医療用医薬品 詳細表示

アジスロマイシン錠250mg「トーワ」/アジスロマイシン錠500mg「トーワ」

処方せん医薬品

添付文書番号
企業コード
作成又は改訂年月
日本標準商品分類番号
薬効分類名
承認等
一般的名称
2.禁忌(次の患者には投与しないこと)
3.組成・性状
3.1組成
3.2製剤の性状
4.効能又は効果
5.効能又は効果に関連する注意
6.用法及び用量
7.用法及び用量に関連する注意
8.重要な基本的注意
9.特定の背景を有する患者に関する注意
9.1合併症・既往歴等のある患者
9.3肝機能障害患者
9.5妊婦
9.6授乳婦
9.7小児等
9.8高齢者
10.相互作用
10.2併用注意(併用に注意すること)
11.副作用
11.1重大な副作用
11.2その他の副作用
13.過量投与
14.適用上の注意
15.その他の注意
15.1臨床使用に基づく情報
15.2非臨床試験に基づく情報
16.薬物動態
16.1血中濃度
16.2吸収
16.3分布
16.4代謝
16.5排泄
16.6特定の背景を有する患者
16.7薬物相互作用
16.8その他
17.臨床成績
17.1有効性及び安全性に関する試験
18.薬効薬理
18.1作用機序
18.2*抗菌作用
19.有効成分に関する理化学的知見
22.包装
23.主要文献
24.文献請求先及び問い合わせ先
26.製造販売業者等

アジスロマイシン錠250mg「トーワ」/アジスロマイシン錠500mg「トーワ」

添付文書番号

6149004F1168_1_12

企業コード

480235

作成又は改訂年月

2024年9月改訂(第2版)
2024年3月改訂(第1版)

日本標準商品分類番号

876149

薬効分類名

15員環マクロライド系抗生物質製剤

承認等

アジスロマイシン錠250mg「トーワ」

販売名コード

YJコード

6149004F1168

販売名英語表記

AZITHROMYCIN TABLETS 250mg “TOWA”

承認番号等

承認番号

22500AMX01586

販売開始年月

2013年12月

貯法・有効期間

貯法

室温保存

有効期間

5年

アジスロマイシン錠500mg「トーワ」

販売名コード

YJコード

6149004F4027

販売名英語表記

AZITHROMYCIN TABLETS 500mg “TOWA”

承認番号等

承認番号

22500AMX01587

販売開始年月

2013年12月

貯法・有効期間

貯法

室温保存

有効期間

5年

一般的名称

アジスロマイシン錠

2. 禁忌(次の患者には投与しないこと)

本剤の成分に対し過敏症の既往歴のある患者

3. 組成・性状

3.1 組成

アジスロマイシン錠250mg「トーワ」

有効成分1錠中  
日局 アジスロマイシン水和物
   262.0mg
(アジスロマイシンとして   250mg(力価) )
添加剤結晶セルロース、ヒドロキシプロピルセルロース、メタケイ酸アルミン酸マグネシウム、クロスカルメロースナトリウム、ステアリン酸マグネシウム、ヒプロメロース、酸化チタン、タルク

アジスロマイシン錠500mg「トーワ」

有効成分1錠中  
日局 アジスロマイシン水和物
   524.0mg
(アジスロマイシンとして   500mg(力価) )
添加剤結晶セルロース、ヒドロキシプロピルセルロース、メタケイ酸アルミン酸マグネシウム、クロスカルメロースナトリウム、ステアリン酸マグネシウム、ヒプロメロース、酸化チタン、タルク

3.2 製剤の性状

アジスロマイシン錠250mg「トーワ」

剤形フィルムコーティング錠
色調白色
外形表面
裏面
側面
大きさ長径12.6mm
短径6.4mm
厚さ4.9mm
質量298mg
識別コードTw718

アジスロマイシン錠500mg「トーワ」

剤形フィルムコーティング錠
色調白色
外形表面
裏面
側面
大きさ長径15.7mm
短径7.9mm
厚さ6.4mm
質量592mg
識別コードTw719

4. 効能又は効果

  • 〈アジスロマイシン錠250mg「トーワ」〉
  • [適応菌種]

    アジスロマイシンに感性のブドウ球菌属、レンサ球菌属、肺炎球菌、淋菌、モラクセラ(ブランハメラ)・カタラーリス、インフルエンザ菌、レジオネラ・ニューモフィラ、ペプトストレプトコッカス属、プレボテラ属、クラミジア属、マイコプラズマ属

  • [適応症]

    深在性皮膚感染症、リンパ管・リンパ節炎、咽頭・喉頭炎、扁桃炎(扁桃周囲炎、扁桃周囲膿瘍を含む)、急性気管支炎、肺炎、肺膿瘍、慢性呼吸器病変の二次感染、尿道炎、子宮頸管炎、骨盤内炎症性疾患、副鼻腔炎、歯周組織炎、歯冠周囲炎、顎炎

  • 〈アジスロマイシン錠500mg「トーワ」〉
  • [適応菌種]

    アジスロマイシンに感性のブドウ球菌属、レンサ球菌属、肺炎球菌、モラクセラ(ブランハメラ)・カタラーリス、インフルエンザ菌、ペプトストレプトコッカス属、レジオネラ・ニューモフィラ、クラミジア属、マイコプラズマ属

  • [適応症]

    深在性皮膚感染症、リンパ管・リンパ節炎、咽頭・喉頭炎、扁桃炎(扁桃周囲炎、扁桃周囲膿瘍を含む)、急性気管支炎、肺炎、肺膿瘍、慢性呼吸器病変の二次感染、尿道炎、子宮頸管炎、副鼻腔炎、歯周組織炎、歯冠周囲炎、顎炎

