医療用医薬品 詳細表示

アクロマイシントローチ15mg

添付文書番号

2399702E1033_2_03

企業コード

480866

作成又は改訂年月

2024年7月改訂(第2版)
2023年7月改訂(第1版)

日本標準商品分類番号

872399

承認等

アクロマイシントローチ15mg

販売名コード

YJコード

2399702E1033

販売名英語表記

Achromycin Troches 15mg

販売名ひらがな

あくろまいしんとろーち15mg

承認番号等

承認番号

22000AMX01499000

販売開始年月

1955年12月

貯法・有効期間

貯法

室温保存

有効期間

4年

一般的名称

テトラサイクリン塩酸塩トローチ

2. 禁忌(次の患者には投与しないこと)

  1. 2.1 テトラサイクリン系薬剤に対し過敏症の既往歴のある患者

3. 組成・性状

3.1 組成

アクロマイシントローチ15mg

有効成分1錠中
日局 テトラサイクリン塩酸塩   15mg(力価)
添加剤アラビアゴム末、ステアリン酸マグネシウム、精製白糖、ハッカ油、黄色五号

3.2 製剤の性状

アクロマイシントローチ15mg

識別コードKY12
色・性状橙色のトローチ剤

4. 効能・効果

  • 〈適応菌種〉

    テトラサイクリンに感性のブドウ球菌属、レンサ球菌属、大腸菌、クレブシエラ属、プロテウス属、モルガネラ・モルガニー、プロビデンシア属、インフルエンザ菌

  • 〈適応症〉

    抜歯創・口腔手術創の二次感染、感染性口内炎

6. 用法・用量

通常1日4~9錠(1錠中テトラサイクリン塩酸塩として15mg(力価)を含有)を数回に分け、口中、舌下、頬腔で溶かしながら用いる。

8. 重要な基本的注意

本剤の使用にあたっては、耐性菌の発現等を防ぐため、原則として感受性を確認し、疾病の治療上必要な最少限の期間の使用にとどめること。

11. 副作用

次の副作用があらわれることがあるので、観察を十分に行い、異常が認められた場合には投与を中止するなど適切な処置を行うこと。

11.2 その他の副作用

頻度不明

過敏症

過敏症状

口腔・喉頭

舌炎、口内炎、黒毛舌、喉頭炎

14. 適用上の注意

14.1 薬剤交付時の注意

PTP包装の薬剤はPTPシートから取り出して服用するよう指導すること。PTPシートの誤飲により、硬い鋭角部が食道粘膜へ刺入し、更には穿孔をおこして縦隔洞炎等の重篤な合併症を併発することがある。

14.2 服用時の注意

乳幼児は誤って飲み込むおそれがあるので使用しないこと。

16. 薬物動態

16.8 その他

本剤1錠(テトラサイクリン塩酸塩15mg(力価)含有)を健康成人10人に、単回上頬部に静かに挿入した後の、平均唾液中濃度は、投与5分後に最高唾液中濃度397μg/mLを示す。また、投与1時間後(本剤の上頬部での溶解時間に相当)及び投与8時間後の平均唾液中濃度は、それぞれ102μg/mL、0.29μg/mLである1)

18. 薬効薬理

18.1 作用機序

細菌の蛋白合成系において、aminoacyl t-RNAがm-RNA・リボゾーム複合物と結合するのを妨げ、蛋白合成を阻止させることにより抗菌作用を発揮する。
また、本剤は動物のリボゾームには作用せず、細菌のリボゾームの30Sサブユニットに特異的に作用することから、選択毒性を有すると報告されている2)

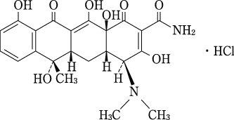
19. 有効成分に関する理化学的知見

一般的名称

テトラサイクリン塩酸塩(Tetracycline Hydrochloride)

化学名

(4S,4aS,5aS,6S,12aS)-4-Dimethylamino-3,6,10,12,12a-pentahydroxy-6-methyl-1,11-dioxo-1,4,4a,5,5a,6,11,12a-octahydrotetracene-2-carboxamide monohydrochloride

分子式

C22H24N2O8・HCl

分子量

480.90

性状

本品は、黄色の結晶又は結晶性の粉末である。本品は、水に溶けやすく、エタノール(95)にやや溶けにくい。

化学構造式

20. 取扱い上の注意

開封後は湿気を避けて保存すること。有効期間内であっても、なるべく速やかに使用すること。

22. 包装

20錠[10錠(PTP)×2]
100錠[10錠(PTP)×10]
1000錠[10錠(PTP)×100]

24. 文献請求先及び問い合わせ先

*サンファーマ株式会社 くすり相談センター

〒105-0011 東京都港区芝公園1-7-6

受付時間:9時~17時
(土、日、祝日、その他当社の休業日を除く)
TEL:0120-22-6880
ホームページ:https://jp.sunpharma.com/

26. 製造販売業者等

26.1 製造販売元

サンファーマ株式会社

東京都港区芝公園1-7-6

〒100-0013 東京都千代田区霞が関3-3-2 新霞が関ビル

画面を閉じる

Copyright © Pharmaceuticals and Medical Devices Agency, All Rights reserved.