医療用医薬品 詳細表示

アスコルビン酸「ニッコー」

添付文書番号

3140001X1136_3_02

企業コード

530090

作成又は改訂年月

2023年7月改訂(第1版)

日本標準商品分類番号

87314

薬効分類名

ビタミンC製剤

承認等

アスコルビン酸「ニッコー」

販売名コード

YJコード

3140001X1136

販売名英語表記

ASCORBIC ACID 「NIKKO」

販売名ひらがな

あすこるびんさん「にっこー」

承認番号等

承認番号

20200AMZ00243

販売開始年月

1990年5月

貯法・有効期間

貯法

室温保存

有効期間

3年6ヶ月

基準名

日本薬局方

アスコルビン酸

一般的名称

アスコルビン酸

3. 組成・性状

3.1 組成

アスコルビン酸「ニッコー」

有効成分1g中 日局アスコルビン酸 1g  

3.2 製剤の性状

アスコルビン酸「ニッコー」

性状本品は白色の結晶又は結晶性の粉末である。

4. 効能又は効果

(1)・ビタミンC欠乏症の予防及び治療(壊血病、メルレル・バロー病)
  ・ビタミンCの需要が増大し、食事からの摂取が不十分な際の補給
   (消耗性疾患、妊産婦、授乳婦、はげしい肉体労働時など)

(2)下記疾患のうち、ビタミンCの欠乏または代謝障害が関与すると推定される場合
  ・毛細管出血(鼻出血、歯肉出血、血尿など)
  ・薬物中毒
  ・副腎皮質機能障害
  ・骨折時の骨基質形成・骨癒合促進
  ・肝斑・雀卵斑・炎症後の色素沈着
  ・光線過敏性皮膚炎
  なお、効果がないのに、月余にわたって漫然と使用すべきでない。

6. 用法及び用量用法用量用法・用量

アスコルビン酸として、通常成人1日50~2000mgを1~数回に分けて経口投与する。
なお、年齢、症状により適宜増減する。

9. 特定の背景を有する患者に関する注意

9.7 小児等

小児等を対象とした臨床試験は実施していない。

11. 副作用

次の副作用があらわれることがあるので、観察を十分に行い、異常が認められた場合には投与を中止するなど適切な処置を行うこと。

11.2 その他の副作用

頻度不明

消化器

悪心・嘔吐、下痢

12. 臨床検査結果に及ぼす影響

  1. 12.1 各種の尿糖検査で、尿糖の検出を妨害することがある。
  2. 12.2 各種の尿検査(潜血、ビリルビン、亜硝酸塩)・便潜血反応検査で、偽陰性を呈することがある。

14. 適用上の注意

14.1 薬剤調製時の注意

本剤は還元性、キレート性が強いので配合変化を起こしやすく、その際、本剤の効力が低下するので注意すること1)

18. 薬効薬理

18.1 作用機序

ビタミンCの代表的な欠乏症が壊血病であり、出血傾向の増大、骨・歯牙の発育遅延、抗体産生能や創傷治癒能の低下などを起こす。本薬の投与はこれらの疾患や症状に効果があるが、生理的意義や作用は十分明らかではない。コラーゲン生成への関与、毛細血管抵抗性の増強や血液凝固時間の短縮などによる出血傾向の改善、副腎皮質機能への関与(ストレス反応の防止)、メラニン色素生成の抑制などが報告されている1)

18.2 コラーゲン形成促進作用

壊血病の病理所見は骨、歯牙及びその他の結合織のコラーゲン合成能の低下によるものと考えられている2),3)
壊血病生成食飼育モルモットの皮膚再生を指標にアスコルビン酸の結合織形成に及ぼす影響を調べた実験では、アスコルビン酸の投与により組織のヒドロキシプロリン産生増とともに非コラーゲン性プロリンの減少が認められ、創傷部のプロリン含有物質がコラーゲンに変換されていることを示唆する成績が得られている4)
また、結合織のコラーゲンと類似の組成から成る上皮基底膜の合成もアスコルビン酸依存性であり、壊血病の徴候のいくつかが基底膜の合成不全によることが示されている5)

18.3 副腎防禦作用

ラットにエピネフリン注射によるストレスを負荷すると、好酸球の減少とともに組織学的には副腎の警告反応を示唆する像が得られるが、アスコルビン酸を前投与しておいた動物では有意の好酸球増加が認められ、また組織学的に副腎は正常で、副腎防禦作用を有することが示されている6)

18.4 メラニン生成に及ぼす影響

in vitroにおいてアスコルビン酸はドパキノン→ドパクロムの酸化に還元系として作用してドパクロムの生成を阻害する成績が得られており、モルモット及びウサギに大量投与した場合にもin vitroで認められたドパクロム生成阻害を起こし得る量が皮膚へ到達することが認められている7)

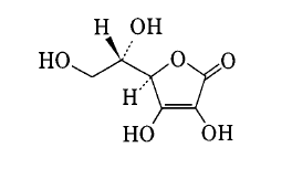
19. 有効成分に関する理化学的知見

一般的名称

アスコルビン酸(Ascorbic Acid)

化学名

L-threo-Hex-2-enono-1,4-lactone

分子式

C6H8O6

分子量

176.12

性状

本品は白色の結晶又は結晶性の粉末で、においはなく、酸味がある。

本品は水に溶けやすく、エタノール(95)にやや溶けにくく、ジエチルエーテルにほとんど溶けない。

化学構造式

融点

約190℃(分解)

20. 取扱い上の注意

アルミ袋開封後は、湿気を避けて保存すること。

22. 包装

500g(アルミ袋)

24. 文献請求先及び問い合わせ先

日興製薬販売株式会社 製品情報窓口

〒101-0035 東京都千代田区神田紺屋町32番地

電話(03)3254-1831

26. 製造販売業者等

26.1 製造販売元

日興製薬株式会社

岐阜県羽島市江吉良町1593

26.2 発売元

日興製薬販売株式会社

東京都千代田区神田紺屋町32番地

〒100-0013 東京都千代田区霞が関3-3-2 新霞が関ビル

画面を閉じる

Copyright © Pharmaceuticals and Medical Devices Agency, All Rights reserved.