5. 効能又は効果に関連する注意

  • 〈骨盤内炎症性疾患〉
    1. 5.1 淋菌を適応菌種とするのは、骨盤内炎症性疾患の適応症に限る。
  • 〈咽頭・喉頭炎、扁桃炎(扁桃周囲炎、扁桃周囲膿瘍を含む)、急性気管支炎、副鼻腔炎〉
    1. 5.2 「抗微生物薬適正使用の手引き」1)を参照し、抗菌薬投与の必要性を判断した上で、本剤の投与が適切と判断される場合に投与すること。
  • 〈肺炎〉
    1. 5.3 症状に応じてアジスロマイシン注射剤から治療を開始する必要性を判断すること。,

6. 用法及び用量

  • 〈アジスロマイシン錠250mg「トーワ」〉
  • [深在性皮膚感染症、リンパ管・リンパ節炎、咽頭・喉頭炎、扁桃炎(扁桃周囲炎、扁桃周囲膿瘍を含む)、急性気管支炎、肺炎、肺膿瘍、慢性呼吸器病変の二次感染、副鼻腔炎、歯周組織炎、歯冠周囲炎、顎炎]

    成人にはアジスロマイシンとして、500mg(力価)を1日1回、3日間合計1.5g(力価)を経口投与する。

  • [尿道炎、子宮頸管炎]

    成人にはアジスロマイシンとして、1000mg(力価)を1回経口投与する。

  • [骨盤内炎症性疾患]

    成人にはアジスロマイシン注射剤による治療を行った後、アジスロマイシンとして250mg(力価)を1日1回経口投与する。

  • 〈アジスロマイシン錠500mg「トーワ」〉

    成人にはアジスロマイシンとして、500mg(力価)を1日1回、3日間合計1.5g(力価)を経口投与する。

    尿道炎、子宮頸管炎に対しては、成人にはアジスロマイシンとして、1000mg(力価)を1回経口投与する。

7. 用法及び用量に関連する注意

  • 〈深在性皮膚感染症、リンパ管・リンパ節炎、咽頭・喉頭炎、扁桃炎(扁桃周囲炎、扁桃周囲膿瘍を含む)、急性気管支炎、肺膿瘍、慢性呼吸器病変の二次感染、副鼻腔炎、歯周組織炎、歯冠周囲炎、顎炎〉
    1. 7.1 本剤で治療を開始し、4日目以降においても臨床症状が不変もしくは悪化の場合には、医師の判断で適切な他の薬剤に変更すること。
    2. 7.2 外国の臨床における体内動態試験の成績から、本剤500mg(力価)を1日1回3日間経口投与することにより、感受性菌に対して有効な組織内濃度が約7日間持続することが予測されているので、治療に必要な投与期間は3日間とする。
  • 〈尿道炎、子宮頸管炎〉
    1. 7.3 本剤投与開始後2~4週間は経過を観察し、効果を判定すること。細菌学的検査結果又は臨床症状から効果が認められない場合には医師の判断で適切な他の薬剤に変更すること。
    2. 7.4 本剤1000mg(力価)を1回経口投与することにより、アジスロマイシン感性のトラコーマクラミジア(クラミジア・トラコマティス)に対して有効な組織内濃度が約10日間持続することが予測されているので、治療に必要な投与回数は1回とする。
  • 〈肺炎〉
    1. 7.5 本剤で治療を開始し、4日目以降においても臨床症状が不変もしくは悪化の場合には、医師の判断で適切な他の薬剤に変更すること。
    2. 7.6 アジスロマイシン注射剤から本剤に切り替える場合は、症状に応じて投与期間を変更することができる。,,
    3. 7.7 アジスロマイシン注射剤から本剤へ切り替え、総投与期間が10日を超える場合は、経過観察を十分に行うこと。アジスロマイシン注射剤からアジスロマイシン錠へ切り替えた臨床試験は、医師が経口投与可能と判断した時点で、アジスロマイシン注射剤からアジスロマイシン錠500mg(力価)を1日1回投与に切り替え、アジスロマイシン注射剤の投与期間は2~5日間、総投与期間は合計7~10日間で実施され、総投与期間として10日間を超える投与経験は少ない。,,
    4. 7.8 レジオネラ・ニューモフィラに対して、アジスロマイシン注射剤による治療を実施せずに本剤のみで治療した場合の有効性及び安全性は確立していない(投与経験が少ない)。
  • 〈骨盤内炎症性疾患〉
    1. 7.9 アジスロマイシン注射剤から本剤へ切り替え、総投与期間が10日を超える場合は、経過観察を十分に行うこと。アジスロマイシン注射剤からアジスロマイシン錠へ切り替えた臨床試験は、医師が経口投与可能と判断した時点で、アジスロマイシン注射剤からアジスロマイシン錠250mg(力価)を1日1回投与に切り替え、アジスロマイシン注射剤の投与期間は1~2日間、総投与期間は合計7日間で実施され、総投与期間として7日間を超える投与経験はない。
    2. 7.10 アジスロマイシン注射剤による治療を実施せずに本剤のみで治療した場合の有効性及び安全性は確立していない(投与経験はない)。

8. 重要な基本的注意

  1. 8.1 本剤の使用にあたっては、耐性菌の発現等を防ぐため、原則として感受性を確認すること。
  2. 8.2 アナフィラキシー・ショックがあらわれるおそれがあるので、アレルギー既往歴、薬物過敏症等について十分な問診を行うこと。
  3. 8.3 本剤の使用にあたっては、事前に患者に対して、次の点を指導すること。
    • 中毒性表皮壊死融解症、皮膚粘膜眼症候群が疑われる症状[発疹に加え、粘膜(口唇、眼、外陰部)のびらんあるいは水ぶくれ等の症状]があらわれた場合には、服用を中止し、ただちに医師に連絡すること。
    • 服用終了後においても上記症状があらわれることがあるので、症状があらわれた場合にはただちに医師に連絡すること。
  4. 8.4 意識障害等があらわれることがあるので、自動車の運転等、危険を伴う機械の操作に従事する際には注意するよう患者に十分に説明すること。
  5. 8.5 アジスロマイシンは組織内半減期が長いことから、投与終了数日後においても副作用が発現する可能性があるので、観察を十分に行うなど注意すること。

