医療用医薬品 詳細表示

セファレキシンカプセル250mg「トーワ」

処方せん医薬品

添付文書番号
企業コード
作成又は改訂年月
日本標準商品分類番号
薬効分類名
承認等
一般的名称
2.禁忌(次の患者には投与しないこと)
3.組成・性状
3.1組成
3.2製剤の性状
4.効能又は効果
5.効能又は効果に関連する注意
6.用法及び用量
8.重要な基本的注意
9.特定の背景を有する患者に関する注意
9.1合併症・既往歴等のある患者
9.2腎機能障害患者
9.5妊婦
9.6授乳婦
9.8高齢者
11.副作用
11.1重大な副作用
11.2その他の副作用
12.臨床検査結果に及ぼす影響
14.適用上の注意
16.薬物動態
16.1血中濃度
16.3分布
16.4代謝
16.5排泄
16.6特定の背景を有する患者
18.薬効薬理
18.1作用機序
18.2抗菌作用
19.有効成分に関する理化学的知見
22.包装
23.主要文献
24.文献請求先及び問い合わせ先
26.製造販売業者等

セファレキシンカプセル250mg「トーワ」

添付文書番号

6132002M2175_1_10

企業コード

480235

作成又は改訂年月

2023年8月改訂(第1版)

日本標準商品分類番号

876132

薬効分類名

経口用セフェム系抗生物質製剤

承認等

セファレキシンカプセル250mg「トーワ」

販売名コード

YJコード

6132002M2175

販売名英語表記

CEFALEXIN CAPSULES 250mg “TOWA”

承認番号等

承認番号

21800AMX10706

販売開始年月

1976年9月

貯法・有効期間

貯法

室温保存

有効期間

3年

基準名

日本薬局方

セファレキシンカプセル

一般的名称

セファレキシンカプセル

2. 禁忌(次の患者には投与しないこと)

本剤の成分に対し過敏症の既往歴のある患者

3. 組成・性状

3.1 組成

セファレキシンカプセル250mg「トーワ」

有効成分1カプセル中  
日局 セファレキシン…   250mg(力価)
添加剤トウモロコシデンプン、結晶セルロース、ステアリン酸マグネシウム
カプセル本体:黄色5号、青色1号、酸化チタン、ラウリル硫酸ナトリウム、ゼラチン

3.2 製剤の性状

セファレキシンカプセル250mg「トーワ」

剤形粉末をカプセルに充填した硬カプセル剤で本体類白色、頭部緑色の不透明な硬カプセル剤である。
色調白色~淡黄白色
外形
質量約343mg
識別コードTw CEX250
Tw. CEX250

4. 効能又は効果

  • 〈適応菌種〉

    本剤に感性のブドウ球菌属、レンサ球菌属、肺炎球菌、腸球菌属、淋菌、大腸菌、クレブシエラ属、エンテロバクター属、プロテウス属、モルガネラ・モルガニー、プロビデンシア属、インフルエンザ菌

  • 〈適応症〉
    • 表在性皮膚感染症、深在性皮膚感染症、リンパ管・リンパ節炎、慢性膿皮症
    • 外傷・熱傷及び手術創等の二次感染、乳腺炎
    • 骨髄炎、筋炎
    • 咽頭・喉頭炎、扁桃炎、急性気管支炎、肺炎、慢性呼吸器病変の二次感染
    • 膀胱炎、腎盂腎炎、前立腺炎(急性症、慢性症)、精巣上体炎(副睾丸炎)
    • 淋菌感染症、子宮頸管炎
    • バルトリン腺炎、子宮内感染
    • 涙嚢炎、麦粒腫、角膜炎(角膜潰瘍を含む)
    • 外耳炎、中耳炎、副鼻腔炎、化膿性唾液腺炎
    • 歯周組織炎、歯冠周囲炎、上顎洞炎、顎炎、抜歯創・口腔手術創の二次感染

