医療用医薬品 詳細表示

セフカペンピボキシル塩酸塩錠75mg「TW」/セフカペンピボキシル塩酸塩錠100mg「TW」

処方せん医薬品

添付文書番号
企業コード
作成又は改訂年月
日本標準商品分類番号
薬効分類名
承認等
一般的名称
2.禁忌(次の患者には投与しないこと)
3.組成・性状
3.1組成
3.2製剤の性状
4.効能又は効果
5.効能又は効果に関連する注意
6.用法及び用量
8.重要な基本的注意
9.特定の背景を有する患者に関する注意
9.1合併症・既往歴等のある患者
9.2腎機能障害患者
9.5妊婦
9.7小児等
9.8高齢者
11.副作用
11.1重大な副作用
11.2その他の副作用
12.臨床検査結果に及ぼす影響
14.適用上の注意
15.その他の注意
15.1臨床使用に基づく情報
15.2非臨床試験に基づく情報
16.薬物動態
16.1血中濃度
16.2吸収
16.3分布
16.4代謝
16.5排泄
16.6特定の背景を有する患者
17.臨床成績
17.1有効性及び安全性に関する試験
18.薬効薬理
18.1作用機序
18.2抗菌作用
19.有効成分に関する理化学的知見
20.取扱い上の注意
22.包装
23.主要文献
24.文献請求先及び問い合わせ先
26.製造販売業者等

セフカペンピボキシル塩酸塩錠75mg「TW」/セフカペンピボキシル塩酸塩錠100mg「TW」

添付文書番号

6132016F1120_1_02

企業コード

480235

作成又は改訂年月

2024年9月作成(第1版)

日本標準商品分類番号

876132

薬効分類名

経口用セフェム系抗生物質製剤

承認等

セフカペンピボキシル塩酸塩錠75mg「TW」

販売名コード

YJコード

6132016F1120

販売名英語表記

CEFCAPENE PIVOXIL HYDROCHLORIDE TABLETS 75mg “TW”

承認番号等

承認番号

30600AMX00034

販売開始年月

2024年9月

貯法・有効期間

貯法

室温保存

有効期間

3年

基準名

日本薬局方

セフカペン ピボキシル塩酸塩錠

セフカペンピボキシル塩酸塩錠100mg「TW」

販売名コード

YJコード

6132016F2127

販売名英語表記

CEFCAPENE PIVOXIL HYDROCHLORIDE TABLETS 100mg “TW”

承認番号等

承認番号

30600AMX00035

販売開始年月

2024年9月

貯法・有効期間

貯法

室温保存

有効期間

3年

基準名

日本薬局方

セフカペン ピボキシル塩酸塩錠

一般的名称

セフカペン ピボキシル塩酸塩錠

2. 禁忌(次の患者には投与しないこと)

本剤の成分に対し過敏症の既往歴のある患者

3. 組成・性状

3.1 組成

セフカペンピボキシル塩酸塩錠75mg「TW」

有効成分1錠中  
日局 セフカペン ピボキシル塩酸塩水和物
   75mg(力価)
添加剤トウモロコシデンプン、カルメロースカルシウム、ヒドロキシプロピルセルロース、ステアリン酸マグネシウム、ヒプロメロース、酸化チタン、マクロゴール6000、白糖、タルク

セフカペンピボキシル塩酸塩錠100mg「TW」

有効成分1錠中  
日局 セフカペン ピボキシル塩酸塩水和物
   100mg(力価)
添加剤トウモロコシデンプン、カルメロースカルシウム、ヒドロキシプロピルセルロース、ステアリン酸マグネシウム、ヒプロメロース、酸化チタン、マクロゴール6000、白糖、タルク、三二酸化鉄

3.2 製剤の性状

セフカペンピボキシル塩酸塩錠75mg「TW」

剤形円形の
フィルムコーティング錠
色調白色
外形表面
裏面
側面
大きさ直径約7.6mm
厚さ約3.6mm
質量約170mg
本体表示TW セフカペン 75

セフカペンピボキシル塩酸塩錠100mg「TW」

剤形円形の
フィルムコーティング錠
色調うすい赤色
外形表面
裏面
側面
大きさ直径約8.6mm
厚さ約3.7mm
質量約220mg
本体表示TW セフカペン 100

4. 効能又は効果

  • 〈適応菌種〉

    セフカペンに感性のブドウ球菌属、レンサ球菌属、肺炎球菌、淋菌、モラクセラ(ブランハメラ)・カタラーリス、大腸菌、シトロバクター属、クレブシエラ属、エンテロバクター属、セラチア属、プロテウス属、モルガネラ・モルガニー、プロビデンシア属、インフルエンザ菌、ペプトストレプトコッカス属、バクテロイデス属、プレボテラ属(プレボテラ・ビビアを除く)、アクネ菌