9. 特定の背景を有する患者に関する注意

9.1 合併症・既往歴等のある患者

  1. 9.1.1 他のマクロライド系又はケトライド系薬剤に対し過敏症の既往歴のある患者
  2. 9.1.2 心疾患のある患者

    QT延長、心室性頻脈(Torsade de pointesを含む)を起こすことがある。

9.3 肝機能障害患者

  1. 9.3.1 高度な肝機能障害のある患者

    投与量並びに投与間隔に留意するなど慎重に投与すること。肝機能を悪化させるおそれがある。

9.5 妊婦

妊婦又は妊娠している可能性のある女性には、治療上の有益性が危険性を上回ると判断される場合にのみ投与すること。

9.6 授乳婦

治療上の有益性及び母乳栄養の有益性を考慮し、授乳の継続又は中止を検討すること。ヒト母乳中に移行することが報告されている2),3),4)

9.7 小児等

  1. 9.7.1 低出生体重児、新生児を対象とした臨床試験は実施していない。
  2. 9.7.2 白血球数減少が認められることがあるので、顆粒球数(好中球数)減少も合わせて十分観察を行い、異常が認められた場合には投与を中止し、必要があれば、他の抗菌薬に切り替えた上、症状に応じて対症療法等の適切な処置を行うこと。承認時に、小児で白血球数減少が認められたのは442例中33例で、このうち9例において好中球数が1000/mm3以下に減少した。白血球数減少が認められた症例の多くは、投与開始7日後あるいは8日後の検査日において回復がみられた。,
  3. 9.7.3 下痢が認められた場合には症状に応じて投与中止あるいは対症療法等の適切な処置を行うこと。承認時の小児における下痢の発現頻度は、2歳未満(124例中8例)では2歳以上(602例中6例)と比べて高い。
  4. 9.7.4 市販後の自発報告において、小児における興奮の報告が成人に比べて多い傾向が認められている。

9.8 高齢者

患者の一般状態に注意して投与すること。アジスロマイシン経口剤の一般感染症の臨床試験成績から、高齢者において認められた副作用の種類及び副作用発現率は、非高齢者と同様であったが、一般に高齢者では、生理機能が低下しており、血中・組織内濃度が高くなることがある。

10. 相互作用

    10.2 併用注意(併用に注意すること)

    薬剤名等臨床症状・措置方法機序・危険因子

    制酸剤(水酸化マグネシウム、水酸化アルミニウム)

    アジスロマイシンの最高血中濃度低下の報告がある5)

    機序不明

    ワルファリン

    国際標準化プロトロンビン比上昇の報告がある6),7)

    マクロライド系薬剤はワルファリンの肝臓における主たる代謝酵素であるチトクロームP450を阻害するので、ワルファリンの作用が増強することがあるが、アジスロマイシンでの機序の詳細は明らかではない。

    シクロスポリン

    シクロスポリンの最高血中濃度の上昇及び血中濃度半減期の延長の報告がある8)

    マクロライド系薬剤はシクロスポリンの主たる代謝酵素であるチトクロームP450を阻害するので、シクロスポリンの血中濃度が上昇することがあるが、アジスロマイシンでの機序の詳細は明らかではない。

    ネルフィナビル

    アジスロマイシン錠の1200mg投与で、アジスロマイシンの濃度・時間曲線下面積(AUC)及び平均最高血中濃度の上昇の報告がある9)

    機序不明

    ジゴキシン

    アジスロマイシンとの併用により、ジゴキシン中毒の発現リスク上昇の報告がある10)

    P-糖蛋白質を介したジゴキシンの輸送が阻害されることにより、ジゴキシンの血中濃度が上昇することを示唆した報告があるが、アジスロマイシンでの機序の詳細は明らかではない。

    ベネトクラクス

    ベネトクラクスの効果が減弱するおそれがあるので、併用を避けることが望ましい。

    機序は不明であるが、ベネトクラクスの血中濃度が低下する可能性がある。

    11. 副作用

    次の副作用があらわれることがあるので、観察を十分に行い、異常が認められた場合には投与を中止するなど適切な処置を行うこと。

    11.1 重大な副作用

    1. 11.1.1 ショック(頻度不明)、アナフィラキシー(頻度不明)

      呼吸困難、喘鳴、血管浮腫等を起こすことがある。また、アジスロマイシンは組織内半減期が長いことから、これらの副作用の治療中止後に再発する可能性があるので注意すること。

    2. 11.1.2 中毒性表皮壊死融解症(Toxic Epidermal Necrolysis:TEN)(頻度不明)、皮膚粘膜眼症候群(Stevens-Johnson症候群)(頻度不明)、急性汎発性発疹性膿疱症(頻度不明)

      異常が認められた場合には投与を中止し、副腎皮質ホルモン剤の投与等の適切な処置を行うこと。これらの副作用はアジスロマイシンの投与中又は投与終了後1週間以内に発現しているので、投与終了後も注意すること。また、アジスロマイシンは組織内半減期が長いことから、これらの副作用の治療中止後に再発する可能性があるので注意すること。

    3. 11.1.3 薬剤性過敏症症候群(頻度不明)

      初期症状として発疹、発熱がみられ、更に肝機能障害、リンパ節腫脹、白血球増加、好酸球増多、異型リンパ球出現等を伴う遅発性の重篤な過敏症状があらわれることがある。なお、ヒトヘルペスウイルス6(HHV-6)等のウイルスの再活性化を伴うことが多く、投与中止後も発疹、発熱、肝機能障害等の症状が再燃あるいは遷延化することがあるので注意すること11)

    4. 11.1.4 肝炎(頻度不明)、肝機能障害(頻度不明)、黄疸(頻度不明)、肝不全(頻度不明)
    5. 11.1.5 急性腎障害(頻度不明)

      乏尿等の症状や血中クレアチニン値上昇等の腎機能低下所見が認められた場合には、投与を中止し、適切な処置を行うこと。

    6. 11.1.6 偽膜性大腸炎(頻度不明)、出血性大腸炎(頻度不明)

