錠20mg「トーワ」

有効成分1錠中  
日局 イフェンプロジル酒石酸塩   20mg
添加剤乳糖水和物、結晶セルロース、ヒドロキシプロピルセルロース、ステアリン酸マグネシウム、ヒプロメロース、マクロゴール6000、タルク、酸化チタン

3.2 製剤の性状

イフェンプロジル酒石酸塩錠10mg「トーワ」

剤形フィルムコーティング錠
色調白色
外形表面
裏面
側面
大きさ直径6.1mm
厚さ2.8mm
質量90mg
識別コードTwIB

イフェンプロジル酒石酸塩錠20mg「トーワ」

剤形フィルムコーティング錠
色調白色~微黄白色
外形表面
裏面
側面
大きさ直径7.1mm
厚さ3.2mm
質量136mg
識別コードTwIB20

4. 効能又は効果

脳梗塞後遺症、脳出血後遺症に伴うめまいの改善

6. 用法及び用量

  • 〈イフェンプロジル酒石酸塩錠10mg「トーワ」〉

    通常成人には、1回2錠(イフェンプロジル酒石酸塩として20mg)を1日3回毎食後経口投与する。

  • 〈イフェンプロジル酒石酸塩錠20mg「トーワ」〉

    通常成人には、1回1錠(イフェンプロジル酒石酸塩として20mg)を1日3回毎食後経口投与する。

7. 用法及び用量に関連する注意

本剤の投与期間は、臨床効果及び副作用の程度を考慮しながら慎重に決定するが、投与12週で効果が認められない場合には投与を中止すること。

9. 特定の背景を有する患者に関する注意

9.1 合併症・既往歴等のある患者

  1. 9.1.1 脳梗塞発作直後の患者

    脳内盗血現象を起こすおそれがある。

  2. 9.1.2 低血圧のある患者

    血圧低下を増強するおそれがある。

  3. 9.1.3 心悸亢進のある患者

    心機能を亢進させるおそれがある。

9.5 妊婦

妊婦又は妊娠している可能性のある女性には投与しないことが望ましい。

9.6 授乳婦

治療上の有益性及び母乳栄養の有益性を考慮し、授乳の継続又は中止を検討すること。

9.8 高齢者

減量するなど注意すること。一般に生理機能が低下している。

10. 相互作用

    10.2 併用注意(併用に注意すること)

    薬剤名等臨床症状・措置方法機序・危険因子

    出血傾向をきたすと考えられる薬剤

    出血傾向が増強されるおそれがある。

    本剤の血小板粘着能・凝集能抑制作用による。

    ドロキシドパ

    ドロキシドパの作用を減弱するおそれがある。

    本剤のα1受容体遮断作用による。

    11. 副作用

    次の副作用があらわれることがあるので、観察を十分に行い、異常が認められた場合には投与を中止するなど適切な処置を行うこと。

    11.2 その他の副作用

    0.1~5%未満

    頻度不明

    消化器

    口渇、悪心・嘔吐、食欲不振、胸やけ、下痢、便秘、口内炎、腹痛

    精神神経系

    頭痛、めまい、ねむけ

    不眠

    過敏症

    発疹、皮膚そう痒感

    循環器

    動悸、立ちくらみ、頻脈、顔面潮紅、のぼせ感

    肝臓

    AST・ALT上昇

    血液

    貧血

    その他

    顔面浮腫、上・下肢のしびれ感

    14. 適用上の注意

    14.1 薬剤交付時の注意

    PTP包装の薬剤はPTPシートから取り出して服用するよう指導すること。PTPシートの誤飲により、硬い鋭角部が食道粘膜へ刺入し、更には穿孔をおこして縦隔洞炎等の重篤な合併症を併発することがある。