  • 〈適応症〉

    表在性皮膚感染症、深在性皮膚感染症、リンパ管・リンパ節炎、慢性膿皮症、外傷・熱傷及び手術創等の二次感染、乳腺炎、肛門周囲膿瘍、咽頭・喉頭炎、扁桃炎(扁桃周囲炎、扁桃周囲膿瘍を含む)、急性気管支炎、肺炎、慢性呼吸器病変の二次感染、膀胱炎、腎盂腎炎、尿道炎、子宮頸管炎、胆嚢炎、胆管炎、バルトリン腺炎、子宮内感染、子宮付属器炎、涙嚢炎、麦粒腫、瞼板腺炎、外耳炎、中耳炎、副鼻腔炎、歯周組織炎、歯冠周囲炎、顎炎

5. 効能又は効果に関連する注意

  • 〈咽頭・喉頭炎、扁桃炎(扁桃周囲炎、扁桃周囲膿瘍を含む)、急性気管支炎、中耳炎、副鼻腔炎〉

    「抗微生物薬適正使用の手引き」1)を参照し、抗菌薬投与の必要性を判断した上で、本剤の投与が適切と判断される場合に投与すること。

6. 用法及び用量

通常、成人にはセフカペン ピボキシル塩酸塩水和物として1回100mg(力価)を1日3回食後経口投与する。
なお、年齢及び症状に応じて適宜増減するが、難治性又は効果不十分と思われる症例には1回150mg(力価)を1日3回食後経口投与する。

8. 重要な基本的注意

  1. 8.1 本剤の使用にあたっては、耐性菌の発現等を防ぐため、原則として感受性を確認し、疾病の治療上必要な最小限の期間の投与にとどめること。
  2. 8.2 ショックがあらわれるおそれがあるので、十分な問診を行うこと。
  3. 8.3 急性腎障害等の重篤な腎障害があらわれることがあるので、定期的に検査を行うなど観察を十分に行うこと。
  4. 8.4 無顆粒球症、血小板減少、溶血性貧血があらわれることがあるので、定期的に検査を行うなど観察を十分に行うこと。
  5. 8.5 劇症肝炎等の重篤な肝炎、肝機能障害、黄疸があらわれることがあるので、定期的に検査を行うなど観察を十分に行うこと。

9. 特定の背景を有する患者に関する注意

9.1 合併症・既往歴等のある患者

  1. 9.1.1 セフェム系抗生物質に対し過敏症の既往歴のある患者(ただし、本剤に対し過敏症の既往歴のある患者には投与しないこと)

    治療上やむを得ないと判断される場合を除き、投与しない。

  2. 9.1.2 ペニシリン系抗生物質に対し過敏症の既往歴のある患者
  3. 9.1.3 本人又は両親、兄弟に気管支喘息、発疹、蕁麻疹等のアレルギー症状を起こしやすい体質を有する患者
  4. 9.1.4 経口摂取の不良な患者又は非経口栄養の患者、全身状態の悪い患者

    観察を十分に行うこと。ビタミンK欠乏症状があらわれることがある。

9.2 腎機能障害患者

  1. 9.2.1 腎不全又は高度の腎障害(クレアチニンクリアランス40mL/min以下)のある患者

    投与量を減らすか、投与間隔をあけて使用すること。血中濃度が持続する。

9.5 妊婦

妊婦又は妊娠している可能性のある女性には、治療上の有益性が危険性を上回ると判断される場合にのみ投与すること。妊娠後期にピボキシル基を有する抗生物質を投与された妊婦と、その出生児において低カルニチン血症の発現が報告されている。,

9.7 小児等

  1. 9.7.1 低出生体重児、新生児を対象とした臨床試験は実施していない。
  2. 9.7.2 カルニチンの低下に注意すること。血清カルニチンが低下する先天性代謝異常であることが判明した場合には投与しないこと。小児(特に乳幼児)においてピボキシル基を有する抗生物質(小児用製剤)の投与により、低カルニチン血症に伴う低血糖があらわれることがある。,

9.8 高齢者

次の点に注意し、用量並びに投与間隔に留意するなど患者の状態を観察しながら慎重に投与すること。

  1. 9.8.1 本剤は腎排泄型の薬剤であり、高齢者では一般に生理機能が低下していることが多く、高齢者を対象とした本剤の薬物動態の検討において、副作用は認められなかったが、健康成人に比べ尿中回収率はやや低く、血中半減期も延長する傾向が認められている。
  2. 9.8.2 ビタミンK欠乏による出血傾向があらわれることがある。

