医療用医薬品 詳細表示

アクロマイシン末

処方せん医薬品

添付文書番号
企業コード
作成又は改訂年月
日本標準商品分類番号
承認等
一般的名称
2.禁忌(次の患者には投与しないこと)
3.組成・性状
3.1組成
3.2製剤の性状
4.効能又は効果
5.効能又は効果に関連する注意
6.用法及び用量
8.重要な基本的注意
9.特定の背景を有する患者に関する注意
9.1合併症・既往歴等のある患者
9.2腎機能障害患者
9.3肝機能障害患者
9.5妊婦
9.6授乳婦
9.7小児等
9.8高齢者
10.相互作用
10.2併用注意(併用に注意すること)
11.副作用
11.2その他の副作用
14.適用上の注意
18.薬効薬理
18.1作用機序
19.有効成分に関する理化学的知見
20.取扱い上の注意
22.包装
23.主要文献
24.文献請求先及び問い合わせ先
26.製造販売業者等

アクロマイシン末

添付文書番号

2634703X1022_4_04

企業コード

480866

作成又は改訂年月

2024年7月改訂(第2版)
2023年7月改訂(第1版)

日本標準商品分類番号

872634

承認等

アクロマイシン末

販売名コード

YJコード

2634703X1022

販売名英語表記

Achromycin Powder

販売名ひらがな

あくろまいしんまつ

承認番号等

承認番号

16100EMZ01698000

販売開始年月

1956年11月

貯法・有効期間

貯法

室温保存

有効期間

4年

基準名

日本薬局方

テトラサイクリン塩酸塩

一般的名称

テトラサイクリン塩酸塩

2. 禁忌(次の患者には投与しないこと)

テトラサイクリン系薬剤に対し過敏症の既往歴のある患者

3. 組成・性状

3.1 組成

アクロマイシン末

有効成分1g中
日局 テトラサイクリン塩酸塩   1g(力価)

3.2 製剤の性状

アクロマイシン末

色・剤形黄色の結晶又は結晶性の粉末

4. 効能又は効果

  • 投与経路:経口
    • 〈適応菌種〉

      テトラサイクリンに感性のブドウ球菌属、レンサ球菌属、肺炎球菌、腸球菌属、淋菌、炭疽菌、大腸菌、クレブシエラ属、プロテウス属、モルガネラ・モルガニー、プロビデンシア属、インフルエンザ菌、軟性下疳菌、百日咳菌、ブルセラ属、野兎病菌、ガス壊疽菌群、回帰熱ボレリア、ワイル病レプトスピラ、リケッチア属、クラミジア属、肺炎マイコプラズマ(マイコプラズマ・ニューモニエ)

    • 〈適応症〉

      表在性皮膚感染症、深在性皮膚感染症、リンパ管・リンパ節炎、慢性膿皮症、乳腺炎、骨髄炎、咽頭・喉頭炎、扁桃炎、急性気管支炎、肺炎、肺膿瘍、慢性呼吸器病変の二次感染、膀胱炎、腎盂腎炎、尿道炎、淋菌感染症、軟性下疳、性病性(鼠径)リンパ肉芽腫、子宮内感染、脳膿瘍、涙のう炎、外耳炎、中耳炎、副鼻腔炎、歯周組織炎、猩紅熱、炭疽、ブルセラ症、百日咳、野兎病、ガス壊疽、回帰熱、ワイル病、発疹チフス、発疹熱、つつが虫病