    16. 薬物動態

    16.1 血中濃度

    1. 16.1.1 *生物学的同等性試験
      • *〈イフェンプロジル酒石酸塩錠10mg「トーワ」〉

        *イフェンプロジル酒石酸塩錠10mg「トーワ」とセロクラール錠10mgを、クロスオーバー法によりそれぞれ2錠(イフェンプロジル酒石酸塩として20mg)健康成人男子に絶食単回経口投与して血清中イフェンプロジル酒石酸塩(未変化体及び抱合体)濃度を測定し、得られた薬物動態パラメータ(AUC、Cmax)について統計解析を行った結果、両剤の生物学的同等性が確認された。1)

         

         

        製剤投与量

        (イフェンプロジル酒石酸塩として)

        判定パラメータ

        参考パラメータ

        AUC0-7
        (ng・hr/mL)

        Cmax
        (ng/mL)

        tmax
        (hr)

        t1/2
        (hr)

        イフェンプロジル酒石酸塩錠10mg「トーワ」

        2錠
        (20mg)

        239.1±34.2

        98.2±10.8

        1.2±0.3

        1.7±0.5

        セロクラール錠10mg

        2錠
        (20mg)

        234.5±40.9

        91.3±10.3

        1.4±0.2

        1.6±0.3

        (Mean±S.D.,n=10)

        血清中濃度並びにAUC、Cmax等のパラメータは、被験者の選択、体液の採取回数・時間等の試験条件によって異なる可能性がある。

      • *〈イフェンプロジル酒石酸塩錠20mg「トーワ」〉

        *イフェンプロジル酒石酸塩錠20mg「トーワ」とセロクラール錠20mgを、クロスオーバー法によりそれぞれ1錠(イフェンプロジル酒石酸塩として20mg)健康成人男子に絶食単回経口投与して血漿中イフェンプロジル酒石酸塩(未変化体及び抱合体)濃度を測定し、得られた薬物動態パラメータ(AUC、Cmax)について統計解析を行った結果、両剤の生物学的同等性が確認された。2)

         

         

        判定パラメータ

        参考パラメータ

        AUC0-7
        (ng・hr/mL)

        Cmax
        (ng/mL)

        tmax
        (hr)

        t1/2
        (hr)

        イフェンプロジル酒石酸塩錠20mg「トーワ」

        72.45±22.61

        24.81±8.24

        1.86±0.57

        1.36±0.29

        セロクラール錠20mg

        69.22±20.77

        25.22±9.43

        1.75±0.61

        1.35±0.24

        (Mean±S.D.,n=14)

        血漿中濃度並びにAUC、Cmax等のパラメータは、被験者の選択、体液の採取回数・時間等の試験条件によって異なる可能性がある。

    16.3 分布

    *ラットに14C-イフェンプロジルを経口投与した場合、投与30分後に最高血中濃度に達し、脳、肝臓、腎臓、筋肉などに分布した。3)

    16.5 排泄

    1. 16.5.1 *ラットに14C-イフェンプロジルを経口投与した場合、投与後24時間以内に投与量の約30%が尿中に、約60%が糞中に排泄された。3)
    2. 16.5.2 *健康成人男子3名にイフェンプロジル酒石酸塩錠10mgを10、20及び40mg、また、脳血管障害患者3例に20及び40mg単回投与した場合、24時間までの尿中への累積排泄率は約20~40%であった。1群3名の健康成人男子9名に、イフェンプロジル酒石酸塩錠10mgを10、20又は40mg、1日3回、4又は5日間連続投与した場合、蓄積性は認められなかった。4)

    17. 臨床成績

    17.1 有効性及び安全性に関する試験

    1. 17.1.1 *国内臨床試験

      *脳血管障害患者を対象とした、プラセボとの二重盲検比較試験における、イフェンプロジル酒石酸塩錠のめまいの改善率は64%(38/59)であり、プラセボに比し有意に高かった。また、めまい患者を対象とした二重盲検比較試験におけるめまい発作、めまい感の改善率は各々84%(41/49)、61%(31/51)であった。5),6)

