医療用医薬品 詳細表示

アンテベート軟膏0.05%/アンテベートクリーム0.05%/アンテベートローション0.05%

処方せん医薬品以外の医薬品

添付文書番号
企業コード
作成又は改訂年月
日本標準商品分類番号
薬効分類名
承認等
一般的名称
2.禁忌(次の患者には投与しないこと)
3.組成・性状
3.1組成
3.2製剤の性状
4.効能又は効果
5.効能又は効果に関連する注意
6.用法及び用量
8.重要な基本的注意
9.特定の背景を有する患者に関する注意
9.5妊婦
9.7小児等
9.8高齢者
11.副作用
11.1重大な副作用
11.2その他の副作用
14.適用上の注意
16.薬物動態
16.1血中濃度
16.3分布
16.4代謝
16.5排泄
17.臨床成績
17.1有効性及び安全性に関する試験
18.薬効薬理
18.1作用機序
18.2血管収縮作用
18.3抗炎症作用
18.4抗炎症作用と全身作用の分離
19.有効成分に関する理化学的知見
20.取扱い上の注意
22.包装
23.主要文献
24.文献請求先及び問い合わせ先
26.製造販売業者等

アンテベート軟膏0.05%/アンテベートクリーム0.05%/アンテベートローション0.05%

添付文書番号

2646730M1059_1_05

企業コード

480306

作成又は改訂年月

2020年10月改訂(第1版)

日本標準商品分類番号

872646

薬効分類名

外用副腎皮質ホルモン剤

承認等

アンテベート軟膏0.05%

販売名コード

YJコード

2646730M1059

販売名英語表記

ANTEBATE OINTMENT0.05%

販売名ひらがな

あんてべーとなんこう

承認番号等

承認番号

22000AMX02257000

販売開始年月

1993年11月

貯法・有効期間

貯法

室温保存

有効期間

3年

規制区分

劇薬

アンテベートクリーム0.05%

販売名コード

YJコード

2646730N1054

販売名英語表記

ANTEBATE CREAM0.05%

販売名ひらがな

あんてべーとくりーむ

承認番号等

承認番号

22000AMX02254000

販売開始年月

1993年11月

貯法・有効期間

貯法

室温保存

有効期間

3年

規制区分

劇薬

アンテベートローション0.05%

販売名コード

YJコード

2646730Q1026

販売名英語表記

ANTEBATE LOTION0.05%

販売名ひらがな

あんてべーとろーしょん

承認番号等

承認番号

21300AMZ00039000

販売開始年月

2002年7月

貯法・有効期間

貯法

室温保存

有効期間

3年

規制区分

劇薬

一般的名称

ベタメタゾン酪酸エステルプロピオン酸エステル

2. 禁忌(次の患者には投与しないこと)

  1. 2.1 細菌・真菌・スピロヘータ・ウイルス皮膚感染症、及び動物性皮膚疾患(疥癬、けじらみ等)

    [感染症及び動物性皮膚疾患症状を悪化させることがある。]

  2. 2.2 本剤の成分に対して過敏症の既往歴のある患者
  3. 2.3 鼓膜に穿孔のある湿疹性外耳道炎

    [穿孔部位の治癒が遅れるおそれがある。また、感染のおそれがある。]

  4. 2.4 潰瘍(ベーチェット病は除く)、第2度深在性以上の熱傷・凍傷

    [皮膚の再生が抑制され、治癒が著しく遅れるおそれがある。また、感染のおそれがある。]

3. 組成・性状

3.1 組成

アンテベート軟膏0.05%

有効成分ベタメタゾン酪酸エステルプロピオン酸エステル(1g中)   0.5mg(0.05%)
添加剤スクワラン、ゲル化炭化水素、パラフィン、白色ワセリン

アンテベートクリーム0.05%

有効成分ベタメタゾン酪酸エステルプロピオン酸エステル(1g中)   0.5mg(0.05%)
添加剤セタノール、スクワラン、白色ワセリン、セトマクロゴール1000、モノステアリン酸グリセリン、プロピレングリコール、パラオキシ安息香酸メチル、パラオキシ安息香酸プロピル、無水リン酸一水素ナトリウム、クエン酸水和物

