医療用医薬品 詳細表示

ナルフラフィン塩酸塩ODフィルム2.5μg「ニプロ」

処方せん医薬品

添付文書番号
企業コード
作成又は改訂年月
日本標準商品分類番号
薬効分類名
承認等
一般的名称
2.禁忌(次の患者には投与しないこと)
3.組成・性状
3.1組成
3.2製剤の性状
4.効能・効果
6.用法・用量
7.用法・用量に関連する注意
8.重要な基本的注意
9.特定の背景を有する患者に関する注意
9.2腎機能障害患者
9.3肝機能障害患者
9.5妊婦
9.6授乳婦
9.7小児等
9.8高齢者
10.相互作用
10.2併用注意(併用に注意すること)
11.副作用
11.1重大な副作用
11.2その他の副作用
13.過量投与
14.適用上の注意
15.その他の注意
15.2非臨床試験に基づく情報
16.薬物動態
16.1血中濃度
16.2吸収
16.3分布
16.4代謝
16.5排泄
16.7薬物相互作用
16.8その他
17.臨床成績
17.1有効性及び安全性に関する試験
18.薬効薬理
18.1作用機序
18.2そう痒に対する作用
18.3依存性
19.有効成分に関する理化学的知見
22.包装
23.主要文献
24.文献請求先及び問い合わせ先
26.製造販売業者等

ナルフラフィン塩酸塩ODフィルム2.5μg「ニプロ」

添付文書番号

1190015F1054_1_05

企業コード

530100

作成又は改訂年月

**2023年10月改訂(第2版)
2022年11月改訂(第1版、効能変更)

日本標準商品分類番号

87119

薬効分類名

経口そう痒症改善剤

承認等

ナルフラフィン塩酸塩ODフィルム2.5μg「ニプロ」

販売名コード

YJコード

1190015F1054

販売名英語表記

Nalfurafine Hydrochloride OD Film

販売名ひらがな

なるふらふぃんえんさんえんODふぃるむ2.5μg「にぷろ」

承認番号等

承認番号

23000AMX00336

販売開始年月

2018年6月

貯法・有効期間

貯法

室温保存

有効期間

3年

一般的名称

ナルフラフィン塩酸塩口腔内崩壊フィルム

2. 禁忌(次の患者には投与しないこと)

  1. 2.1 本剤の成分に対し過敏症の既往歴のある患者

3. 組成・性状

3.1 組成

ナルフラフィン塩酸塩ODフィルム2.5μg「ニプロ」

有効成分1枚中
ナルフラフィン塩酸塩   2.5μg
(ナルフラフィンとして   2.32μg )
添加剤ヒドロキシプロピルセルロース、ヒプロメロース、酸化チタン、サッカリンナトリウム水和物、香料、その他2成分

3.2 製剤の性状

ナルフラフィン塩酸塩ODフィルム2.5μg「ニプロ」

外形上面・下面
側面
大きさ長辺20mm
短辺14mm
厚さ40μm
性状白色の口腔内崩壊フィルム剤

4. 効能・効果

次の患者におけるそう痒症の改善(既存治療で効果不十分な場合に限る)

  • 透析患者
  • *慢性肝疾患患者

6. 用法・用量

  • 通常、成人には、ナルフラフィン塩酸塩として1日1回2.5μgを夕食後又は就寝前に経口投与する。なお、症状に応じて増量することができるが、1日1回5μgを限度とする。

7. 用法・用量に関連する注意

  • 〈効能共通〉
    1. 7.1 本剤は口腔内で崩壊するが、口腔粘膜からの吸収により効果発現を期待する製剤ではないため、唾液又は水で飲み込むこと。
  • 〈血液透析患者におけるそう痒症の改善の場合〉
    1. 7.2 本剤の投与から血液透析開始までは十分な間隔をあけること。本剤は血液透析により除去されることから、本剤服用から血液透析までの時間が短い場合、本剤の血中濃度が低下する可能性がある。
  • 〈腹膜透析患者におけるそう痒症の改善の場合〉
    1. 7.3 *本剤の投与から透析液交換までは十分な間隔をあけること。本剤服用から透析液交換までの時間が短い場合、本剤の血中濃度が低下する可能性がある。
  • 〈慢性肝疾患患者におけるそう痒症の改善の場合〉
    1. 7.4 *本剤の投与は1日1回2.5μgから開始し、効果不十分な場合に1日1回5μgへの増量を検討すること。

8. 重要な基本的注意

  1. 8.1 重度(Child-Pugh分類グレードC)の肝障害のある患者に対する本剤の投与にあたっては、リスク・ベネフィットを勘案し、投与中は患者の状態を十分に観察すること。,
  2. 8.2 眠気、めまい等があらわれることがあるので、本剤投与中の患者には自動車の運転等危険を伴う機械の操作には従事させないよう注意すること。
  3. 8.3 本剤の使用により効果が認められない場合には、漫然と長期にわたり投与しないように注意すること。
  4. 8.4 本剤の投与により、プロラクチン値上昇等の内分泌機能異常があらわれることがあるので、適宜検査を実施することが望ましい。