  • 投与経路:トローチ
    • 〈適応菌種〉

      テトラサイクリンに感性のブドウ球菌属、レンサ球菌属、大腸菌、クレブシエラ属、プロテウス属、モルガネラ・モルガニー、プロビデンシア属、インフルエンザ菌

    • 〈適応症〉

      抜歯創・口腔手術創の二次感染、感染性口内炎

  • 投与経路:口腔
    • 〔挿入剤〕
      • 〈適応菌種〉

        テトラサイクリン感性菌

      • 〈適応症〉

        抜歯創・口腔手術創の二次感染

    • 〔軟膏剤〕
      • 〈適応菌種〉

        テトラサイクリン感性菌

      • 〈適応症〉

        歯周組織炎、抜歯創・口腔手術創の二次感染、ドライソケット、感染性口内炎

  • 投与経路:外皮
    • 〈適応菌種〉

      テトラサイクリンに感性のブドウ球菌属、レンサ球菌属、肺炎球菌、腸球菌属、大腸菌、クレブシエラ属、プロテウス属、モルガネラ・モルガニー、プロビデンシア属

    • 〈適応症〉

      表在性皮膚感染症、深在性皮膚感染症、慢性膿皮症、外傷・熱傷及び手術創等の二次感染

  • 投与経路:眼科
    • 〈適応菌種〉

      テトラサイクリンに感性のブドウ球菌属、レンサ球菌属、肺炎球菌、腸球菌属、淋菌、モラクセラ・ラクナータ(モラー・アクセンフェルト菌)、大腸菌、クレブシエラ属、プロテウス属、モルガネラ・モルガニー、プロビデンシア属、インフルエンザ菌、ヘモフィルス・エジプチウス(コッホ・ウィークス菌)、トラコーマクラミジア(クラミジア・トラコマティス)

    • 〈適応症〉

      眼瞼炎、涙のう炎、麦粒腫、結膜炎、角膜炎(角膜潰瘍を含む)、眼外傷・眼科周術期の無菌化療法

5. 効能又は効果に関連する注意

  • 〈咽頭・喉頭炎、扁桃炎、急性気管支炎、中耳炎、副鼻腔炎〉

    「抗微生物薬適正使用の手引き」1)を参照し、抗菌薬投与の必要性を判断した上で、本剤の投与が適切と判断される場合に投与すること。

6. 用法及び用量

  • 投与経路:経口

    テトラサイクリン塩酸塩として、通常成人1日1g(力価)を4回に分割経口投与する。小児には、1日体重1kgあたり30mg(力価)を4回に分割経口投与する。
    なお、年齢、症状により適宜増減する。

  • 投与経路:トローチ

    通常、1日4~9錠〔1錠中テトラサイクリン塩酸塩として15mg(力価)を含有〕を数回に分け、口中、舌下、頬腔で溶かしながら用いる。

  • 投与経路:口腔
    • 〔挿入剤〕

      抜歯創、口腔手術創に1~3個〔1個中テトラサイクリン塩酸塩として、5mg(力価)を含有〕挿入する。
      なお、創面の状態により、必要に応じて追加挿入する。

    • 〔軟膏剤〕

      通常、適量を1日1~数回患部に塗布する。

  • 投与経路:外皮
    • 〔軟膏剤(3%)としての使用〕

      通常、症状により適量を1日1~数回、直接患部に塗布または無菌ガーゼにのばして貼付する。

  • 投与経路:眼科
    • 〔末〕

      眼軟膏として用いる場合には、通常、無刺激性の軟膏基剤を用いて0.5~1.0%眼軟膏とし、適量を1日1~数回塗布する。
      なお、症状により適宜回数を増減する。
      点眼液として用いる場合には、通常、滅菌精製水等の水性溶剤または植物油等の非水性溶剤を用いて0.5~1.0%点眼液とし、適量を1日1~数回点眼する。
      なお、症状により適宜回数を増減する。
      本剤は調製後は、冷所に保存し、1週間以内に使用すること。

8. 重要な基本的注意

  • 〈投与経路共通〉
    1. 8.1 本剤の使用にあたっては、耐性菌の発現等を防ぐため、原則として感受性を確認し、疾病の治療上必要な最小限の期間の投与にとどめること。
  • 〈外皮投与〉
    1. 8.2 感作されるおそれがあるので、観察を十分に行い、感作されたことを示す兆候(そう痒、発赤、腫脹、丘疹、小水疱等)があらわれた場合には使用を中止すること。
  • 〈眼科投与〉
    1. 8.3 感作されるおそれがあるので、観察を十分に行い、感作されたことを示す兆候があらわれた場合には使用を中止すること。