5. 効能又は効果に関連する注意

  • 〈咽頭・喉頭炎、扁桃炎、急性気管支炎、中耳炎、副鼻腔炎〉

    「抗微生物薬適正使用の手引き」1)を参照し、抗菌薬投与の必要性を判断した上で、本剤の投与が適切と判断される場合に投与すること。

6. 用法及び用量

通常、成人および体重20kg以上の小児に対しては、セファレキシンとして1回250mg(力価)を6時間ごとに経口投与する。
重症の場合や分離菌の感受性が比較的低い症例に対してはセファレキシンとして1回500mg(力価)を6時間毎に経口投与する。
なお、年齢、体重、症状により適宜増減する。

8. 重要な基本的注意

  1. 8.1 ショックがあらわれるおそれがあるので、十分な問診を行うこと。
  2. 8.2 本剤の使用にあたっては、耐性菌の発現等を防ぐため、原則として感受性を確認し、疾病の治療上必要な最小限の期間の投与にとどめること。
  3. 8.3 急性腎障害等の重篤な腎障害があらわれることがあるので、定期的に腎機能検査を行うなど観察を十分に行うこと。

9. 特定の背景を有する患者に関する注意

9.1 合併症・既往歴等のある患者

  1. 9.1.1 セフェム系抗生物質に対し過敏症の既往歴のある患者(ただし、本剤に対し過敏症の既往歴のある患者には投与しないこと)

    治療上やむを得ないと判断される場合を除き、投与しない。

  2. 9.1.2 ペニシリン系抗生物質に対し過敏症の既往歴のある患者
  3. 9.1.3 本人又は両親、兄弟に気管支喘息、発疹、蕁麻疹等のアレルギー症状を起こしやすい体質を有する患者
  4. 9.1.4 経口摂取の不良な患者又は非経口栄養の患者、全身状態の悪い患者

    観察を十分に行うこと。ビタミンK欠乏症状があらわれることがある。

9.2 腎機能障害患者

  1. 9.2.1 高度の腎障害のある患者

    投与量を減らすか、投与間隔をあけて使用すること。血中濃度が持続する。

9.5 妊婦

妊婦又は妊娠している可能性のある女性には、治療上の有益性が危険性を上回ると判断される場合にのみ投与すること。

9.6 授乳婦

治療上の有益性及び母乳栄養の有益性を考慮し、授乳の継続又は中止を検討すること。

9.8 高齢者

次の点に注意し、用量並びに投与間隔に留意するなど患者の状態を観察しながら慎重に投与すること。

  • 生理機能が低下していることが多く副作用が発現しやすい。
  • ビタミンK欠乏による出血傾向があらわれることがある。

11. 副作用

次の副作用があらわれることがあるので、観察を十分に行い、異常が認められた場合には投与を中止するなど適切な処置を行うこと。

11.1 重大な副作用

  1. 11.1.1 ショック、アナフィラキシー(いずれも0.1%未満)

    ショック、アナフィラキシー(呼吸困難、全身潮紅、浮腫等)を起こすことがある。

  2. 11.1.2 急性腎障害(0.1%未満)

    急性腎障害等の重篤な腎障害があらわれることがある。

  3. 11.1.3 溶血性貧血(0.1%未満)
  4. 11.1.4 偽膜性大腸炎(0.1%未満)

    偽膜性大腸炎等の血便を伴う重篤な大腸炎があらわれることがある。腹痛、頻回の下痢があらわれた場合には、直ちに投与を中止するなど適切な処置を行うこと。

  5. 11.1.5 中毒性表皮壊死融解症(Toxic Epidermal Necrolysis:TEN)、皮膚粘膜眼症候群(Stevens-Johnson症候群)(いずれも0.1%未満)
  6. 11.1.6 間質性肺炎、PIE症候群(いずれも0.1%未満)

    発熱、咳嗽、呼吸困難、胸部X線異常、好酸球増多等を伴う間質性肺炎、PIE症候群等があらわれることがあるので、このような症状があらわれた場合には投与を中止し、副腎皮質ホルモン剤の投与等の適切な処置を行うこと。

11.2 その他の副作用

0.1~5%未満

0.1%未満

頻度不明

過敏症

発疹、蕁麻疹、紅斑、そう痒、発熱、リンパ腺腫脹、関節痛等

血液

顆粒球減少、好酸球増多、血小板減少

肝臓

黄疸、AST上昇、ALT上昇、Al-P上昇

消化器

悪心、嘔吐、下痢、軟便、腹痛、食欲不振、胃不快感等

菌交代症

口内炎、カンジダ症

ビタミン欠乏症

ビタミンK欠乏症状(低プロトロンビン血症、出血傾向等)、ビタミンB群欠乏症状(舌炎、口内炎、食欲不振、神経炎等)