9. 特定の背景を有する患者に関する注意

9.2 腎機能障害患者

  • 〈慢性肝疾患患者におけるそう痒症の改善の場合〉

    *血中濃度が上昇するおそれがある。

9.3 肝機能障害患者

  • 〈効能共通〉
    1. 9.3.1 *重度(Child-Pugh分類グレードC)の肝障害のある患者

      重度(Child-Pugh分類グレードC)の肝障害のある患者を対象とした臨床試験は実施していない。,

  • 〈透析患者におけるそう痒症の改善の場合〉
    1. 9.3.2 *中等度(Child-Pugh分類グレードB)の肝障害のある患者

      血中濃度が上昇するおそれがある。

9.5 妊婦

妊婦又は妊娠している可能性のある女性には投与しないことが望ましい。動物実験(ラット)において、胎盤通過、生存胎児数の減少、出産率の低下及び出生児体重の減少が報告されている。

9.6 授乳婦

治療上の有益性及び母乳栄養の有益性を考慮し、授乳の継続又は中止を検討すること。動物実験(ラット)において、乳汁中へ移行することが報告されている。

9.7 小児等

小児等を対象とした臨床試験は実施していない。

9.8 高齢者

患者の状態を観察しながら慎重に投与すること。一般に生理機能が低下していることが多い。

10. 相互作用

  • 本剤は、主として肝代謝酵素CYP3A4によって代謝される。

10.2 併用注意(併用に注意すること)

薬剤名等臨床症状・措置方法機序・危険因子
  • CYP3A4阻害作用のある薬剤等
    • アゾール系抗真菌剤(イトラコナゾール等)、ミデカマイシン、リトナビル、シクロスポリン、ニフェジピン、シメチジン、グレープフルーツジュース等
  • ,

本剤の血漿中濃度が上昇する可能性があるため、併用の開始、用量の変更並びに中止時には、患者の状態を十分に観察するなど注意すること。

CYP3A4阻害作用のある薬剤等との併用により本剤の代謝が阻害され、血漿中濃度が上昇する可能性がある。

睡眠薬、抗不安薬、抗うつ薬、抗精神病薬、抗てんかん薬

本剤との併用により、不眠、幻覚、眠気、浮動性めまい、振戦、せん妄等が認められる可能性があるので、併用の開始、用量の変更並びに中止時には、副作用の発現に注意すること。

本剤による中枢性の副作用が増強される可能性がある。

オピオイド系薬剤

本剤の作用が増強あるいは減弱されるおそれがある。

両剤の薬理学的な相互作用(増強又は拮抗)が考えられる。

11. 副作用

次の副作用があらわれることがあるので、観察を十分に行い、異常が認められた場合には投与を中止するなど適切な処置を行うこと。

11.1 重大な副作用

  1. 11.1.1 肝機能障害、黄疸(いずれも頻度不明)

    AST、ALT、Al-P、γ-GTPの著しい上昇等を伴う肝機能障害、黄疸があらわれることがある。

11.2 その他の副作用

5%以上

1~5%未満

1%未満

頻度不明

*精神・神経系

不眠1),2)

眠気1),2)、浮動性めまい、頭痛

いらいら感、幻覚、構語障害、レストレスレッグス症候群、振戦、しびれ

不穏、せん妄、易怒性

*消化器系

便秘1),2)

口渇、悪心、下痢

嘔吐、食欲不振、腹部不快感、胃炎、口内炎

皮膚

そう痒の悪化、湿疹、発疹

蕁麻疹、紅斑、丘疹

色素沈着

肝臓

総胆汁酸上昇

AST上昇、ALT上昇、Al-P上昇、γ-GTP上昇、ビリルビン上昇

LDH上昇

*腎臓

頻尿・夜間頻尿2),3)

多尿3)

循環器系

動悸、ほてり、血圧上昇

内分泌系

プロラクチン上昇

テストステロン低下、甲状腺刺激ホルモン低下、甲状腺刺激ホルモン上昇、抗利尿ホルモン上昇

女性化乳房

血液

好酸球増多、貧血

*尿

尿中血陽性3)、尿中蛋白陽性3)

その他

倦怠感

胸部不快感、脱力感、回転性めまい、異常感、浮腫、血中リン低下

1) 血液透析患者への投与時は投与開始後2週間以内にあらわれることが多い。
2) 慢性肝疾患患者への投与時は投与開始後4週間以内にあらわれることが多い。
3) 慢性肝疾患患者を対象とした国内臨床試験での発現頻度。