      偽膜性大腸炎、出血性大腸炎等の重篤な大腸炎があらわれることがあるので、腹痛、頻回の下痢、血便等があらわれた場合にはただちに投与を中止し、適切な処置を行うこと。

    7. 11.1.7 間質性肺炎(頻度不明)、好酸球性肺炎(頻度不明)

      発熱、咳嗽、呼吸困難、胸部X線異常、好酸球増多等を伴う間質性肺炎、好酸球性肺炎があらわれることがあるので、このような症状があらわれた場合には投与を中止し、副腎皮質ホルモン剤の投与等の適切な処置を行うこと。

    8. 11.1.8 QT延長(頻度不明)、心室性頻脈(Torsade de pointesを含む)(頻度不明)

      QT延長等の心疾患のある患者には特に注意すること。

    9. 11.1.9 白血球減少(頻度不明)、顆粒球減少(頻度不明)、血小板減少(頻度不明)

    10. 11.1.10 横紋筋融解症(頻度不明)

      筋肉痛、脱力感、CK上昇、血中及び尿中ミオグロビン上昇等があらわれた場合には、投与を中止し、適切な処置を行うこと。また、横紋筋融解症による急性腎障害の発症に注意すること。

    11.2 その他の副作用

    1%以上a)

    0.1~1%未満a)

    0.1%未満a)

    頻度不明

    皮膚

    発疹、蕁麻疹、そう痒症

    アトピー性皮膚炎増悪

    光線過敏性反応、紅斑、水疱、皮膚剥離、多形紅斑、寝汗、多汗症、皮膚乾燥、皮膚変色、脱毛

    血液

    好酸球数増加

    白血球数減少b)

    血小板数増加、好塩基球数増加、顆粒球数減少b)、プロトロンビン時間延長、血小板数減少

    貧血、リンパ球数減少、ヘモグロビン減少、白血球数増加

    血管障害

    血栓性静脈炎

    潮紅

    循環器

    血圧低下、動悸、血圧上昇

    肝臓

    ALT増加

    AST増加、ALP増加、γ-GTP増加、LDH増加、肝機能検査異常

    血中ビリルビン増加

    腎臓

    BUN増加、尿中蛋白陽性

    クレアチニン増加、腎臓痛、排尿困難、尿潜血陽性、頻尿

    消化器

    下痢c)

    腹痛、悪心、嘔吐、腹部不快感、腹部膨満

    便秘、口内炎、消化不良、食欲不振、鼓腸放屁、口唇のあれ、黒毛舌、舌炎、舌苔、腹鳴

    舌変色、口・舌のしびれ感、おくび、胃炎、口内乾燥、唾液増加、膵炎、アフタ性口内炎、口腔内不快感、消化管障害、口唇炎

    精神・神経系

    頭痛、めまい、灼熱感、傾眠、味覚異常、感覚鈍麻、不眠症

    失神、痙攣、振戦、激越d)、嗅覚異常、無嗅覚、神経過敏、不安、錯感覚、攻撃性

    感染症

    カンジダ症

    胃腸炎

    真菌感染、咽頭炎、皮膚感染、肺炎、β溶血性レンサ球菌感染、膣炎

    結膜炎、眼瞼浮腫、霧視、ぶどう膜炎、眼痛、視力障害

    筋骨格系

    筋肉痛、関節痛、頚部痛、背部痛、四肢痛、関節腫脹

    呼吸器

    咳嗽、呼吸困難、嗄声

    鼻出血、アレルギー性鼻炎、くしゃみ、ラ音、気管障害、低音性連続性ラ音、鼻部障害、鼻閉、鼻漏、羊鳴性気管支音、痰貯留

    耳痛、難聴、耳鳴、聴力低下、耳の障害

    生殖器

    卵巣嚢腫

    精巣痛、不正子宮出血

    代謝

    血中カリウム減少、血中カリウム増加

    脱水、血中重炭酸塩減少、低カリウム血症

    注入部位

    疼痛

    血管外漏出、紅斑

    その他

    発熱、口渇、気分不良、倦怠感、浮遊感

    胸痛、無力症、浮腫、低体温、不整脈、咽喉頭異物感、局所腫脹、粘膜異常感覚、疼痛、疲労

    a)250mg錠、カプセル、細粒の承認時の臨床試験と市販後の使用成績調査及び注射剤の承認時の臨床試験を合わせた発現頻度。
    b)
    c)
    d)

    13. 過量投与

    1. 13.1 症状

      本剤の過量投与により聴力障害を起こす可能性がある。

    14. 適用上の注意

    14.1 薬剤交付時の注意

    PTP包装の薬剤はPTPシートから取り出して服用するよう指導すること。PTPシートの誤飲により、硬い鋭角部が食道粘膜へ刺入し、更には穿孔をおこして縦隔洞炎等の重篤な合併症を併発することがある。

    15. その他の注意

    15.1 臨床使用に基づく情報

    アジスロマイシンとの因果関係は不明だが、心悸亢進、間質性腎炎、肝壊死、運動亢進があらわれたとの報告がある。

    15.2 非臨床試験に基づく情報

    1. 15.2.1 ラットの受胎能及び一般生殖能試験(雄2ヵ月以上、雌2週間以上投与)で、20mg/kg投与の雄雌に受胎率の低下が認められた12)
    2. 15.2.2 動物(ラット、イヌ)に20~100mg/kgを1~6ヵ月間反復投与した場合に様々な組織(眼球網膜、肝臓、肺臓、胆嚢、腎臓、脾臓、脈絡叢、末梢神経等)にリン脂質空胞形成がみられたが、投薬中止後消失することが確認されている13),14),15),16),17),18)。なお、リン脂質空胞はアジスロマイシン-リン脂質複合体を形成することによる組織像と解釈され、その毒性学的意義は低い。

    16. 薬物動態

    16.1 血中濃度

    1. 16.1.1 *単回投与

      *健常成人男子6名にアジスロマイシン錠250、500及び1000mg(力価)を単回経口投与したときの薬物動態パラメータを表に示す。19)

      表 単回経口投与後の薬物動態パラメータ
      (平均値±標準偏差、N=6/群)

