医療用医薬品 詳細表示

タクロリムス軟膏0.1%「PP」

処方せん医薬品

添付文書番号
企業コード
作成又は改訂年月
日本標準商品分類番号
薬効分類名
承認等
一般的名称
1.警告
2.禁忌(次の患者には投与しないこと)
3.組成・性状
3.1組成
3.2製剤の性状
4.効能・効果
5.効能・効果に関連する注意
6.用法・用量
7.用法・用量に関連する注意
8.重要な基本的注意
9.特定の背景を有する患者に関する注意
9.1合併症・既往歴等のある患者
9.2腎機能障害患者
9.3肝機能障害患者
9.5妊婦
9.6授乳婦
9.7小児等
9.8高齢者
10.相互作用
10.1併用禁忌(併用しないこと)
11.副作用
11.2その他の副作用
14.適用上の注意
15.その他の注意
15.1臨床使用に基づく情報
15.2非臨床試験に基づく情報
16.薬物動態
16.1血中濃度
16.3分布
16.4代謝
16.5排泄
16.8その他
17.臨床成績
17.1有効性及び安全性に関する試験
17.2製造販売後調査等
18.薬効薬理
18.1作用機序
18.2実験的アレルギー性皮膚炎抑制作用
19.有効成分に関する理化学的知見
20.取扱い上の注意
22.包装
23.主要文献
24.文献請求先及び問い合わせ先
26.製造販売業者等

タクロリムス軟膏0.1%「PP」

添付文書番号

2699709M1044_2_05

企業コード

480866

作成又は改訂年月

2024年7月改訂(第2版)
2024年2月改訂(第1版)

日本標準商品分類番号

872699

薬効分類名

アトピー性皮膚炎治療剤

承認等

タクロリムス軟膏0.1%「PP」

販売名コード

YJコード

2699709M1044

販売名英語表記

Tacrolimus Ointment 0.1%

承認番号等

承認番号

22400AMX00195000

販売開始年月

2012年6月

貯法・有効期間

貯法

室温保存

有効期間

2年

一般的名称

タクロリムス水和物

1. 警告

  1. 1.1 本剤の使用は、アトピー性皮膚炎の治療法に精通している医師のもとで行うこと。
  2. 1.2 潰瘍、明らかに局面を形成しているびらんに使用する場合には、血中濃度が高くなり、腎障害等の副作用が発現する可能性があるので、あらかじめ処置を行い、潰瘍、明らかに局面を形成しているびらんの改善を確認した後、本剤の使用を開始すること。

2. 禁忌(次の患者には投与しないこと)

  1. 2.1 患部に潰瘍、明らかに局面を形成しているびらんのある患者
  2. 2.2 高度の腎障害、高度の高カリウム血症の患者,
  3. 2.3 魚鱗癬様紅皮症を呈する疾患(Netherton症候群等)の患者[経皮吸収が高く、本剤の血中濃度が高くなり、腎障害等の副作用が発現する可能性がある。]
  4. 2.4 小児等,
  5. 2.5 本剤の成分に対し過敏症の既往歴のある患者
  6. 2.6 PUVA療法等の紫外線療法を実施中の患者,

3. 組成・性状

3.1 組成

タクロリムス軟膏0.1%「PP」

有効成分1g中
日局 タクロリムス水和物   1.02mg
(タクロリムスとして   1mg )
添加剤トリアセチン、白色ワセリン、ミツロウ

3.2 製剤の性状

タクロリムス軟膏0.1%「PP」

性状白色~微黄色の軟膏

4. 効能・効果

アトピー性皮膚炎

5. 効能・効果に関連する注意

ステロイド外用剤等の既存療法では効果が不十分又は副作用によりこれらの投与ができないなど、本剤による治療がより適切と考えられる場合に使用する。

6. 用法・用量

通常、成人には1日1~2回、適量を患部に塗布する。なお、1回あたりの塗布量は5gまでとする。

7. 用法・用量に関連する注意

  1. 7.1 皮疹の増悪期には角質層のバリア機能が低下し、血中濃度が高くなる可能性があるので、本剤の使用にもかかわらず2週間以内に皮疹の改善が認められない場合には使用を中止すること。また、皮疹の悪化をみる場合にも使用を中止すること。
  2. 7.2 症状改善により本剤塗布の必要がなくなった場合は、速やかに塗布を中止し、漫然と長期にわたって使用しないこと。
  3. 7.3 1日2回塗布する場合はおよそ12時間間隔で塗布すること。