13. 過量投与

  1. 13.1 症状

    過量投与により、幻覚、不安、重度の眠気、不眠等があらわれるおそれがある。

  2. 13.2 処置

    投与を中止し、必要に応じ適切な対症療法を行うこと。なお、本剤は血液透析により除去されることが示されている。

14. 適用上の注意

14.1 薬剤交付時の注意

乾いた手指でアルミ包装をめくり、薬剤(フィルム)を取り出して服用するよう指導すること。

14.2 服用時の注意

  1. 14.2.1 本剤は舌の上にのせ、唾液を浸潤させると崩壊するため、水なしで服用可能である。また、水で服用することもできる。
  2. 14.2.2 本剤は寝たままの状態では、水なしで服用させないこと。
  3. 14.2.3 アルミ包装で遮光して品質を保持しているため、アルミ包装開封後は速やかに服用すること。

15. その他の注意

15.2 非臨床試験に基づく情報

  1. 15.2.1 動物実験(イヌ静脈内投与、0.1μg/kg以上)において全身麻酔下での血圧低下が報告されている。
  2. 15.2.2 動物実験(ラット筋肉内投与、40μg/kg/day以上)において受胎率の低下が報告されている。

16. 薬物動態

16.1 血中濃度

  1. 16.1.1 単回投与
    1. (1) 血液透析患者(16例)にナルフラフィン塩酸塩(カプセル)2.5又は5μgを経口単回投与した時、未変化体の薬物動態パラメータは以下の通りであった1)
      薬物動態パラメータ

      投与群
      (μg)

      例数

      Cmax
      (pg/mL)

      Tmax
      (hr)

      AUC0-∞
      (pg・hr/mL)

      t1/2
      (hr)

      2.5

      8

      3.15±0.82

      4.25±1.58

      66.26±15.544)

      14.21±4.934)

      5

      8

      6.51±2.76

      3.00±0.93

      120.59±71.90

      14.03±7.44

      (平均値±標準偏差)

    2. (2) *腹膜透析患者(16例)にナルフラフィン塩酸塩(カプセル)2.5又は5μgを経口単回投与した時、未変化体の薬物動態パラメータは以下の通りであった。腹膜透析の方法(連続携行式腹膜透析(CAPD)、持続的周期的腹膜透析(CCPD))、自動腹膜潅流装置(APD)の有無及び透析液の種類により、未変化体の薬物動態パラメータに明らかな差異は認められなかった。なお、ナルフラフィン塩酸塩(カプセル)5μg投与群において、ナルフラフィン塩酸塩(カプセル)投与から初回の透析液交換までの時間が3時間と規定された5例のうち1例で、未変化体のCmax及びAUC0-∞がそれぞれ5.37pg/mL及び156.54pg・h/mLと低下する傾向が認められた2)
      薬物動態パラメータ

      投与群
      (μg)

      例数

      Cmax
      (pg/mL)

      Tmax5)
      (hr)

      AUC0-∞
      (pg・hr/mL)

      t1/2
      (hr)

      2.5

      5

      3.81±0.88

      1.00

      92.67±23.47

      20.99±4.22

      5

      11

      8.28±3.00

      2.00

      193.74±57.52

      24.77±3.23

      (平均値±標準偏差)

      5) 中央値

    3. (3) *軽度(Child-Pugh分類グレードA)の代償性肝硬変患者(12例)にナルフラフィン塩酸塩(カプセル)2.5又は5μgを経口単回投与した時、未変化体の薬物動態パラメータは以下の通りであった。健康成人男子と比較してCmaxやAUCが上昇する傾向は認められなかった3)
      薬物動態パラメータ

      投与群
      (μg)

      例数

      Cmax
      (pg/mL)

      Tmax
      (hr)

      AUC0-∞
      (pg・hr/mL)

      t1/2
      (hr)

      2.5

      6

      3.63±1.26

      2.33±1.03

      34.58±13.556)

      5.37±2.116)

      5

      6

      6.76±2.03

      1.50±0.55

      58.06±26.28

      6.61±2.46

      (平均値±標準偏差)

    4. (4) *中等度(Child-Pugh分類グレードB)の慢性肝疾患患者(延べ30例)にナルフラフィン塩酸塩(カプセル)2.5又は5μgを経口単回投与した時、未変化体の薬物動態パラメータは以下の通りであった。軽度(Child-Pugh分類グレードA)の肝障害患者と比較してCmaxとAUCは上昇する傾向が認められた4)
      薬物動態パラメータ

      投与群
      (μg)

      例数

      Cmax
      (pg/mL)

      Tmax
      (hr)

      AUC0-∞
      (pg・hr/mL)

      t1/2
      (hr)

      2.5

      16

      6.36±2.62

      1.81±1.52

      117.4±51.4

      17.52±10.69

      5

      14

      11.71±4.45

      1.50±1.02

      197.7±97.0

      14.59±5.27

      (平均値±標準偏差)

    5. (5) *重度(Child-Pugh分類グレードC)の肝障害患者における薬物動態は検討されていない5),
  2. 16.1.2 反復投与

    血液透析患者(14~16例)にナルフラフィン塩酸塩(カプセル)2.5又は5μgを経口反復投与した時、未変化体の薬物動態パラメータは以下の通りであった1)