11. 副作用

次の副作用があらわれることがあるので、観察を十分に行い、異常が認められた場合には投与を中止するなど適切な処置を行うこと。

11.1 重大な副作用

  1. 11.1.1 ショック、アナフィラキシー(いずれも頻度不明)

    不快感、口内異常感、喘鳴、眩暈、便意、耳鳴、発汗、呼吸困難、血圧低下等があらわれた場合には投与を中止し、適切な処置を行うこと。

  2. 11.1.2 急性腎障害(頻度不明)

    急性腎障害等の重篤な腎障害があらわれることがある。

  3. 11.1.3 無顆粒球症、血小板減少、溶血性貧血(いずれも頻度不明)

  4. 11.1.4 偽膜性大腸炎、出血性大腸炎(いずれも頻度不明)

    偽膜性大腸炎、出血性大腸炎等の血便を伴う重篤な大腸炎があらわれることがあるので、腹痛、頻回の下痢があらわれた場合には直ちに投与を中止するなど適切な処置を行うこと。

  5. 11.1.5 中毒性表皮壊死融解症(Toxic Epidermal Necrolysis:TEN)、皮膚粘膜眼症候群(Stevens-Johnson症候群)、紅皮症(剥脱性皮膚炎)(いずれも頻度不明)
  6. 11.1.6 間質性肺炎、好酸球性肺炎(いずれも頻度不明)

    発熱、咳嗽、呼吸困難等の症状があらわれた場合には投与を中止し、速やかに胸部X線検査、血液検査等を実施し、副腎皮質ホルモン剤の投与等の適切な処置を行うこと。

  7. 11.1.7 劇症肝炎、肝機能障害、黄疸(いずれも頻度不明)

    劇症肝炎等の重篤な肝炎、AST、ALT、Al-P等の上昇を伴う肝機能障害、黄疸があらわれることがある。

  8. 11.1.8 横紋筋融解症(頻度不明)

    筋肉痛、脱力感、CK上昇、血中及び尿中ミオグロビン上昇を特徴とする横紋筋融解症があらわれることがあるので、このような場合には、直ちに投与を中止するなど適切な処置を行うこと。

11.2 その他の副作用

0.1~5%

0.1%未満

頻度不明

過敏症

発疹

蕁麻疹、そう痒感、発赤、紅斑、腫脹

関節痛、発熱

血液

好酸球増多

貧血(赤血球減少、ヘモグロビン減少、ヘマトクリット減少)

顆粒球減少、血小板減少

肝臓

ALT上昇、AST上昇、LDH上昇、Al-P上昇、γ-GTP上昇

黄疸

腎臓

BUN上昇、蛋白尿、血尿

クレアチニン上昇

浮腫

消化器

下痢、腹痛、胃不快感、胃痛、嘔気、嘔吐

食欲不振、便秘、口渇、口内しびれ感

菌交代症

口内炎、カンジダ症

ビタミン
欠乏症

ビタミンK欠乏症状(低プロトロンビン血症、出血傾向等)、ビタミンB群欠乏症状(舌炎、口内炎、食欲不振、神経炎等)

その他

CK上昇、アルドラーゼ上昇

めまい、頭痛、倦怠感、眠気

心悸亢進、四肢しびれ感、筋肉痛、血清カルニチン低下

12. 臨床検査結果に及ぼす影響

  1. 12.1 テステープ反応を除くベネディクト試薬、フェーリング試薬による尿糖検査では偽陽性を呈することがある。
  2. 12.2 直接クームス試験陽性を呈することがある。

14. 適用上の注意

14.1 薬剤交付時の注意

PTP包装の薬剤はPTPシートから取り出して服用するよう指導すること。PTPシートの誤飲により、硬い鋭角部が食道粘膜へ刺入し、更には穿孔をおこして縦隔洞炎等の重篤な合併症を併発することがある。

15. その他の注意

15.1 臨床使用に基づく情報

本剤を含むピボキシル基を有する抗生物質(セフカペン ピボキシル塩酸塩水和物、セフジトレン ピボキシル、セフテラム ピボキシル、テビペネム ピボキシル)の投与により、ピバリン酸(ピボキシル基を有する抗生物質の代謝物)の代謝・排泄に伴う血清カルニチン低下が報告されている。,