      投与量
      (mg)

      tmax
      (h)

      Cmax
      (μg/mL)

      t1/2a)
      (h)

      AUC0-48
      (μg・h/mL)

      AUC0-168
      (μg・h/mL)

      250

      2.7±0.8

      0.24±0.12

      NA

      1.73±0.39

      NA

      500

      2.5±0.8

      0.58±0.11

      61.9±9.4

      3.32±0.46

      4.41±0.48

      1000

      2.3±0.8

      0.74±0.14

      68.1±12.4

      7.29±1.16

      10.51±1.72

      NA:算出せず

      a)投与後48~168hのt1/2

    2. 16.1.2 *反復投与

      *健常成人男子6名にアジスロマイシン錠250及び500mg(力価)を1日1回3日間反復経口投与した場合、初回投与及び最終投与後の血清中濃度に差はみられず、蓄積は認められなかった。19)

    3. 16.1.3 *生物学的同等性試験
      • *〈アジスロマイシン錠500mg「トーワ」〉

        *アジスロマイシン錠500mg「トーワ」1錠とジスロマック錠250mg2錠(アジスロマイシンとして500mg)をクロスオーバー法により健康成人男子に絶食単回経口投与して血漿中未変化体濃度を測定し、得られた薬物動態パラメータ(AUC、Cmax)について90%信頼区間法にて統計解析を行った結果、log(0.80)~log(1.25)の範囲内であり、両剤の生物学的同等性が確認された。20)

        • 表 薬物動態パラメータ
          (平均値±標準偏差、n=39)

          製剤投与量
          (アジスロマイシン
          として)

          判定パラメータ

          参考パラメータ

          AUC0-72
          (ng・hr/mL)

          Cmax
          (ng/mL)

          tmax
          (hr)

          t1/2
          (hr)

          アジスロマイシン錠
          500mg「トーワ」

          1錠
          (500mg)

          3606±983

          472.7±222.7

          2.13±0.83

          36.15±11.09

          ジスロマック錠250mg

          2錠
          (500mg)

          3805±910

          467.8±169.0

          2.49±0.97

          37.64±16.86

          血漿中濃度並びにAUC、Cmax等のパラメータは、被験者の選択、体液の採取回数・時間等の試験条件によって異なる可能性がある。

    16.2 吸収

    1. 16.2.1 *食事の影響

      *健常成人男子8名にアジスロマイシン錠500mg(力価)をクロスオーバー法により、空腹時又は食後に単回経口投与した場合の体内動態パラメータには有意差は認められず、アジスロマイシンの吸収に及ぼす食事の影響はないものと考えられる。21)

    16.3 分布

    1. 16.3.1 *組織内濃度

      *手術予定患者にアジスロマイシン経口剤500mg(力価)を経口投与した際の投与後12時間~8日目の各種組織内濃度の検討では、いずれの組織においても、血清中濃度が消失後も数日にわたって高い組織内濃度が維持された(外国人データ)。22)
      なお、アジスロマイシンのヒトにおける全身クリアランス及び分布容積はそれぞれ10mL/min/kg及び33.3L/kgと報告されており、分布容積が大きく、組織へ移行しやすいことが示されている。23)

    2. 16.3.2 *アジスロマイシンはヒト多形核白血球及びマウスマクロファージ等の食細胞への良好な移行が認められた。24)
      アジスロマイシンが移行した食細胞が感染組織に遊走することにより、感染組織では非感染組織に比べて高い薬剤濃度が得られることが動物(マウス)試験で認められている。25)
    3. 16.3.3 *血清蛋白結合率

      *アジスロマイシンのヒト血清蛋白との結合率は12.2~20.3%(in vivo、超遠心法)であった。26)

    16.4 代謝

    *アジスロマイシンのチトクロームP450による代謝は確認されていない。27)

    16.5 排泄

    1. 16.5.1 *健常成人男子6名にアジスロマイシン錠500mg(力価)を単回経口投与したとき、投与後168時間までの尿中に未変化体として投与量の9%が排泄された。19)
      健常成人男子の尿及び患者の胆汁中代謝物について検討した結果、いずれもほとんどは未変化体で、代謝物として脱メチル体、脱クラジノース体が確認された。アジスロマイシンは胆汁、消化管分泌を介して、未変化体としてほとんど糞中に排泄される。28),29)
    2. 16.5.2 *ラットに14C-標識アジスロマイシン20mg/kgを単回経口投与したとき、投与後168時間までに投与量の80.3%が糞中に、13.3%が尿中に排泄され、また投与後72時間までに投与量の3.1%が呼気中に排泄された。29)

    16.6 特定の背景を有する患者

    1. 16.6.1 *肝機能障害患者

      *軽度及び中等度の肝機能障害患者(成人)16例にアジスロマイシンカプセル1)500mg(力価)を単回経口投与したとき、健常成人に比べて、Cmaxが増加し、t1/2が延長する傾向が認められたが、有意差は認められなかった。また尿中排泄率においても有意差は認められなかった(外国人データ)。30)

      1) 国内で承認されている成人用製剤は錠剤及び注射剤である。

    2. 16.6.2 *腎機能障害患者

      *腎機能障害患者(成人)17例にアジスロマイシン錠500mg(力価)を単回経口投与したとき、アジスロマイシンの体内動態は健常成人と有意差は認められなかった。31),32)

    16.7 薬物相互作用

    1. 16.7.1 *他のマクロライド系薬剤において、下記薬剤による相互作用が報告されている。27)
      • *(1)テオフィリン、ミダゾラム、トリアゾラム、カルバマゼピン、フェニトイン

        *これらの薬剤の血中濃度が上昇し、作用が増強されるおそれがある。

      • *(2)エルゴタミン含有製剤

        *四肢の虚血を起こすことがある。

    2. 16.7.2 *他の抗菌剤との相互作用

      *アジスロマイシンと他の抗菌剤との相互作用に関しては、これまでの国内又は外国における臨床試験成績から、マクロライド系、ペニシリン系、キノロン系、テトラサイクリン系、セフェム系及びカルバペネム系抗菌剤との間で相互作用によると考えられる有害事象の報告はない。33),,