    薬物動態パラメータ

    投与群
    (μg)

    例数

    Cmax
    (pg/mL)

    Tmax
    (hr)

    AUC0-∞
    (pg・hr/mL)

    t1/2
    (hr)

    2.5

    7

    5.70±3.85

    4.14±1.35

    210.25±144.287)

    25.33±10.527)

    5

    7

    10.25±1.74

    3.86±1.21

    358.86±179.24

    28.34±8.55

    (平均値±標準偏差)

    また、透析時では非透析時と比較しt1/2が短縮しており、透析時及び非透析時のt1/2はそれぞれ、5.11~11.17 (hr)、13.55~64.37 (hr)であった。

  3. 16.1.3 生物学的同等性試験

    ナルフラフィン塩酸塩ODフィルム2.5μg「ニプロ」とレミッチカプセル2.5μgのそれぞれ1枚又は1カプセル(ナルフラフィン塩酸塩として2.5μg)を、クロスオーバー法により健康成人男子に絶食単回経口投与して血漿中ナルフラフィン濃度を測定した。得られた薬物動態パラメータ(AUC0→48hr、Cmax)について90%信頼区間法にて統計解析を行った結果、log(0.80)~log(1.25)の範囲内であり、両剤の生物学的同等性が確認された6),7)

    薬物動態パラメータ(水あり投与)

    判定パラメータ

    参考パラメータ

    AUC0→48hr
    (pg・hr/mL)

    Cmax
    (pg/mL)

    Tmax
    (hr)

    t1/2
    (hr)

    ナルフラフィン塩酸塩ODフィルム2.5μg「ニプロ」

    28.904 ± 5.634

    2.2638 ± 0.4896

    2.68 ± 0.75

    9.35 ± 1.41

    レミッチカプセル2.5μg

    28.060 ± 5.070

    2.3160 ± 0.4942

    2.53 ± 0.70

    8.95 ± 1.73

    (Mean±S.D., n=19)

    血漿中ナルフラフィン濃度推移(水あり投与)
    薬物動態パラメータ(水なし投与)

    判定パラメータ

    参考パラメータ

    AUC0→48hr
    (pg・hr/mL)

    Cmax
    (pg/mL)

    Tmax
    (hr)

    t1/2
    (hr)

    ナルフラフィン塩酸塩ODフィルム2.5μg「ニプロ」

    28.520 ± 5.315

    2.1440 ± 0.4159

    2.83 ± 0.86

    9.35 ± 1.98

    レミッチカプセル2.5μg8)

    29.475 ± 6.168

    2.4655 ± 0.5025

    2.28 ± 1.02

    9.38 ± 1.85

    8) 水と共に服用

    (Mean±S.D., n=18)

    血漿中ナルフラフィン濃度推移(水なし投与)

    血漿中濃度並びにAUC、Cmax等のパラメータは、被験者の選択、体液の採取回数・時間等の試験条件によって異なる可能性がある。

16.2 吸収

  1. 16.2.1 食事の影響

    健康成人男子(12例)を対象に、ナルフラフィン塩酸塩(カプセル)10μgを食後に経口単回投与した時のAUC0-48hr及びCmaxは空腹時投与の場合とほぼ同等であり、食事の影響は認められなかった8)

    (注1)通常1回投与量は2.5μgである。
    (注2)開発段階の製剤での試験成績であるが、当該製剤はレミッチカプセルと溶出挙動の類似性から同等であると考えられている9)

    薬物動態パラメータに対する食事の影響

    投与方法

    Cmax
    (pg/mL)

    Tmax
    (hr)

    AUC0-48hr
    (pg・hr/mL)

    t1/2
    (hr)

    空腹時投与

    12.67±3.95

    3.1±1.1

    114.46±34.26

    5.99±1.35

    食後投与

    13.68±3.65

    3.2±1.3

    126.03±38.10

    5.90±1.10

    (平均値±標準偏差)

16.3 分布

  1. 16.3.1 ヒト血漿タンパク結合率は、73.3~76.3%であり、性差は認められなかった10)in vitro)。
  2. 16.3.2 ラットに経口単回投与した後の全身オートラジオグラム及び組織中放射能濃度測定結果から、投与後15分に食道、肝臓、消化管及びその内容物に高い放射能の分布が認められた。また、投与後168時間では肝臓、腎臓、甲状腺及び腸内容物に放射能が認められた10)

16.4 代謝

  1. 16.4.1 in vitro試験、代謝

    in vitro代謝評価系による検討から、主代謝酵素はCYP3A4であった11)