9. 特定の背景を有する患者に関する注意

9.1 合併症・既往歴等のある患者

  • 〈経口投与〉
    1. 9.1.1 経口摂取の不良な患者又は非経口栄養の患者、全身状態の悪い患者

      観察を十分に行うこと。ビタミンK欠乏症状があらわれることがある。

9.2 腎機能障害患者

  • 〈経口投与〉

    副作用が強くあらわれるおそれがある。

9.3 肝機能障害患者

  • 〈経口投与〉

    副作用が強くあらわれるおそれがある。

9.5 妊婦

  • 〈経口投与〉

    妊婦又は妊娠している可能性のある女性には治療上の有益性が危険性を上回ると判断される場合にのみ投与すること。
    胎児に一過性の骨発育不全、歯牙の着色・エナメル質形成不全を起こすことがある。また、動物実験(ラット)で胎児毒性が認められている。

9.6 授乳婦

  • 〈経口投与〉

    授乳しないことが望ましい。母乳中へ移行することが報告されている2)

9.7 小児等

  • 〈経口投与〉

    他の薬剤が使用できないか、無効の場合にのみ適用を考慮すること。
    小児(特に歯牙形成期にある8歳未満の小児)に投与した場合、歯牙の着色・エナメル質形成不全、また、一過性の骨発育不全を起こすことがある。

9.8 高齢者

  • 〈経口投与〉

    次の点に注意し、用量並びに投与間隔に留意するなど患者の状態を観察しながら慎重に投与すること。

    1. 9.8.1 生理機能が低下していることが多く副作用が発現しやすい。
    2. 9.8.2 ビタミンK欠乏による出血傾向があらわれることがある。

10. 相互作用

    10.2 併用注意(併用に注意すること)

    • 〈経口投与〉
    薬剤名等臨床症状・措置方法機序・危険因子

    カルシウム、マグネシウム、アルミニウム又は鉄剤

    本剤の吸収が低下し、効果が減弱されるおそれがある。
    両剤の服用間隔を2~4時間とすること。

    本剤と二価又は三価の金属イオンが消化管内で難溶性のキレートを形成して、本剤の吸収を阻害する。

    ランタン

    本剤の吸収が低下し、効果が減弱されるおそれがあるので、左記薬剤服用後、2時間以上あけて投与すること。

    本剤とランタンが難溶性の複合体を形成し、本剤の腸管からの吸収を妨げることが考えられる。

    抗凝血剤

    • ワルファリンカリウム等

    血漿プロトロンビン活性を抑制することがある。

    本剤による腸内細菌の減少が、ビタミンK合成を阻害し、抗凝血剤の作用を増強するほか、本剤がカルシウムイオンとキレート結合し、血漿プロトロンビン活性を抑制すると考えられている。