アンテベートローション0.05%

有効成分ベタメタゾン酪酸エステルプロピオン酸エステル(1g中)   0.5mg(0.05%)
添加剤オリブ油、セタノール、ステアリン酸、軽質流動パラフィン、メチルポリシロキサン、ポリソルベート60、ソルビタンセスキオレイン酸エステル、カルボキシビニルポリマー、ジイソプロパノールアミン、パラオキシ安息香酸メチル、パラオキシ安息香酸プロピル、プロピレングリコール

3.2 製剤の性状

アンテベート軟膏0.05%

識別コードTO-186O
pH
性状白色の均一な油性の軟膏で、においはないか又はわずかに特異なにおいがある。

アンテベートクリーム0.05%

識別コードTO-186C
pH本品1gに水10mLを加え、激しく振り混ぜて得られる懸濁液のpHは4.8~5.8である。
性状白色の均一なクリームで、においはないか又はわずかに特異なにおいがある。

アンテベートローション0.05%

識別コードTO-186L
pH本品1gに水10mLを加え激しく振り混ぜて得られる懸濁液のpHは5.3~6.3である。
性状白色の全質均等な乳剤性のローション剤で、においはないか又はわずかに特異なにおいがある。

4. 効能又は効果

湿疹・皮膚炎群(手湿疹、進行性指掌角皮症、脂漏性皮膚炎を含む)、乾癬、虫さされ、薬疹・中毒疹、痒疹群(ストロフルス、じん麻疹様苔癬、結節性痒疹を含む)、紅皮症、紅斑症(多形滲出性紅斑、ダリエ遠心性環状紅斑)、ジベル薔薇色粃糠疹、掌蹠膿疱症、扁平紅色苔癬、慢性円板状エリテマトーデス、肉芽腫症(サルコイドーシス、環状肉芽腫)、特発性色素性紫斑(マヨッキー紫斑、シャンバーク病)、円形脱毛症、肥厚性瘢痕・ケロイド、悪性リンパ腫(菌状息肉症を含む)、アミロイド苔癬、水疱症(天疱瘡群、ジューリング疱疹状皮膚炎・水疱性類天疱瘡)

5. 効能又は効果に関連する注意

皮膚感染を伴う湿疹・皮膚炎には使用しないことを原則とするが、やむを得ず使用する必要がある場合には、あらかじめ適切な抗菌剤(全身適用)、抗真菌剤による治療を行うか、又はこれらとの併用を考慮すること。

6. 用法及び用量

通常、1日1~数回、適量を患部に塗布する。

8. 重要な基本的注意

  1. 8.1 大量又は長期にわたる広範囲の使用[とくに密封法(ODT)]により、副腎皮質ステロイド剤を全身投与した場合と同様な症状があらわれることがある。,,,
  2. 8.2 本剤の使用により症状の改善がみられない場合又は症状の悪化をみる場合は使用を中止すること。
  3. 8.3 症状改善後は、できるだけ速やかに使用を中止すること。

9. 特定の背景を有する患者に関する注意

9.5 妊婦

妊婦又は妊娠している可能性のある女性に対しては大量又は長期にわたる広範囲の使用を避けること。ラット・ウサギに皮下投与した動物実験で催奇形作用が報告されている1),2),3),4)

9.7 小児等

長期・大量使用又は密封法(ODT)により発育障害をきたすおそれがある。また、おむつは密封法と同様の作用があるので注意すること。

9.8 高齢者

大量又は長期にわたる広範囲の密封法(ODT)等の使用に際しては特に注意すること。一般に高齢者では副作用があらわれやすい。

11. 副作用

次の副作用があらわれることがあるので、観察を十分に行い、異常が認められた場合には投与を中止するなど適切な処置を行うこと。

11.1 重大な副作用

  1. 11.1.1 眼圧亢進、緑内障、白内障(頻度不明)

    眼瞼皮膚への使用に際しては、眼圧亢進、緑内障、白内障を起こすおそれがある。大量又は長期にわたる広範囲の使用、密封法(ODT)により、緑内障、後嚢下白内障等の症状があらわれるおそれがある。

11.2 その他の副作用

0.1~5%未満

0.1%未満

頻度不明

注意・処置

皮膚の感染症

皮膚の真菌症(カンジダ症、白癬等)、細菌感染症(伝染性膿痂疹、毛嚢炎・癤等)