8. 重要な基本的注意

  1. 8.1 重度の皮疹もしくは塗布面積が広範囲にわたる場合は、血中濃度が高くなる可能性があるので、本剤使用開始の2~4週間後に1回、その後は必要に応じて適宜腎機能検査を行い、異常が認められた場合には、直ちに使用を中止し、適切な処置を行うこと。
  2. 8.2 本剤の免疫抑制作用により潜在的な発がんリスクがある。0.03%製剤で実施された長期の国内製造販売後調査において、悪性リンパ腫、皮膚がん等の悪性腫瘍の報告はなく、長期の海外疫学研究においても、本剤の使用による発がんリスクの上昇は認められなかった。一方、本剤使用例において関連性は明らかではないが、悪性リンパ腫、皮膚がんの発現が報告されている。本剤の使用にあたっては、これらの情報を患者に対して説明し、理解したことを確認した上で使用すること。
  3. 8.3 密封法及び重層法での臨床使用経験はないので、密封法及び重層法は行わないこと。
  4. 8.4 本剤使用時は日光への曝露を最小限にとどめること。また、日焼けランプ/紫外線ランプの使用を避けること。
  5. 8.5 皮膚感染症を伴うアトピー性皮膚炎患者には使用しないことを原則とするが、やむを得ず使用する場合には、感染部位を避けて使用するか、又はあらかじめ適切な抗菌剤、抗ウイルス剤、抗真菌剤による治療を行う、もしくはこれらとの併用を考慮すること。
  6. 8.6 使用後、一過性に皮膚刺激感(灼熱感、ほてり感、疼痛、そう痒感等)が高頻度に認められるが、通常、皮疹の改善とともに発現しなくなるので、皮膚刺激感があることについて患者に十分説明すること。

9. 特定の背景を有する患者に関する注意

9.1 合併症・既往歴等のある患者

  1. 9.1.1 高カリウム血症の患者(高度の高カリウム血症の患者を除く)

    高カリウム血症が増悪する可能性がある。

  2. 9.1.2 全身に皮疹を認める紅皮症の患者

    経皮吸収が高く、広範囲の使用により、本剤の血中濃度が上昇する可能性がある。

  3. 9.1.3 皮膚感染症を伴う患者

    皮膚感染症が増悪するおそれがある。

9.2 腎機能障害患者

  1. 9.2.1 高度の腎障害の患者

    使用しないこと。腎障害が増悪する可能性がある。

  2. 9.2.2 腎障害の患者(高度の腎障害の患者を除く)

    腎障害が増悪する可能性がある。

9.3 肝機能障害患者

  1. 9.3.1 高度の肝障害の患者

    薬物代謝能が低下し、本剤の血中濃度が上昇する可能性がある。

9.5 妊婦

妊婦又は妊娠している可能性のある女性には治療上の有益性が危険性を上回ると判断される場合にのみ使用すること。動物実験(ウサギ、経口投与)で催奇形作用、胎児毒性が認められたとの報告がある1)。ヒト(経口投与)で胎盤を通過することが報告されている2)

9.6 授乳婦

治療上の有益性及び母乳栄養の有益性を考慮し、授乳の継続又は中止を検討すること。ヒトで母乳中へ移行する可能性がある3)

9.7 小児等

  1. 9.7.1 2歳未満の幼児等

    使用しないこと。低出生体重児、新生児、乳児又は2歳未満の幼児を対象とした臨床試験は実施していない。

  2. 9.7.2 2歳以上の小児等

    より低濃度の0.03%製剤を使用し、本剤は使用しないこと。血中濃度の上昇により副作用が発現する可能性がある。

9.8 高齢者

一般に生理機能が低下している。

10. 相互作用

    10.1 併用禁忌(併用しないこと)

    本剤使用中にPUVA療法等の紫外線療法を行わないこと。,

    11. 副作用

    次の副作用があらわれることがあるので、観察を十分に行い、異常が認められた場合には使用を中止するなど適切な処置を行うこと。

    11.2 その他の副作用

    5%以上

    0.1~5%未満

    頻度不明

    適用部位の皮膚刺激感注1)

    熱感(灼熱感、ほてり感等)(44.3%)、疼痛(ヒリヒリ感、しみる等)(23.6%)、そう痒感

    皮膚感染症注2)

    細菌性感染症(毛嚢炎、伝染性膿痂疹等)

    ウイルス性感染症(単純疱疹、カポジ水痘様発疹症等)、真菌性感染症(白癬等)