その他

頭痛、めまい、全身倦怠感

12. 臨床検査結果に及ぼす影響

  1. 12.1 テステープ反応を除くベネディクト試薬、フェーリング試薬による尿糖検査では偽陽性を呈することがあるので注意すること。
  2. 12.2 直接クームス試験陽性を呈することがあるので注意すること。

14. 適用上の注意

14.1 薬剤交付時の注意

PTP包装の薬剤はPTPシートから取り出して服用するよう指導すること。PTPシートの誤飲により、硬い鋭角部が食道粘膜へ刺入し、更には穿孔を起こして縦隔洞炎等の重篤な合併症を併発することがある。

16. 薬物動態

16.1 血中濃度

  1. 16.1.1 生物学的同等性試験

    セファレキシンカプセル250mg「トーワ」とケフレックスカプセル250mgをクロスオーバー法によりそれぞれ1カプセル(セファレキシンとして250mg(力価))家兎(n=10)に絶食単回経口投与し、血漿中未変化体濃度について比較検討した結果、両製剤間の生物学的利用率には有意差は認められなかった。2)

16.3 分布

血清蛋白結合率:限外ろ過法にて測定された血清蛋白結合率は約15%であった(外国人データ)。3)

16.4 代謝

健康成人に経口投与後、生体内で代謝されず、未変化のまま尿中に排泄された。4)

16.5 排泄

健康成人に250mg(力価)(n=8)、500mg(力価)(n=8)を食後経口投与したときの6時間までの平均尿中回収率は約90%であった。5)

16.6 特定の背景を有する患者

  1. 16.6.1 腎機能障害患者

    腎機能障害患者に500mg(力価)を単回経口投与したとき、GFR(glomerular filtration rate;糸球体ろ過値)の低下に伴い、Cmax、Tmaxが高値を示す傾向がみられた(外国人データ)。6)

    GFR
    (mL/min)

    n

    Cmax
    (μg/mL)

    Tmax
    (hr)

    <10

    9

    25.9

    2.7

    10~20

    4

    32.6

    4

    20~50

    4

    21.9

    1.6

    >50

    1

    19.0

    1.0

    腎機能正常者

    18

    12.7

    1.0

    (mean)

    また、GFRが30mL/min以下では半減期が著明に延長した(外国人データ)。6)

18. 薬効薬理

18.1 作用機序

細菌の細胞壁合成を阻害することにより抗菌作用を発揮し、その作用は殺菌的である。7),8)

18.2 抗菌作用

試験管内でブドウ球菌属、レンサ球菌属、肺炎球菌、淋菌、大腸菌、クレブシエラ属、プロテウス・ミラビリスに抗菌力を示す。9),10)

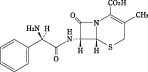
19. 有効成分に関する理化学的知見

一般的名称

セファレキシン(Cefalexin)

化学名

(6R,7R)-7-[(2R)-2-Amino-2-phenylacetylamino]-3-
methyl-8-oxo-5-thia-1-azabicyclo[4.2.0]oct-2-ene-2-
carboxylic acid

分子式

C16H17N3O4S

分子量

347.39

性状

白色~淡黄白色の結晶又は結晶性の粉末である。水にやや溶けにくく、メタノールに溶けにくく、エタノール(95)又はN,N-ジメチルホルムアミドにほとんど溶けない。吸湿性である。

化学構造式

22. 包装

100カプセル[10カプセル×10:PTP]

24. 文献請求先及び問い合わせ先

東和薬品株式会社 学術部DIセンター

〒570-0081 大阪府守口市日吉町2丁目5番15号

0120-108-932 FAX 06-7177-7379

26. 製造販売業者等

26.1 製造販売元

東和薬品株式会社

大阪府門真市新橋町2番11号

〒100-0013 東京都千代田区霞が関3-3-2 新霞が関ビル

画面を閉じる

Copyright © Pharmaceuticals and Medical Devices Agency, All Rights reserved.