ウイルス感染症

密封法(ODT)の場合に起こり易い。このような症状があらわれた場合には、適切な抗真菌剤、抗菌剤等を併用し、症状が速やかに改善しない場合には本剤の使用を中止すること。

その他の皮膚症状

ざ瘡(痤瘡様発疹、ステロイド痤瘡等)、ステロイド皮膚(皮膚萎縮、毛細血管拡張、ステロイド潮紅等)

ステロイド酒さ・口囲皮膚炎(口囲、顔面全体に紅斑、丘疹、毛細血管拡張、痂皮、鱗屑を生じる)、紅斑、紫斑、多毛、色素脱失、色素沈着

魚鱗癬様皮膚変化

特に長期連用に際しては注意すること。このような症状があらわれた場合には徐々にその使用を差し控え、副腎皮質ステロイドを含有しない薬剤に切り換えること。

その他の皮膚症状

刺激感、湿疹(発赤、苔癬化、腫脹、糜爛等)

接触皮膚炎、皮膚乾燥、掻痒

過敏症

皮膚の刺激感、発疹等

下垂体・副腎皮質系機能

下垂体・副腎皮質系機能の抑制

大量又は長期にわたる広範囲の使用、密封法(ODT)により、きたすことがあるので注意すること。

14. 適用上の注意

14.1 薬剤交付時の注意

患者に化粧下、ひげそり後などに使用することのないよう注意すること。

14.2 薬剤投与時の注意

眼科用として角膜、結膜には使用しないこと。

16. 薬物動態

16.1 血中濃度

健常成人男子の胸背部に、本剤軟膏5g又は10gを1日14時間3日間密封塗布したとき、塗布期間中血中には2ng/mL前後の未変化体が検出された。

16.3 分布

ラットに3H-標識ベタメタゾン酪酸エステルプロピオン酸エステル軟膏を経皮投与したところ、塗布部の表皮及び真皮中に未変化体が高い割合で存在した(24時間後73%及び79%)。
また、組織内放射能濃度は投与後8時間から24時間に最高値を示し、肝、腎、副腎及び膀胱に高濃度認められた5),6)

16.4 代謝

健常成人男子の胸背部に、本剤軟膏5g又は10gを1日14時間3日間密封塗布したとき、血中の未変化体は6β-ヒドロキシベタメタゾン17-ブチレート、6β-ヒドロキシベタメタゾンなどに代謝された。

16.5 排泄

健常成人男子の胸背部に、本剤軟膏5g又は10gを1日14時間3日間密封塗布したとき、血中の未変化体は6β-ヒドロキシベタメタゾン17-ブチレート、6β-ヒドロキシベタメタゾンなどに代謝され速やかに尿中へ排泄された。

17. 臨床成績

17.1 有効性及び安全性に関する試験

アンテベート軟膏、アンテベートクリームの全国延べ110施設にて実施された比較試験を含む臨床試験において、効果が判定された1,301例(軟膏650例、クリーム651例)の疾患別有効率は、下表のとおりであり軟膏85.4%(555/650)、クリーム83.7%(545/651)であった。
なお1,301例のうち、1,285例(98.8%)が単純塗布であった7),8),9),10)

疾患名

有効率(%)(かなり軽快以上/評価症例)

軟膏

クリーム

湿疹・皮膚炎群

91.9(171/186)

88.7(165/186)

乾癬

86.8(92/106)

81.3(87/107)

虫さされ

96.4(27/28)

100(31/31)

薬疹・中毒疹

96.8(30/31)

100(28/28)

痒疹群

93.5(29/31)

83.9(26/31)

紅皮症

93.3(14/15)

81.3(13/16)

紅斑症

100(23/23)

95.5(21/22)

ジベル薔薇色粃糠疹

100(23/23)

92.0(23/25)

掌蹠膿疱症

74.2(23/31)

69.0(20/29)

扁平紅色苔癬

93.8(15/16)

92.3(12/13)

慢性円板状エリテマトーデス

85.7(12/14)

71.4(10/14)

肉芽腫症

78.6(11/14)

72.7(8/11)

特発性色素性紫斑

88.5(23/26)

90.9(20/22)

円形脱毛症

44.4(12/27)

44.8(13/29)