    その他の皮膚症状

    ざ瘡、ざ瘡様皮疹、皮膚乾燥、丘疹、接触皮膚炎

    紅斑、酒さ様皮膚炎、適用部位浮腫

    皮膚以外の症状

    頭痛、頭重感、皮膚以外の感染症(上気道炎、リンパ節炎等)注3)

    注1)刺激感は入浴時に増強することがある。通常、塗布後一過性に発現し、皮疹の改善とともに発現しなくなるが、ときに使用期間中持続することがある。高度の刺激感が持続する場合は、休薬もしくは中止すること。
    注2)このような症状があらわれた場合には、適切な抗菌剤、抗ウイルス剤、抗真菌剤等を併用し、症状が速やかに改善しない場合には、本剤の使用を中止すること。
    注3)皮膚以外の感染症が発現し、遷延する場合には本剤の使用を中止すること。

    14. 適用上の注意

    14.1 薬剤使用時の注意

    皮膚以外の部位(粘膜等)及び外陰部には使用しないこと。また、眼の周囲に使用する場合には眼に入らないように注意すること。万一、眼に入った場合には刺激感を認めることがあるので直ちに水で洗い流すこと。また、洗い流した後にも刺激感が持続する場合は、医療機関を受診し治療を受けるよう指導すること。

    15. その他の注意

    15.1 臨床使用に基づく情報

    長期的な発がんリスクを評価するために、海外で小児アトピー性皮膚炎患者を対象とした疫学研究(10年間の前向きコホート研究)が実施された。延べ観察期間44,629人・年において悪性腫瘍が6例に報告され、年齢及び性別の合致する集団における予測発生率5.95例に対する標準化罹患比は1.01(95%信頼区間0.37-2.20)であった4)

    15.2 非臨床試験に基づく情報

    1. 15.2.1 アルビノ無毛マウスに40週間にわたりUVA及びUVBを照射し、その後12週間無処置期間を設けて観察すると試験動物のすべてに皮膚腫瘍が発生するが、この試験系において紫外線照射と並行して本剤を塗布すると皮膚腫瘍の発生時期が早まることが示されている。,,
    2. 15.2.2 マウス塗布がん原性試験で高い血中濃度の持続に基づいたリンパ腫の増加が認められた。
    3. 15.2.3 ラット(1.0~3.0mg/kg、皮下投与)で、精子数の減少及び精子運動能の低下が、また高用量群では繁殖能の軽度低下が認められた。

    16. 薬物動態

    16.1 血中濃度

    1. 16.1.1 単回塗布

      成人アトピー性皮膚炎患者各3例にタクロリムス軟膏0.1%製剤をそれぞれ1.25g、5g、10g注)単回塗布し、72時間後まで経時的に血中濃度を測定したところ、いずれも塗布後6時間までに最高血中濃度に達し、その平均値はそれぞれ0.4、1.0及び7.5ng/mLであった5)

    2. 16.1.2 反復塗布

      成人アトピー性皮膚炎患者5例にタクロリムス軟膏0.1%製剤1回5gを1日2回、7日間反復塗布したところ、2日後に中止した1例を除き、血中濃度は塗布開始3日後の0.93~4.4ng/mLを最高に、その後は低下した。また、成人アトピー性皮膚炎患者3例にタクロリムス軟膏0.1%製剤1回10g注)を1日2回、7日間反復塗布したところ、1例で塗布開始翌日に20ng/mLの血中濃度を検出したが、以後漸減し、塗布開始7日後には3.9ng/mLとなった。他の2例ではいずれも塗布開始3日後の0.97~4.7ng/mLを最高に、その後は低下した5)

    3. 16.1.3 長期使用時

      成人アトピー性皮膚炎患者568例にタクロリムス軟膏0.1%製剤を1回最大10g注)、1日1~2回塗布し52週後まで血中濃度を測定したところ次のとおりであった6)

      表 長期使用時の血中濃度

      測定時期

      測定例数

      血中濃度(ng/mL)

      平均値±標準偏差

      最小値~最大値

      3日後

      131

      1.85±2.62

      N.D.~14.0

      1週後

      501

      0.72±1.13

      N.D.~7.4

      2週後

      496

      0.56±0.93

      N.D.~7.1

      26週後

      337

      0.30±0.93

      N.D.~12.0

      52週後

      70

      0.38±0.87

      N.D.~5.4

      N.D.:定量限界(0.50ng/mL)以下

    16.3 分布

    ラットの角質層を除去した損傷皮膚に0.5%14C-タクロリムス軟膏320mg/kgを密封法で単回塗布したときの組織中放射能は投与30分後で、肺及び副腎、褐色脂肪、心臓、甲状腺、腎臓、肝臓及び脾臓、血漿、膀胱及び眼球、大脳及び睾丸の順で高く認められた7)
    ヒト血漿蛋白との結合率は、1.0及び10ng/mLの濃度において、それぞれ>98.5%及び99.0±0.2%(平均値±標準偏差)であった8)in vitro、平衡透析法)。