15.2 非臨床試験に基づく情報

動物試験(イヌ)でCKの上昇を伴う筋細胞障害(骨格筋の病理組織学的検査)が認められている。

16. 薬物動態

16.1 血中濃度

健康成人各6例に100mg(力価)、150mg(力価)を食後単回経口投与したときのセフカペンの血清中、血漿中濃度を図16-1、薬物動態パラメータを表16-1に示す。なお、100mg(力価)投与例と150mg(力価)投与例は被験者群が異なる。
Cmax、AUCはいずれも用量に比例して増加した。2),3),4),5)

図16-1 単回経口投与時の血清中及び血漿中濃度(健康成人)
表16-1 薬物動態パラメータ(健康成人、単回経口投与)

記号

投与量
〔mg(力価)〕

例数

Cmax
(μg/mL)

Tmax
(hr)

AUC0-12
(μg・hr/mL)

T1/2
(hr)

100

6

1.28±0.33

1.3±0.5

3.86±0.52

1.01±0.11

150

6

1.82±0.10

2.2±0.5

5.79±0.66

1.09±0.21

注:AUC0-10

(測定法:bioassay)(平均値±標準偏差)

16.2 吸収

セフカペン ピボキシル塩酸塩錠の吸収は、空腹時に比べ食後投与の方が良好であった。2)

16.3 分布

  1. 16.3.1 組織移行

    喀痰、肺組織、胸水、扁桃組織、中耳分泌液、上顎洞粘膜・貯留液、皮膚組織、胆汁・胆嚢組織、女性性器組織、抜歯創貯留液、口腔内嚢胞壁等への移行は良好であった。
    なお、乳汁中への移行は認められなかった。6)

  2. 16.3.2 蛋白結合率

    健康成人での血清蛋白結合率は、血清中濃度1~4μg/mLの範囲で約45%とほぼ一定であった。2)

16.4 代謝

セフカペン ピボキシル塩酸塩水和物は吸収時に腸管壁のエステラーゼにより加水分解され7)、抗菌活性体であるセフカペンとピバリン酸及びホルムアルデヒドになる。8)

16.5 排泄

セフカペンはほとんど代謝されることなく、糸球体ろ過及び尿細管分泌により主として腎から尿中に排泄される。9)健康成人6例に150mg(力価)を朝食後30分単回経口投与したときの尿中回収率は0~24時間で約40%であった。2)ピバリン酸はカルニチン抱合を受け、ほぼ100%がピバロイルカルニチンとして速やかに尿中に排泄される。ホルムアルデヒドは大部分が二酸化炭素として呼気中に排泄される。7),10),11)

16.6 特定の背景を有する患者

  1. 16.6.1 腎機能障害患者

    腎機能障害成人患者9例に150mg(力価)を食後単回経口投与したときの薬物動態パラメータを表16-2に示す。T1/2は、Ccrが40mL/min以上の症例では健康成人の値と大きな差はないが、40mL/min以下及び腎不全患者では腎機能の低下に従い延長し、Cmaxも高値を示し、AUCも増大する傾向を示した。12)

    表16-2 薬物動態パラメータ(腎機能障害患者)

    患者
    No.

    Ccr
    (mL/min)

    Cmax
    (μg/mL)

    Tmax
    (hr)

    AUC0-24
    (μg・hr/mL)

    T1/2
    (hr)

    1

    63.1

    1.73

    4.00

    9.47

    1.86

    2

    57.5

    1.54

    6.00

    10.70

    2.42

    3

    47.7

    1.23

    6.00

    8.41

    2.58

    4

    44.4

    1.27

    4.00

    6.05

    1.00

    5

    44.2

    2.98

    4.00

    14.68

    1.99

    6

    39.0

    2.46

    4.00

    22.75

    3.67

    7

    37.0

    2.27

    3.00

    17.67

    3.71

    8

    <5

    2.68

    6.00

    30.83

    7.82

    9

    <5

    3.56

    6.00

    56.33

    14.77

    Ccr:クレアチニンクリアランス(測定法:bioassay)

  2. 16.6.2 高齢者

    73~78歳の高齢患者5例に100mg(力価)を食後単回経口投与したときのセフカペンの血清中濃度を図16-2、薬物動態パラメータを表16-3に示す。Ccrの程度により、T1/2は延長する傾向を示した。13)

    図16-2 単回経口投与時の血清中濃度(高齢者)
    表16-3 薬物動態パラメータ(高齢者)

    患者
    No.