    16.8 その他

    • *〈アジスロマイシン錠250mg「トーワ」〉

      *アジスロマイシン錠250mg「トーワ」は、アジスロマイシン錠500mg「トーワ」を標準製剤としたとき、溶出挙動が同等と判断され、生物学的に同等とみなされた。20)

    17. 臨床成績

    17.1 有効性及び安全性に関する試験

    • *アジスロマイシン経口剤投与のみの成績
    • *〈皮膚科感染症〉
      1. 17.1.1 *国内第Ⅱ相/第Ⅲ相試験

        *浅在性化膿性疾患(せつ、せつ腫症、よう、丹毒、蜂巣炎、リンパ管(節)炎、ひょう疽、化膿性爪囲炎)に対する有効率は91.8%(67/73)であった。34),35),36)

      2. 17.1.2 *国内第Ⅲ相試験

        *二重盲検比較試験で浅在性化膿性疾患に対するアジスロマイシン錠の有効性が確認された。35)

    • *〈呼吸器感染症〉
      1. 17.1.3 *国内第Ⅱ相/第Ⅲ相及び海外二重盲検比較試験

        *呼吸器感染症(咽喉頭炎、急性気管支炎、扁桃炎(扁桃周囲炎、扁桃周囲膿瘍)、慢性気管支炎、気管支拡張症(感染時)、慢性呼吸器疾患の二次感染、肺炎、肺化膿症、マイコプラズマ肺炎)に対する有効率は97.6%(373/382)であった。また、二重盲検比較試験で肺炎、慢性気道感染症に対するアジスロマイシン錠の有効性が確認された。36),37),38),39),40)

    • *〈耳鼻科領域感染症(副鼻腔炎)〉
      1. 17.1.4 *海外オープン比較試験

        *耳鼻科領域感染症(副鼻腔炎)に対する有効率は100%(36/36)であった。41)

    • *〈歯科・口腔外科領域感染症(歯周組織炎、歯冠周囲炎、顎炎)〉
      1. 17.1.5 *国内第Ⅲ相試験

        *歯科・口腔外科領域感染症(歯周組織炎、歯冠周囲炎、顎炎)に対する有効率は85.9%(73/85)であった。また、二重盲検比較試験で歯科・口腔外科領域感染症に対するアジスロマイシン錠の有効性が確認された。42)

    • *〈クラミジア・トラコマティスによる性感染症(尿道炎、子宮頸管炎)〉
      1. 17.1.6 *国内第Ⅲ相試験

        *クラミジア・トラコマティスによる尿道炎、子宮頸管炎に対するアジスロマイシン錠1,000mg(力価)1回投与の有効率(PCR法による陰性化率)は主判定時期である投与開始15日目では86.7%(98/113)であった。また、副判定時期である投与開始29日目では90.7%(98/108)であった。43)

    • *アジスロマイシン注射剤からアジスロマイシン経口剤へ切り替えた(スイッチ療法)場合の成績
    • *〈呼吸器感染症(肺炎)〉
      1. 17.1.7 *国内第Ⅲ相試験

        *呼吸器感染症(肺炎)に対する非対照試験において、アジスロマイシン注射剤500mgを1日1回、2~5日間点滴静注した後、アジスロマイシン錠500mg(力価)を1日1回経口投与した。注射剤と経口剤の総投与期間は合計7~10日間とした。注射剤から経口剤への切り替えは、被験者の状態で医師が判断した。投与開始15日目の有効率は84.5%(60/71)であった。本試験で原因菌として分離同定された肺炎球菌はすべてアジスロマイシンに対する感受性は低かったが(MIC≧2μg/mL)、11例のうち10例が有効例であった。

        表 肺炎球菌のアジスロマイシン感受性別、MIC別の臨床効果(投与開始15日目)

        n/Na)有効率(%)

        感受性別:

        • 耐性(MIC≧2μg/mL)

        10/11(90.9)

        • MIC不明

        2/3(66.7)

        MIC別:

        • MIC=4μg/mL

        1/1(100)

        • MIC=8μg/mL

        0/1(0)

        • MIC=16μg/mL

        3/3(100)

        • MIC>64μg/mL

        6/6(100)

        a)n=有効の例数、N=評価例数から判定不能を除いた例数
        有効率はn/N×100から算出した。

        *本試験で報告された主な副作用は下痢14.7%(15/102)、注射部位疼痛5.9%(6/102)であった。44),

      1. 17.1.8 *海外第Ⅲ相試験

        *呼吸器感染症(肺炎)に対する無作為化比較試験において、アジスロマイシン注射剤500mgを1日1回、2~5日間点滴静注した後、アジスロマイシンカプセル2)500mg(力価)を1日1回経口投与した。注射剤と経口剤の総投与期間は合計7~10日間とした。注射剤から経口剤への切り替えは、被験者の状態で医師が判断した。
        投与終了10~14日目における有効率は77.4%(106/137)であった。
        本試験で報告された主な副作用は注射部位疼痛及び下痢 各5.4%(各11/202)、注射部位感染/炎症3.5%(7/202)であった。45),

        *

        2) 国内で承認されている成人用製剤は錠剤及び注射剤である。

    • *〈骨盤内炎症性疾患〉
      1. 17.1.9 *国内第Ⅲ相試験

        *骨盤内炎症性疾患を対象とした臨床試験(詳細診断名:肝周囲炎、骨盤腹膜炎、ダグラス窩膿瘍、子宮内感染、子宮付属器炎)では、アジスロマイシン注射剤500mgを1日1回、1~2日間点滴静注した後、アジスロマイシン錠を250mg(力価)1日1回経口投与した。注射剤と経口剤の総投与期間は合計7日間とした。注射剤から経口剤への切り替えは、被験者の状態で医師が判断した。
        投与開始15日目の有効率は94.1%(48/51)であった。主な原因菌であるクラミジア・トラコマティス及び淋菌に対する臨床効果(有効率)及び細菌学的効果(菌消失率)は、それぞれ、100%(12/12、6/6及び11/11、6/6)であった。
        本試験で報告された主な副作用は下痢11.8%(9/76)、注射部位疼痛及び悪心 各5.3%(4/76)であった。46)