    18. 薬効薬理

    18.1 作用機序

    *イフェンプロジル酒石酸塩は血管平滑筋弛緩作用、交感神経α受容体遮断作用などに基づく脳血流増加作用、脳ミトコンドリア呼吸機能の促進による脳代謝改善作用並びに血小板凝集能の抑制による血液性状改善作用の3作用が認められる。7),8),9),10),11)

    18.2 *脳循環に対する作用

    *イフェンプロジル酒石酸塩は、脳動脈血流量特に椎骨動脈(イヌ)及びその流域である扁桃核、視床下部、小脳皮質(ネコ)、内耳(モルモット)の著明な血流増加を示す。7),8),12)
    脳血管障害患者を対象にした臨床薬理学的検討では、N2O法、133Xeクリアランス法、超音波ドプラー法にて全脳及び病巣部局所の血流増加が確認されている。これら循環改善作用は、血管平滑筋直接弛緩作用並びに非選択的な交感神経α受容体遮断作用によると考えられている。7),13),14),15),16),17)

    18.3 *脳代謝に対する作用

    *イフェンプロジル酒石酸塩は、脳虚血時の乳酸、ATP、グルコースなどの脳組織における代謝異常を改善し(SHRラット)、脳ミトコンドリア機能の低下を改善する(脳梗塞家兎)。9),10)

    18.4 *血小板機能に対する作用

    *イフェンプロジル酒石酸塩は、ADP、コラーゲン、アドレナリンなどによる血小板凝集を抑制する。この作用は、イフェンプロジル酒石酸塩がセロトニン摂取並びに放出反応を抑制することから、血小板膜の安定化作用によるものと考えられている(健康成人男子:in vitro)。また、アラキドン酸代謝におけるLASS(Labile Aggregation Stimulating Substance)凝集抑制作用も認められている(ヒト:in vitro)。さらに、血小板のα2受容体を介して凝集を抑制することが示されている(健康成人:in vitro)。11),18),19)
    脳血管障害患者による臨床薬理学的検討では、血小板粘着能の抑制の他、ADP等各種の血小板凝集惹起物質に対する抑制作用、血小板α2受容体遮断に基づく血小板凝集抑制作用が報告されている。18),20),21)

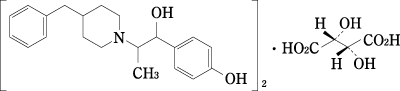
    19. 有効成分に関する理化学的知見

    一般的名称

    イフェンプロジル酒石酸塩(Ifenprodil Tartrate)

    化学名

    (1RS,2SR)-4-[2-(4-Benzylpiperidin-1-yl)-1-hydroxypropyl]phenol hemi-(2R,3R)-tartrate

    分子式

    (C21H27NO2)2・C4H6O6

    分子量

    800.98

    性状

    白色の結晶性の粉末で、においはない。酢酸(100)に溶けやすく、エタノール(95)にやや溶けやすく、水又はメタノールに溶けにくく、ジエチルエーテルにほとんど溶けない。

    化学構造式

    融点

    約148℃(分解)

    22. 包装

    • 〈イフェンプロジル酒石酸塩錠10mg「トーワ」〉

      100錠[10錠×10:PTP]

      1000錠[10錠×100:PTP]

      1000錠[バラ、乾燥剤入り]

    • 〈イフェンプロジル酒石酸塩錠20mg「トーワ」〉

      100錠[10錠×10:PTP]

      1000錠[10錠×100:PTP]

      1000錠[バラ、乾燥剤入り]

    24. 文献請求先及び問い合わせ先

    東和薬品株式会社 学術部DIセンター

    〒570-0081 大阪府守口市日吉町2丁目5番15号

    TEL 0120-108-932 FAX 06-7177-7379

    26. 製造販売業者等

    26.1 製造販売元

    東和薬品株式会社

    大阪府門真市新橋町2番11号

    〒100-0013 東京都千代田区霞が関3-3-2 新霞が関ビル

    画面を閉じる

    Copyright © Pharmaceuticals and Medical Devices Agency, All Rights reserved.