    Ccr
    (mL/min)

    Cmax
    (μg/mL)

    Tmax
    (hr)

    AUC0-∞
    (μg・hr/mL)

    T1/2
    (hr)

    1

    76.1

    1.35

    3.00

    5.09

    1.19

    2

    20.0

    1.96

    2.00

    7.95

    1.78

    3

    52.3

    1.58

    3.00

    5.59

    0.97

    4

    32.4

    1.67

    3.00

    6.52

    5.21

    5

    20.0

    2.60

    3.00

    17.17

    3.67

    (測定法:bioassay)

17. 臨床成績

17.1 有効性及び安全性に関する試験

  1. 17.1.1 国内一般臨床試験

    承認時における国内の一般臨床試験のうち、1回100mg(力価)、1日3回投与での有効性評価対象例は1261例であり、有効率は84.9%(1070例)であった(表17-1)。14)

    表17-1 臨床成績

    疾患

    有効例数/有効性評価対象例数

    有効率(%)

    皮膚科領域感染症

    64/70

    91.4

    外科領域感染症

    52/56

    92.9

    呼吸器感染症

    299/347

    86.2

    尿路感染症

    201/266

    75.6

    性感染症

    83/91

    91.2

    胆道感染症

    16/17

    94.1

    産婦人科領域感染症

    101/106

    95.3

    眼科領域感染症

    68/79

    86.1

    耳鼻科領域感染症

    82/114

    71.9

    歯科、口腔外科領域感染症

    104/115

    90.4

18. 薬効薬理

18.1 作用機序

セフカペンは細菌の細胞壁合成を阻害することにより抗菌作用を発揮し、その作用は殺菌的である。
黄色ブドウ球菌では致死標的といわれているPBP(ペニシリン結合蛋白)1、2、3のすべてに高い結合親和性を示した。また、大腸菌及びプロテウス・ブルガリスでは隔壁合成に必須な酵素であるPBP3に高い結合親和性を示した(in vitro試験)。15),16)

18.2 抗菌作用

  1. 18.2.1 セフカペン ピボキシル塩酸塩水和物は吸収時に腸管壁のエステラーゼにより加水分解を受け7)、活性体であるセフカペンとして抗菌力を示す。8)
  2. 18.2.2 セフカペンは試験管内では好気性及び嫌気性のグラム陽性菌からグラム陰性菌まで幅広い抗菌スペクトルを有する。8),17)
    また、ペニシリン耐性肺炎球菌及びアンピシリン耐性インフルエンザ菌に対しても抗菌力を示す。15),18)
  3. 18.2.3 セフカペンは試験管内では各種細菌の産生するβ-ラクタマーゼに安定である。8),16)
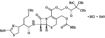
  4. 18.2.4 抗菌作用は試験管内では殺菌的であり、最小殺菌濃度は最小発育阻止濃度とほぼ一致している。8)

19. 有効成分に関する理化学的知見

一般的名称

セフカペン ピボキシル塩酸塩水和物

(Cefcapene Pivoxil Hydrochloride Hydrate)

化学名

2,2-Dimethylpropanoyloxymethyl (6R,7R)-7-[(2Z)-2-(2-aminothiazol-4-yl)pent-2-enoylamino]-3-carbamoyloxymethyl-8-oxo-5-thia-1-azabicyclo[4.2.0]oct-2-ene-2-carboxylate monohydrochloride monohydrate

分子式

C23H29N5O8S2・HCl・H2O

分子量

622.11

性状

白色~微黄白色の結晶性の粉末又は塊で、わずかに特異なにおいがある。
N,N-ジメチルホルムアミド又はメタノールに溶けやすく、エタノール(99.5)にやや溶けやすく、水に溶けにくく、ジエチルエーテルにほとんど溶けない。

化学構造式

融点

約135℃(分解)

分配係数

104[pH7、1-オクタノール/緩衝液]

略号

CFPN-PI

20. 取扱い上の注意

防湿性の高いPTPとアルミ袋により品質保持を図っている。アルミ袋開封後はPTP包装のまま保存すること。

22. 包装

  • 〈セフカペンピボキシル塩酸塩錠75mg「TW」〉

    100錠[10錠×10:PTP]

  • 〈セフカペンピボキシル塩酸塩錠100mg「TW」〉

    100錠[10錠×10:PTP]

    500錠[10錠×50:PTP]

24. 文献請求先及び問い合わせ先

東和薬品株式会社 学術部DIセンター

〒570-0081 大阪府守口市日吉町2丁目5番15号

0120-108-932 FAX 06-7177-7379

26. 製造販売業者等

26.1 製造販売元

東和薬品株式会社

大阪府門真市新橋町2番11号

〒100-0013 東京都千代田区霞が関3-3-2 新霞が関ビル

画面を閉じる

Copyright © Pharmaceuticals and Medical Devices Agency, All Rights reserved.