肥厚性瘢痕・ケロイド

35.7(10/28)

64.3(18/28)

悪性リンパ腫

60.0(9/15)

70.6(12/17)

アミロイド苔癬

85.7(12/14)

78.9(15/19)

水疱症

86.4(19/22)

100(23/23)

18. 薬効薬理

18.1 作用機序

ベタメタゾン酪酸エステルプロピオン酸エステルは合成副腎皮質ステロイドであり、グルココルチコイド受容体を刺激することにより抗炎症作用を示す。

18.2 血管収縮作用

  1. 18.2.1 健常成人男子を対象とした皮膚血管収縮試験において、本剤の軟膏、クリームの血管収縮作用は、ベタメタゾン吉草酸エステルより強く、ベタメタゾンジプロピオン酸エステルと同等またはそれ以上であった11)
  2. 18.2.2 健常成人男子を対象とした皮膚血管収縮試験(単純塗布)において、本剤のローションは、本剤のクリームと同等の血管収縮作用を示した12)

18.3 抗炎症作用

本品及びその製剤(軟膏、クリーム)は、ラットカラゲニン足浮腫、ラットクロトン油耳浮腫、ラット48時間受動性皮膚アナフィラキシー(PCA)反応等の各種実験炎症モデルに対して明らかな抗炎症作用を示し、その作用は、クロベタゾールプロピオン酸エステルに劣るものの、ベタメタゾンジプロピオン酸エステル、ベタメタゾン吉草酸エステル及びベクロメタゾンプロピオン酸エステルとほぼ同等であった13),14)

18.4 抗炎症作用と全身作用の分離

ラットろ紙及びクロトン油肉芽腫形成試験において、30%肉芽腫形成抑制用量と30%胸腺萎縮用量から求めた本品の抗炎症作用と全身作用の分離度は、クロベタゾールプロピオン酸エステル、ベタメタゾンジプロピオン酸エステル、ベタメタゾン吉草酸エステル及びベクロメタゾンプロピオン酸エステルのいずれよりも大きかった13),15)

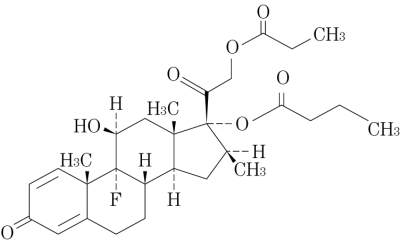
19. 有効成分に関する理化学的知見

一般的名称

ベタメタゾン酪酸エステルプロピオン酸エステル(JAN)(Betamethasone Butyrate Propionate)

化学名

(+)-9-Fuloro-11β,17,21-trihydroxy-16β-methylpregna-1,4-diene-3,20-dione 17-butyrate 21-propionate

分子式

C29H39FO7

分子量

518.61

性状

本品は白色の結晶性の粉末である。本品は1,4-ジオキサンに極めて溶けやすく、エタノール(95)に溶けやすく、メタノールにやや溶けやすく、ジエチルエーテルにやや溶けにくく、水にほとんど溶けない。

化学構造式

融点

152~156℃

分配係数

1-オクタノール/水:∞、クロロホルム/水:∞

20. 取扱い上の注意

  • 〈ローション剤〉

    本剤は光によって分解するため、外箱開封後は容器にて遮光された状態で保存すること。

22. 包装

  • アンテベート軟膏0.05%

    アルミチューブ(5g×10、5g×50、10g×10、10g×50)
    プラスチック容器(100g、500g)

  • アンテベートクリーム0.05%

    アルミチューブ(5g×10、5g×50、10g×10、10g×50)
    プラスチック容器(100g、500g)

  • アンテベートローション0.05%

    プラスチック容器(10g×10、10g×50)

24. 文献請求先及び問い合わせ先

鳥居薬品株式会社 お客様相談室

〒103-8439 東京都中央区日本橋本町3-4-1

TEL 0120-316-834
FAX 03-3231-6890

26. 製造販売業者等

26.1 製造販売元

鳥居薬品株式会社

東京都中央区日本橋本町3-4-1

〒100-0013 東京都千代田区霞が関3-3-2 新霞が関ビル

画面を閉じる

Copyright © Pharmaceuticals and Medical Devices Agency, All Rights reserved.