    18. 薬効薬理

    18.1 作用機序

    *細菌の70Sリボソームの50Sサブユニットと結合し、蛋白合成を阻害する。47)

    18.2 *抗菌作用

    1. 18.2.1 *In vitroにおいて、ブドウ球菌属、レンサ球菌属等のグラム陽性菌、モラクセラ(ブランハメラ)・カタラーリス、インフルエンザ菌、淋菌、プレボテラ属等の一部グラム陰性菌、レジオネラ・ニューモフィラ、ペプトストレプトコッカス属、マイコプラズマ属、クラミジア属に抗菌作用を示し、その作用は他のマクロライド系抗生物質と同程度であった。48),49),50),51),52),53),54),55),56),57),58),59),60)
    2. 18.2.2 *In vitro及びin vivo(マウス、ハムスター)において、黄色ブドウ球菌、肺炎球菌、インフルエンザ菌等の各種細菌を用いた感染症モデルで、アジスロマイシンの良好な組織移行性を反映し、従来のマクロライド系抗生物質よりも強い防御効果及び治療効果を示した。49),52),53),61),62)
    3. 18.2.3 *黄色ブドウ球菌及びインフルエンザ菌に対して、1MIC以上の薬剤濃度で殺菌的な作用を示した。48),49)

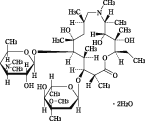
    19. 有効成分に関する理化学的知見

    一般的名称

    アジスロマイシン水和物(Azithromycin Hydrate)

    化学名

    (2R,3S,4S,5R,6R,8R,11R,12R,13S,14R)-5-(3,4,6-Trideoxy-3-dimethylamino-β-D-xylo-hexopyranosyloxy)-3-(2,6-dideoxy-3-C-methyl-3-O-methyl-α-L-ribo-hexopyranosyloxy)-10-aza-6,12,13-trihydroxy-2,4,6,8,10,11,13-heptamethylhexadecan-14-olide dihydrate

    分子式

    C38H72N2O12・2H2O

    分子量

    785.02

    性状

    白色の結晶性の粉末である。メタノール又はエタノール(99.5)に溶けやすく、水にほとんど溶けない。

    化学構造式

    力価

    アジスロマイシン水和物の力価は、アジスロマイシン(C38H72N2O12:748.98)としての量を質量(力価)で示す。

    22. 包装

    • 〈アジスロマイシン錠250mg「トーワ」〉

      60錠[6錠×10:PTP]

      60錠[6錠×10:PTP(患者さん用パッケージ)]

    • 〈アジスロマイシン錠500mg「トーワ」〉

      30錠[3錠×10:PTP]

      30錠[3錠×10:PTP(患者さん用パッケージ)]

    23. 主要文献

    1) *厚生労働省健康局結核感染症課編:抗微生物薬適正使用の手引き

    2) *Kelsey,J.et al.:Am J Obstet Gynecol.1994;170(5-1):1375-1376

    3) *Salman,S.et al.:Antimicrob Agents Chemother.2015;60(3):1592-1599

    4) *Sutton,AL.et al.:Am J Obstet Gynecol.2015;212(6):812,e1-e6

    5) *Foulds,G.et al.:J Clin Pharmacol.1991;31(2):164-167

    6) *Woldtvedt,B.R.et al.:Ann Pharmacother.1998;32(2):269-270

    7) *Lane,G.:Ann Pharmacother.1996;30(7/8):884-885

    8) *シクロスポリンとの薬物相互作用(ジスロマック錠/カプセル小児用/細粒小児用:2000年3月10日承認、申請資料概要ヘ.3.1.4)

    9) *Amsden,G.W.et al.:J Clin Pharmacol.2000;40(12-2):1522-1527

    10) *Gomes,T.et al.:Clin Pharmacol Ther.2009;86(4):383-386

    11) *厚生労働省:重篤副作用疾患別対応マニュアル 薬剤性過敏症症候群

    12) *ラット受胎能及び一般生殖能試験(ジスロマック錠/カプセル小児用/細粒小児用:2000年3月10日承認、申請資料概要ニ.3.1)

    13) *ラット経口1ヵ月毒性試験(ジスロマック錠/カプセル小児用/細粒小児用:2000年3月10日承認、申請資料概要ニ.2.1)

    14) *イヌ経口1ヵ月毒性試験(ジスロマック錠/カプセル小児用/細粒小児用:2000年3月10日承認、申請資料概要ニ.2.2)

    15) *ラット経口6ヵ月毒性試験(ジスロマック錠/カプセル小児用/細粒小児用:2000年3月10日承認、申請資料概要ニ.2.3)

    16) *イヌ経口6ヵ月毒性試験(ジスロマック錠/カプセル小児用/細粒小児用:2000年3月10日承認、申請資料概要ニ.2.4.1)

    17) *イヌ経口6ヵ月毒性試験及び回復性試験(ジスロマック錠/カプセル小児用/細粒小児用:2000年3月10日承認、申請資料概要ニ.2.4.2)

    18) *イヌ経口6ヵ月毒性試験(間欠投与)及び回復性試験(ジスロマック錠/カプセル小児用/細粒小児用:2000年3月10日承認、申請資料概要ニ.2.4.3)

    19) *丁 宗鉄ほか:日本化学療法学会雑誌.1995;43(Suppl.6):139-163

    20) *陶 易王ほか:医学と薬学.2013;70(3):583-594

    21) *丁 宗鉄ほか:日本化学療法学会雑誌.1995;43(Suppl.6):177-185

    22) *Foulds,G.et al.:J Antimicrob Chemother.1990;25(Suppl.A):73-82

    23) *Luke,D.R.et al.:Antimicrob Agents Chemother.1996;40(11):2577-2581

    24) *Gladue,R.P.et al.:Antimicrob Agents Chemother.1989;33(3):277-282

    25) *横山 秀一ほか:日本化学療法学会雑誌.1995;43(Suppl.6):122-126

    26) *血清蛋白との結合(ジスロマック錠/カプセル小児用/細粒小児用:2000年3月10日承認、申請資料概要ヘ.2.(4).2))