    16.4 代謝

    タクロリムス軟膏0.1%製剤は主として薬物代謝酵素CYP3A4で代謝される9)in vitro)。
    外国人肝移植患者での血中、尿中代謝物は主として脱メチル体であったが、胆汁中代謝物は主として水酸化体であった10)(外国人データ)。

    16.5 排泄

    ラットの健常皮膚及び角質層を除去した損傷皮膚に0.5%14C-タクロリムス軟膏320mg/kgを密封法で単回塗布したときの168時間までの尿及び糞中への放射能排泄率は、健常皮膚で各々0.4%、4.2%、損傷皮膚で各々2.4%、53.6%であった。また、ラット健常皮膚への単純塗布法では各々0.5%、5.1%であった7)
    注)本剤の承認された用法・用量は、1回5gまでで1日1~2回塗布である。

    16.8 その他

    1. 16.8.1 生物学的同等性試験

      タクロリムス軟膏0.1%「PP」とプロトピック軟膏0.1%を健康成人男子(n=16)の前腕部内側に単回塗布し、塗布4時間後、テープストリッピング法により剥離した角層中のタクロリムス濃度を測定した結果、両剤の生物学的同等性が確認された11)

    17. 臨床成績

    17.1 有効性及び安全性に関する試験

    1. 17.1.1 国内第Ⅲ相試験(躯幹・四肢)

      成人アトピー性皮膚炎患者を対象に、タクロリムス軟膏0.1%製剤又はステロイド外用剤を躯幹・四肢に1日2回3週間単純塗布した比較試験12)において、最終全般改善度評価の「中等度改善」以上の改善率は93.6%(73/78例)であった。
      本剤群の副作用は、塗布部位の刺激感(ほてり感、ヒリヒリ感、そう痒感等)59.1%(52/88例)、感染症5.7%(5/88例)であった。

    2. 17.1.2 国内第Ⅲ相試験(顔面・頸部)

      成人アトピー性皮膚炎患者を対象に、タクロリムス軟膏0.1%製剤又はステロイド外用剤を顔面・頸部に1日2回1週間単純塗布した比較試験13)において、最終全般改善度評価の「中等度改善」以上の改善率は97.3%(71/73例)であった。
      タクロリムス軟膏0.1%製剤群の主な副作用は、塗布部位の刺激感(ほてり感、ヒリヒリ感、そう痒感等)80%(60/75例)、ざ瘡4.0%(3/75例)であった。

    17.2 製造販売後調査等

    1. 17.2.1 国内製造販売後長期観察調査(0.03%製剤)

      0.03%製剤で、長期使用例における悪性腫瘍の発現状況を検討するために、小児アトピー性皮膚炎患者を対象とした3つの長期観察調査(長期特別調査、治験症例の追跡調査及び小児科追跡調査;観察期間10年間)を実施した結果、対象症例2,337例、延べ観察期間12,060人・年において、悪性腫瘍の報告はなかった14)

    18. 薬効薬理

    18.1 作用機序

    1. 18.1.1 サイトカイン産生抑制作用

      タクロリムスは、カルシニューリンの酵素活性を阻害し、T細胞からのサイトカイン産生を抑制するほか、 Langerhans細胞、肥満細胞、好酸球等の炎症性細胞の働きに対しても抑制作用を示すと考えられている15)

    2. 18.1.2 肥満細胞脱顆粒抑制作用

      抗IgE抗体刺激によるヒト肥満細胞からのヒスタミン遊離をステロイドより強く抑制する16),17)in vitro)。

    3. 18.1.3 抗原提示能抑制作用

      ヒト皮膚ランゲルハンス細胞をタクロリムスで前処理することにより、ランゲルハンス細胞を抗原提示細胞とする混合リンパ球反応を抑制する18)in vitro)。

    18.2 実験的アレルギー性皮膚炎抑制作用

    1. 18.2.1 ヒトのアトピー性皮膚炎に類似した病態を形成するラット皮膚炎及びNCマウス自然発症皮膚炎における皮膚局所炎症反応、真皮での炎症性細胞の増加を抑制する19),20)
    2. 18.2.2 Ⅳ型アレルギー反応(遅延型アレルギー反応)を強く抑制する21),22)(マウス)。
    3. 18.2.3 Ⅰ型アレルギー反応の即時型反応には無効であるが、遅発型反応に対しては軽度の抑制効果を有する21),23)(マウス)。