16.5 排泄

  1. 16.5.1 健康成人男子(6例)を対象に、トリチウムで標識したナルフラフィン塩酸塩を静脈内単回投与した時の薬物動態を検討したところ、投与後14日間での糞中排泄率は56.0%、尿中の排泄率は36.2%で、累積排泄率は92.2%となった。尿中では主に未変化体として、糞中では主に脱シクロプロピルメチル体として排泄された 12)。主代謝物は脱シクロプロピルメチル体であり、その他にグルクロン酸抱合体が認められた(外国人データ)。
  2. 16.5.2 4種の透析膜を用いて透析による除去について検討したところ、未変化体の透析膜面積1.5m2換算クリアランスは44.6~61.8mL/minと算出され、健康成人男子における未変化体の腎クリアランス170~210mL/minと比較すると小さいものの、未変化体は膜種に関係なく透析により除去されるものと考えられた。また、代謝物(脱シクロプロピルメチル体及びグルクロン酸抱合体)についても膜種に関係なく除去されるものと考えられた10)

16.7 薬物相互作用

  1. 16.7.1 ケトコナゾール(経口剤:国内未発売)との併用

    健康成人男子(22例)を対象に、ナルフラフィン塩酸塩(液剤)10μgを単独で経口単回投与した時とケトコナゾールを反復投与で併用した時、AUC0-∞はケトコナゾールを併用することにより160.5%となり、ケトコナゾールはナルフラフィン塩酸塩の薬物動態に影響した13)(外国人データ)。

    (注)通常1回投与量は2.5μgである。

  2. 16.7.2 in vitro試験、代謝

    ナルフラフィン塩酸塩のAUCに及ぼす影響についてin vitro代謝評価系を用いて検討したところ、そのAUCはケトコナゾール併用時に最大5.5倍、ミデカマイシン併用時に最大2.5倍、シクロスポリン併用時に最大2.3倍となる可能性が示された14)

  3. 16.7.3 ヒトP糖タンパク(MDR1)発現LLC-PK1細胞を用いたin vitro試験

    ナルフラフィン塩酸塩はP糖タンパクの基質であるが、P糖タンパクを介したジゴキシンの輸送に影響を及ぼさないことが示された10)。一方、ナルフラフィン塩酸塩のP糖タンパクを介した輸送はケトコナゾール、ベラパミル塩酸塩、シクロスポリン、タクロリムス、セチリジン塩酸塩により阻害されることが示された15)

  4. 16.7.4 非吸収性薬剤とのin vitro吸着試験

    ナルフラフィン塩酸塩の高リン血症治療剤であるセベラマー塩酸塩(陰イオン交換樹脂系薬剤)に対する吸着率は11.9~14.7%16)、高カリウム血症治療剤であるポリスチレンスルホン酸ナトリウム(陽イオン交換樹脂系薬剤)に対する吸着率は62.4~72.7%16)、ポリスチレンスルホン酸カルシウム(陽イオン交換樹脂系薬剤)に対する吸着率は98.8~98.9%17)であった。

16.8 その他

  1. 16.8.1 血液透析の影響

    ナルフラフィン塩酸塩(カプセル)投与時の血漿中濃度に対する透析回数(週1, 2, 3回)、透析時間(2, 4, 6時間)、透析の実施時期(午前、午後、夜間)、投与から透析までの間隔(4, 8, 12時間)の影響をシミュレーションにより検討した結果、投与から透析までの間隔が4時間以内の血液透析では血漿中濃度が低下する可能性があるが、8時間以上の血液透析では影響はないと考えられた。その他の項目については血漿中濃度に影響はないと考えられた18),

17. 臨床成績

17.1 有効性及び安全性に関する試験

ナルフラフィン塩酸塩(カプセル)の成績を以下に示す。

  • 〈血液透析患者におけるそう痒症の改善の場合〉
    1. 17.1.1 国内第III相試験

      既存治療抵抗性のそう痒症を有する血液透析患者337例を対象に、1日1回、14日間経口反復投与した際の有効性を、かゆみの指標であるVAS(Visual Analogue Scale)を用い、多施設二重盲検比較試験により検討した。その結果、投与前後でのVAS変化量において、2.5μg及び5μg投与群で有効性が確認された19),20)

      2.5μg投与時の臨床成績

      例数

      平均VAS値
      ±標準偏差

      共分散分析
      (片側2.5%検定)

      投与前
      (mm)

      投与後
      (mm)

      プラセボ群との差9)
      (mm)
      [95%信頼区間]

      p値

      プラセボ群

      111

      73.78
      ±11.47

      58.55
      ±22.06

      9.13
      [3.78, 14.49]

      p=0.0005

      2.5μg投与群

      112

      76.71
      ±11.79

      52.19
      ±23.71

      5μg投与時の臨床成績

      例数

      平均VAS値
      ±標準偏差

      共分散分析
      (片側2.5%検定)

      投与前
      (mm)

      投与後
      (mm)