    27) *使用上の注意(案)及びその設定根拠(ジスロマック錠/カプセル小児用/細粒小児用:2000年3月10日承認、申請資料概要ト.3.(3))

    28) *代謝(ジスロマック錠/カプセル小児用/細粒小児用:2000年3月10日承認、申請資料概要ヘ.3.(1).3))

    29) *排泄(ジスロマック錠/カプセル小児用/細粒小児用:2000年3月10日承認、申請資料概要ヘ.2.(7))

    30) *Mazzei,T.et al.:J Antimicrob Chemother.1993;31(Suppl.E):57-63

    31) *柴 孝也ほか:日本化学療法学会雑誌.1995;43(Suppl.6):186-192

    32) *Höffler,D.et al.:Infection.1995;23(6):356-361

    33) *薬物相互作用(ジスロマック錠/カプセル小児用/細粒小児用:2000年3月10日承認、申請資料概要ヘ.3.(1).4))

    34) *皮膚科領域感染症に対する用量設定試験(ジスロマック錠/カプセル小児用/細粒小児用:2000年3月10日承認、申請資料概要ト.1.(3).2))

    35) *皮膚科領域感染症に対する二重盲検比較試験(ジスロマック錠/カプセル小児用/細粒小児用:2000年3月10日承認、申請資料概要ト.1.(4).3))

    36) *効能・効果及びその設定根拠(ジスロマック錠/カプセル小児用/細粒小児用:2000年3月10日承認、申請資料概要ト.3.(1-1).2))

    37) *レンサ球菌性咽頭炎を対象とした二重盲検比較試験(ジスロマック錠/カプセル小児用/細粒小児用:2000年3月10日承認、申請資料概要ト.1.(7).1))

    38) *後期第Ⅱ相試験肺炎に対する用量設定試験(ジスロマック錠/カプセル小児用/細粒小児用:2000年3月10日承認、申請資料概要ト.1.(3).1))

    39) *肺炎に対する二重盲検比較試験(ジスロマック錠/カプセル小児用/細粒小児用:2000年3月10日承認、申請資料概要ト.1.(4).1))

    40) *慢性気道感染症に対する二重盲検比較試験(ジスロマック錠/カプセル小児用/細粒小児用:2000年3月10日承認、申請資料概要ト.1.(4).2))

    41) *急性副鼻腔炎を対象としたオープン比較試験(ジスロマック錠/カプセル小児用/細粒小児用:2000年3月10日承認、申請資料概要ト.1.(7).2))

    42) *歯科・口腔外科領域感染症に対する二重盲検比較試験(ジスロマック錠/カプセル小児用/細粒小児用:2000年3月10日承認、申請資料概要ト.1.(4).4))

    43) *クラミジア・トラコマティスによる性感染症に対する国内第Ⅲ相二重盲検比較試験(ジスロマック錠:2004年5月21日承認、審査報告書)

    44) *市中肺炎に対する注射剤から経口剤への切り替え療法の非対照試験(A0661191試験)(ジスロマック点滴静注用/錠:2011年7月1日承認、申請資料概要2.7.3.1、2.7.6)

    45) *市中肺炎に対する注射剤から経口剤への切り替え療法の比較試験(93-CE33-0618試験)(ジスロマック点滴静注用/錠:2011年7月1日承認、申請資料概要2.7.3.1、2.7.6)

    46) *骨盤内炎症性疾患に対する注射剤から経口剤への切り替え療法の非対照試験(A0661192試験)(ジスロマック点滴静注用/錠:2012年6月22日承認、申請資料概要2.7.3.3、2.7.6)

    47) *Retsema,J.et al.:Antimicrob Agents Chemother.1987;31(12):1939-1947

    48) *松永 敏幸ほか:日本化学療法学会雑誌.1995;43(Suppl.6):95-99

    49) *松永 敏幸ほか:日本化学療法学会雑誌.1995;43(Suppl.6):68-83

    50) *桒原 京子ほか:日本化学療法学会雑誌.1995;43(Suppl.6):24-30

    51) *加藤 直樹ほか:日本化学療法学会雑誌.1995;43(Suppl.6):31-39

    52) *Ishida,K.et al.:Antimicrob Agents Chemother.1994;38(4):790-798

    53) *Niki,Y.et al.:Antimicrob Agents Chemother.1994;38(10):2296-2299

    54) *Choi,GE.et al.:Korean J Lab Med.2010;30(1):28-33

    55) *小川 美保ほか:Pharma Medica.2006;24(3):109-119

    56) *Mikamo,H.et al.:Chemotherapy.2003;49(1-2):62-65

    57) *Kuriyama,T.et al.:Oral Microbiol Immunol.2007;22(4):285-288

    58) *金子 明寛:日本口腔外科学会雑誌.2010;56(10):546-552

    59) *Waites,KB.et al.:Antimicrob Agents Chemother.2009;53(5):2139-2141

    60) *Hamasuna,R.et al.:Antimicrob Agents Chemother.2009;53(11):4938-4939

    61) *西野 武志ほか:日本化学療法学会雑誌.1995;43(Suppl.6):40-54

    62) *長島 正人ほか:日本化学療法学会雑誌.1995;43(Suppl.6):8-23

    24. 文献請求先及び問い合わせ先

    東和薬品株式会社 学術部DIセンター

    〒570-0081 大阪府守口市日吉町2丁目5番15号

    TEL 0120-108-932 FAX 06-7177-7379

    26. 製造販売業者等

    26.1 製造販売元

    東和薬品株式会社

    大阪府門真市新橋町2番11号

    〒100-0013 東京都千代田区霞が関3-3-2 新霞が関ビル

    画面を閉じる

    Copyright © Pharmaceuticals and Medical Devices Agency, All Rights reserved.