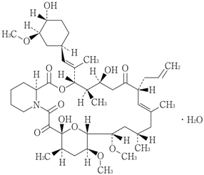
    19. 有効成分に関する理化学的知見

    一般的名称

    タクロリムス水和物(Tacrolimus Hydrate)

    化学名

    (3S,4R,5S,8R,9E,12S,14S,15R,16S,18R,19R,26aS)-5,19-Dihydroxy-3-{(1E)-2-[(1R,3R,4R)-4-hydroxy-3-methoxycyclohexyl]-1-methylethenyl}-14,16-dimethoxy-4,10,12,18-tetramethyl-8-(prop-2-en-1-yl)-15,19-epoxy-5,6,8,11,12,13,14,15,16,17,18,19,24,25,26,26a-hexadecahydro-3H-pyrido[2,1-c][1,4]oxaazacyclotricosine-1,7,20,21(4H,23H)-tetrone monohydrate

    分子式

    C44H69NO12・H2O

    分子量

    822.03

    性状

    タクロリムス水和物は白色の結晶又は結晶性の粉末である。メタノール又はエタノール(99.5)に極めて溶けやすく、N,N-ジメチルホルムアミド又はエタノール(95)に溶けやすく、水にほとんど溶けない。

    化学構造式

    融点

    130~133℃

    分配係数

    1000以上(1-オクタノール/水系)

    20. 取扱い上の注意

    軟膏基剤中の低融点物質(液体)が滲出すること(Bleeding現象)がある。

    22. 包装

    チューブ:5g×10本

    23. 主要文献

    1) Saegusa T., et al.:基礎と臨床 1992;26(3):969-981

    2) Zheng S., et al.:Br. J. Clin. Pharmacol. 2013;76(6):988-996

    3) Jain A., et al.:Transplantation 1997;64(4):559-565

    4) Paller A.S., et al.:J. Am. Acad. Dermatol. 2020;83(2):375-381

    5) 川島 眞ら:臨床医薬 1997;13(6):1483-1492

    6) FK506軟膏研究会:臨床医薬 1998;14(13):2405-2432

    7) Iwasaki K., et al.:薬物動態 1999;14(1):1-10

    8) Iwasaki K., et al.:Res. Commun. Mol. Pathol. Pharmacol. 1996;94(3):251-257

    9) Shiraga T., et al.:Biochem. Pharmacol. 1994;47(4):727-735

    10) Christians U., et al.:Transplant. Proc. 1991;23(6):2741-2744

    11) サンファーマ株式会社 社内資料:生物学的同等性試験

    12) FK506軟膏研究会:西日本皮膚科 1997;59(6):870-879

    13) FK506軟膏研究会:皮膚科紀要 1997;92(3):277-288

    14) 製造販売後調査結果概要(プロトピック軟膏0.03%小児用:2021年12月8日承認、再審査報告書)

    15) 加藤則人:皮膚臨床2007;49(10):1123

    16) de Paulis A., et al.:J. Invest. Dermatol. 1992;99(6):723-728

    17) Cohan V.L., et al.:Am. Rev. Respir. Dis. 1989;140:951-954

    18) Panhans-Groß A., et al.:J. Allergy Clin. Immunol. 2001;107(2):345-352

    19) 藤井康友ら:基礎と臨床 1997;31(8):2693-2700

    20) Hiroi J., et al.:Jpn. J. Pharmacol. 1998;76(2):175-183

    21) 仙石隆則ら:日本薬理学雑誌 1998;112(3):221-232

    22) Meingassner J.G., et al.:Int. Arch. Allergy Immunol. 1992;99(2-4):486-489

    23) Katayama I., et al.:Int. Arch. Allergy Immunol. 1996;109:390-397

    24. 文献請求先及び問い合わせ先

    サンファーマ株式会社 くすり相談センター

    *〒105-0011 東京都港区芝公園1-7-6

    受付時間:9時~17時
    (土、日、祝日、その他当社の休業日を除く)
    TEL:0120-22-6880
    ホームページ:https://jp.sunpharma.com/

    26. 製造販売業者等

    26.1 製造販売

    サンファーマ株式会社

    東京都港区芝公園1-7-6

    〒100-0013 東京都千代田区霞が関3-3-2 新霞が関ビル

    画面を閉じる

    Copyright © Pharmaceuticals and Medical Devices Agency, All Rights reserved.