      プラセボ群との差9)
      (mm)
      [95%信頼区間]

      p値

      プラセボ群

      111

      73.78
      ±11.47

      58.55
      ±22.06

      8.26
      [3.05, 13.47]

      p=0.0010

      5μg投与群

      114

      73.03
      ±11.54

      49.63
      ±22.30

      9) 投与前の平均VAS値を共変量とした共分散分析により調整済みの点推定値

      副作用発現率は、2.5μg群で25.0%(28/112例)、5μg群で35.1%(40/114例)であった。主な副作用は、2.5μg群で不眠7.1%(8/112例)、眠気4.5%(5/112例)、便秘及びプロラクチン上昇2.7%(3/112例)、5μg群で不眠14.0%(16/114例)、便秘7.0%(8/114例)、眠気3.5%(4/114例)、そう痒の悪化、プロラクチン上昇及び甲状腺刺激ホルモン上昇2.6%(3/114例)であった。

    2. 17.1.2 国内第III相試験(長期投与試験)

      既存治療抵抗性のそう痒症を有する血液透析患者211例を対象に、1日1回、ナルフラフィン塩酸塩5μgを52週間経口反復投与した際の有効性を、VASを用い、オープン試験により検討した。その結果、投与前後でのVAS変化量において、有効性が確認された21)

      長期投与時の臨床成績

      投与前

      2週目

      4週目

      12週目

      24週目

      36週目

      52週目

      例数

      211

      208

      198

      184

      163

      155

      145

      平均VAS値
      ±標準偏差
      (mm)

      75.22
      ±12.41

      50.95
      ±24.38

      47.17
      ±25.32

      39.39
      ±25.83

      33.60
      ±27.73

      31.85
      ±24.91

      30.87
      ±25.92

      (平均値±標準偏差)

      ナルフラフィン塩酸塩の依存性について、精神依存及び身体依存を示す症例は認められなかった。また耐性が211例中5例に認められている21)
      副作用発現率は、48.8%(103/211例)であった。主な副作用は、不眠症19.4%(41/211例)、便秘7.1%(15/211例)、プロラクチン上昇3.3%(7/211例)、眠気2.4%(5/211例)であった。

  • 〈腹膜透析患者におけるそう痒症の改善の場合〉
    1. 17.1.3 *国内第III相試験

      既存治療抵抗性のそう痒症を有する腹膜透析患者37例を対象に、ナルフラフィン塩酸塩2.5μgを2週間、続いて5μgを2週間経口反復投与した際の有効性を、かゆみの指標であるVASを用い、非盲検非対照試験により検討した。その結果、2.5μg投与期間2週目(LOCF10))における投与前後でのVAS変化量の平均値は24.93mm(90%信頼区間:18.67,31.19mm)であり、90%信頼区間の下限値は、事前に設定されたVAS変化量の閾値(15.24mm)を上回った22)

      10) LOCF:Last Observation Carried Forward

      副作用発現率は、45.9%(17/37例)であった。主な副作用は、不眠及びプロラクチン上昇13.5%(5/37例)、眠気及びテストステロン低下8.1%(3/37例)、嘔吐5.4%(2/37例)であった。

  • 〈慢性肝疾患患者におけるそう痒症の改善の場合〉
    1. 17.1.4 *国内第III相試験

      抗ヒスタミン薬又は抗アレルギー薬による治療が奏効しない難治性のそう痒症を有する慢性肝疾患患者11)317例を対象に、1日1回、12週間経口反復投与した際の有効性を、かゆみの指標であるVASを用い、多施設二重盲検比較試験により検討した。主要評価項目は、投与期間4週目(LOCF)のVAS変化量とした。その結果、投与前後でのVAS変化量において、2.5μg及び5μg投与群で有効性が確認された23),24)

      11) 原疾患が確定しており、肝臓の炎症が6ヵ月以上持続している又は画像診断により肝炎からさらに病態が進展した状態にあると判断された肝疾患患者

      2.5μg投与時の臨床成績

      例数

      平均VAS値
      ±標準偏差

      共分散分析
      (片側2.5%検定)

      投与前
      (mm)

      投与後
      (mm)

      プラセボ群との差12)
      (mm)
      [95%信頼区間]

      p値

      プラセボ群

      103

      77.26
      ±10.50

      58.02
      ±24.11

      9.31
      [2.94, 15.69]

      p=0.0022

      2.5μg投与群

      105

      77.30
      ±11.04

      48.74
      ±25.27

      5μg投与時の臨床成績

      例数

      平均VAS値
      ±標準偏差

      共分散分析
      (片側2.5%検定)

      投与前
      (mm)

      投与後
      (mm)

      プラセボ群との差12)
      (mm)
      [95%信頼区間]

      p値

      プラセボ群

      103

      77.26
      ±10.50

      58.02
      ±24.11

      8.2213)
      [1.88, 14.55]

      p=0.0056

      5μg投与群

      109

      77.29
      ±11.07

      49.79
      ±25.5013)