    スルホニル尿素系血糖降下薬

    血糖降下作用が増強することがある。

    機序は不明であるが、スルホニル尿素系薬剤の血糖降下作用がオキシテトラサイクリン及びドキシサイクリンによって増強されるという報告がある。

    メトトレキサート

    メトトレキサートの作用が増強されることがある。

    本剤は血漿蛋白と結合しているメトトレキサートを競合的に置換遊離し、メトトレキサートの作用を増強させることが考えられる。

    ポルフィマーナトリウム

    光線過敏症を起こすおそれがある。
    直射日光、集中光等を避けること。

    皮膚の光感受性を高める薬剤との併用により、本剤による光線過敏症が増強されることが考えられる。

    ジゴキシン

    本剤がジゴキシンの作用を増強し、中毒症状が発現することがある。
    併用時はジゴキシンの中毒症状に注意すること。

    本剤による腸内細菌の減少のため、腸内細菌によるジゴキシンの代謝が不活性化され、ジゴキシンの血中濃度が上昇すると考えられる。

    黄体・卵胞ホルモン配合剤

    • 経口避妊剤

    黄体・卵胞ホルモン配合剤の効果の減弱化及び不正性器出血の発現率が増大するおそれがある。

    本剤による腸内細菌の減少のため、黄体・卵胞ホルモン配合剤の腸肝循環による再吸収が抑制されると考えられる。

    ボツリヌス毒素製剤

    過剰な筋弛緩があらわれる恐れがあり、閉瞼不全、頸部筋脱力、呼吸困難、嚥下障害等のリスクが高まるおそれがある。

    本剤およびボツリヌス毒素製剤はともに筋弛緩作用を有するため、作用が増強されるおそれがある。

    アトバコン

    本剤との併用によりアトバコンの血漿中濃度が約40%低下した。

    機序は不明である。

    11. 副作用

    次の副作用があらわれることがあるので、観察を十分に行い、異常が認められた場合には投与を中止するなど適切な処置を行うこと。

    11.2 その他の副作用

    • 〈経口投与〉

    頻度不明

    過敏症

    発熱、発疹、蕁麻疹

    皮膚

    光線過敏症

    肝臓

    AST、ALTの上昇等肝機能検査値異常

    消化器

    食欲不振、悪心、嘔吐、腹痛、下痢、口内炎、舌炎、肛門周囲炎、膵炎

    血液

    顆粒球減少、好酸球増多、血小板減少

    菌交代症

    菌交代症に基づく新しい感染症

    ビタミン欠乏症

    ビタミンK欠乏症状(低プロトロンビン血症、出血傾向等)、ビタミンB群欠乏症状(舌炎、口内炎、食欲不振、神経炎等)

    頭蓋内圧上昇

    頭蓋内圧上昇に伴う症状(嘔吐、頭痛、複視、うっ血乳頭、大泉門膨隆等)

    • 〈トローチ及び口腔投与〉

    頻度不明

    過敏症

    過敏症状

    口腔・咽頭

    舌炎、口内炎、黒毛舌、咽頭炎

    • 〈外皮投与〉

    頻度不明

    過敏症

    発疹

    • 〈眼科投与〉

    頻度不明

    過敏症

    眼瞼炎、結膜炎

    14. 適用上の注意

    14.1 薬剤調製時の注意

    アルカリ性薬品(炭酸水素ナトリウム、アミノピリンなど)、吸湿性薬品と配合するときは変色分解されやすいため、混合しないこと。

    18. 薬効薬理

    18.1 作用機序

    細菌の蛋白合成系において、aminoacyl t-RNAがm-RNA・リボゾーム複合物と結合するのを妨げ、蛋白合成を阻止させることにより抗菌作用を発揮する。また、本剤は動物のリボゾームには作用せず、細菌のリボゾームの30Sサブユニットに特異的に作用することから、選択毒性を有すると報告されている3)

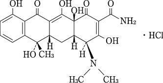
    19. 有効成分に関する理化学的知見

    一般的名称

    テトラサイクリン塩酸塩(Tetracycline Hydrochloride)

    化学名

    (4S,4aS,5aS,6S,12aS)-4-Dimethylamino-3,6,10,12,12a-pentahydroxy-6-methyl-1,11-dioxo-1,4,4a,5,5a,6,11,12a-octahydrotetracene-2-carboxamide monohydrochloride

    分子式

    C22H24N2O8・HCl

    分子量

    480.90

    性状

    本品は、黄色の結晶又は結晶性の粉末である。本品は、水に溶けやすく、エタノール(95)にやや溶けにくい。

    化学構造式

    20. 取扱い上の注意

    1. 20.1 外箱開封後は光を避けて保存すること。
    2. 20.2 使用のつど必ず密栓して保存すること。

    22. 包装

    瓶:25g

    24. 文献請求先及び問い合わせ先

    サンファーマ株式会社 くすり相談センター

    *〒105-0011 東京都港区芝公園1-7-6

    受付時間:9時~17時
    (土、日、祝日、その他当社の休業日を除く)
    TEL:0120-22-6880
    ホームページ:https://jp.sunpharma.com/

    26. 製造販売業者等

    26.1 製造販売元

    サンファーマ株式会社

    東京都港区芝公園1-7-6

    〒100-0013 東京都千代田区霞が関3-3-2 新霞が関ビル

    画面を閉じる

    Copyright © Pharmaceuticals and Medical Devices Agency, All Rights reserved.