      12) 投与前の平均VAS値を共変量とした共分散分析により調整済みの点推定値

      13) 108例

      副作用発現率は、2.5μg群で60.0%(63/105例)、5μg群で54.1%(59/109例)であった。主な副作用は、2.5μg群でプロラクチン上昇13.3%(14/105例)、抗利尿ホルモン上昇及び総胆汁酸上昇7.6%(8/105例)、甲状腺刺激ホルモン上昇6.7%(7/105例)、不眠症、頻尿・夜間頻尿及び眠気5.7%(6/105例)、5μg群で、頻尿・夜間頻尿、便秘、眠気、プロラクチン上昇及び抗利尿ホルモン上昇7.3%(8/109例)、浮動性めまい5.5%(6/109例)であった。

    2. 17.1.5 *国内第III相試験(長期投与試験)

      抗ヒスタミン薬又は抗アレルギー薬による治療が奏効しない難治性のそう痒症を有する慢性肝疾患患者14)122例を対象に、1日1回、ナルフラフィン塩酸塩5μgを52週間経口反復投与した際の有効性を、VASを用い、オープン試験により検討した。その結果、投与前後でのVAS変化量において有効性が確認された25)

      14) 原疾患が確定しており、肝臓の炎症が6ヵ月以上持続している又は画像診断により肝炎からさらに病態が進展した状態にあると判断された肝疾患患者

      長期投与時の臨床成績

      投与前

      2週目

      4週目

      12週目

      24週目

      36週目

      52週目

      例数

      122

      122

      121

      116

      110

      103

      99

      平均VAS値
      ±標準偏差
      (mm)

      78.05
      ±11.73

      56.70
      ±24.57

      50.09
      ±26.94

      42.88
      ±28.61

      37.67
      ±27.23

      31.31
      ±25.43

      27.77
      ±24.73

      (平均値±標準偏差)

      ナルフラフィン塩酸塩の依存性について、精神依存を示す症例は認められなかった。また、122例中、身体依存が1例、耐性が4例に認められている25)
      副作用発現率は、75.4%(92/122例)であった。主な副作用は、頻尿・夜間頻尿13.1%(16/122例)、プロラクチン上昇11.5%(14/122例)、便秘10.7%(13/122例)、浮動性めまい7.4%(9/122例)、抗利尿ホルモン上昇6.6%(8/122例)、総胆汁酸上昇5.7%(7/122例)であった。

18. 薬効薬理

18.1 作用機序

ヒトオピオイド受容体発現細胞を用いたin vitroの受容体結合試験及び受容体作動性試験の結果から、選択的なオピオイドκ受容体作動薬であることが示されている26)

ヒトオピオイド受容体結合試験及び作動性試験成績

試験項目

κ

μ

δ

κ:μ:δ比

結合試験
Ki値(nmol/L)

0.244±0.0256

2.21±0.214

484±59.6

1:9:1984

作動性試験
EC50(nmol/L)

0.00816±0.00138

1.66±0.09

21.3±1.0

1:203:2610

(平均値±標準誤差)

また、in vitro試験において、ヒスタミン受容体を含むオピオイド受容体以外の種々の受容体、トランスポーター及びイオンチャネルに結合せず、肥満細胞からの脱顆粒反応に対しても抑制作用を示さなかった26),27)。さらにサブスタンスP皮内投与誘発マウス引っ掻き行動抑制作用は、オピオイドκ受容体拮抗薬であるノルビナルトルフィミン(nor-BNI)の脳室内投与により完全に拮抗された28)

18.2 そう痒に対する作用

既存の止痒薬である抗ヒスタミン薬が有効なヒスタミン皮内投与誘発マウス引っ掻き行動及び抗ヒスタミン薬が効き難いサブスタンスP皮内投与誘発マウス引っ掻き行動を抑制した29)。また、抗ヒスタミン薬が無効な中枢性のかゆみモデルであるモルヒネ大槽内投与誘発マウス引っ掻き行動も抑制した28)

18.3 依存性

ラット退薬症候観察10)においてモルヒネで認められた退薬症候をほとんど示さなかったことから、本薬の身体依存性は弱く、サル自己投与試験10)において強化効果が認められなかったことから、精神依存性はないと考えられている。

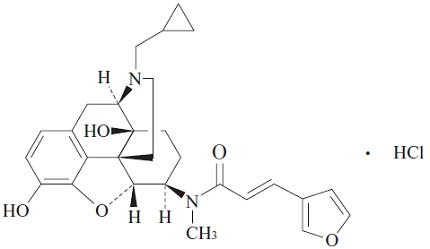
19. 有効成分に関する理化学的知見

一般的名称

ナルフラフィン塩酸塩(Nalfurafine Hydrochloride)

化学名

(2E)-N-[(5R,6R)-17-(Cyclopropylmethyl)-4,5-epoxy-3,14-dihydroxymorphinan-6-yl]-3-(furan-3-yl)-N-methylprop-2-enamide monohydrochloride

分子式

C28H32N2O5・HCl

分子量

513.03

性状

・白色~ごくうすい黄色の粉末である。

化学構造式

22. 包装

14枚、140枚

23. 主要文献

1) 血液透析患者における薬物動態の検討(レミッチカプセル:2009年1月21日承認、CTD2.7.6)(L20200002)

2) *腹膜透析患者における薬物動態の検討(レミッチカプセル・OD錠、ノピコールカプセル:2017年9月22日承認、審査報告書)(L20201661)

3) *代償性肝硬変患者における薬物動態の検討(ノピコールカプセル:2014年12月26日承認、CTD2.7.6.7)(L20201662)

4) *Child-Pugh分類グレードBの肝硬変患者における薬物動態の検討(ノピコールカプセル:2014年12月26日承認、CTD2.7.6.8)(L20201663)

5) *中等度以上の肝機能障害患者に対する本剤の投与について(ノピコールカプセル:2014年12月26日承認、審査報告書)(L20201664)

6) 社内資料:生物学的同等性試験(水あり)

7) 社内資料:生物学的同等性試験(水なし)

8) 健康成人における食事の影響の検討(レミッチカプセル:2009年1月21日承認、CTD2.7.6)(L20200002)

9) 健康成人における食事の影響の検討(レミッチカプセル:2009年1月21日承認、審査報告書)(L20201665)

10) 中尾薫 他:日本薬理学雑誌.2010;135(5):205-214(L20200695)

11) Ando, A. et al.:Biopharm. Drug Dispos. 2012;33(5):257-264(L20200696)

12) 健康成人における吸収、代謝、排泄の検討(レミッチカプセル:2009年1月21日承認、CTD2.7.6)(L20200002)

13) 健康成人における薬物相互作用の検討(レミッチカプセル:2009年1月21日承認、CTD2.7.6)(L20200002)

14) 薬物相互作用の検討(レミッチカプセル:2009年1月21日承認、CTD2.6.4.7)(L20201666)

15) ヒトP糖タンパク(MDR1)発現LLC-PK1細胞を用いたin vitro試験(ノピコールカプセル: 2014年12月26日承認、CTD2.6.4.7)(L20201667)

16) 非吸収性薬剤(吸着剤)との薬物相互作用の検討(ノピコールカプセル:2014年12月26日承認、CTD 2.6.4.7)(L20201667)

17) 非吸収性薬剤(吸着剤)との薬物相互作用の検討(2)(レミッチカプセル・OD錠、ノピコールカプセル:2017年9月22日承認、審査報告書)(L20201661)

18) 血液透析の影響(レミッチカプセル:2009年1月21日承認、審査報告書)(L20201665)

19) 血液透析患者におけるそう痒症に対する効果の検討(検証的試験)(レミッチカプセル:2009年1月21日承認、CTD2.7.6)(L20200002)

20) 血液透析患者におけるそう痒症に対する効果の検討(検証的試験)(レミッチカプセル:2009年1月21日承認、審査報告書)(L20201665)

21) 血液透析患者におけるそう痒症に対する効果の検討(長期投与試験)(レミッチカプセル: 2009年1月21日承認、CTD2.7.6)(L20200002)

22) *腹膜透析患者におけるそう痒症に対する効果の検討(一般臨床試験)(レミッチカプセル・OD錠、ノピコールカプセル:2017年9月22日承認、審査報告書)(L20201661)

23) *慢性肝疾患患者におけるそう痒症に対する効果の検討(検証的試験)(ノピコールカプセル:2014年12月26日承認、CTD2.7.6.13)(L20201668)

24) *慢性肝疾患患者におけるそう痒症に対する効果の検討(検証的試験)(ノピコールカプセル:2014年12月26日承認、審査報告書)(L20201664)

25) *慢性肝疾患患者におけるそう痒症に対する効果の検討(長期投与試験)(ノピコールカプセル:2014年12月26日承認、CTD2.7.6.14)(L20201669)

26) 中尾薫 他:日本神経精神薬理学雑誌.2008;28(2):75-83(L20200001)

27) 各種受容体、トランスポーターおよびイオンチャンネルに対する結合試験(ノピコールカプセル:2014年12月26日承認、CTD2.6.2.2)(L20201670)

28) Umeuchi, H. et al.:Eur. J. Pharmacol. 2003;477(1):29-35(L20200697)

29) Togashi, Y. et al.:Eur. J. Pharmacol. 2002;435(2-3):259-264(L20200698)

24. 文献請求先及び問い合わせ先

ニプロ株式会社 医薬品情報室

**〒566-8510 大阪府摂津市千里丘新町3番26号

**TEL 0120-226-898
FAX 050-3535-8939

26. 製造販売業者等

26.1 製造販売元

ニプロ株式会社

**大阪府摂津市千里丘新町3番26号

〒100-0013 東京都千代田区霞が関3-3-2 新霞が関ビル

画面を閉じる

Copyright © Pharmaceuticals and Medical Devices Agency, All Rights reserved.