医療用医薬品 詳細表示

トリクロルメチアジド錠1mg「NP」/トリクロルメチアジド錠2mg「NP」

処方せん医薬品

添付文書番号
企業コード
作成又は改訂年月
日本標準商品分類番号
薬効分類名
承認等
一般的名称
2.禁忌(次の患者には投与しないこと)
3.組成・性状
3.1組成
3.2製剤の性状
4.効能・効果
6.用法・用量
8.重要な基本的注意
9.特定の背景を有する患者に関する注意
9.1合併症・既往歴等のある患者
9.2腎機能障害患者
9.3肝機能障害患者
9.5妊婦
9.6授乳婦
9.7小児等
9.8高齢者
10.相互作用
10.1併用禁忌(併用しないこと)
10.2併用注意(併用に注意すること)
11.副作用
11.1重大な副作用
11.2その他の副作用
12.臨床検査結果に及ぼす影響
14.適用上の注意
15.その他の注意
15.1臨床使用に基づく情報
16.薬物動態
16.1血中濃度
16.3分布
16.4代謝
16.5排泄
16.7薬物相互作用
16.8その他
17.臨床成績
17.3その他
18.薬効薬理
18.1作用機序
18.2利尿作用
18.3血圧日内変動リズム
19.有効成分に関する理化学的知見
22.包装
23.主要文献
24.文献請求先及び問い合わせ先
26.製造販売業者等

トリクロルメチアジド錠1mg「NP」/トリクロルメチアジド錠2mg「NP」

添付文書番号

2132003F1400_4_06

企業コード

530100

作成又は改訂年月

2025年5月改訂(第2版)
2023年10月改訂(第1版)

日本標準商品分類番号

872132

薬効分類名

チアジド系降圧利尿剤

承認等

トリクロルメチアジド錠1mg「NP」

販売名コード

YJコード

2132003F3020

販売名英語表記

Trichlormethiazide Tablets

販売名ひらがな

とりくろるめちあじどじょう1mg「NP」

承認番号等

承認番号

22100AMX00344

販売開始年月

2009年5月

貯法・有効期間

貯法

室温保存

有効期間

3年

基準名

日本薬局方

トリクロルメチアジド錠

トリクロルメチアジド錠2mg「NP」

販売名コード

YJコード

2132003F1400

販売名英語表記

Trichlormethiazide Tablets

販売名ひらがな

とりくろるめちあじどじょう2mg「NP」

承認番号等

承認番号

22100AMX00345

販売開始年月

2009年5月

貯法・有効期間

貯法

室温保存

有効期間

3年

基準名

日本薬局方

トリクロルメチアジド錠

一般的名称

トリクロルメチアジド錠

2. 禁忌(次の患者には投与しないこと)

  1. 2.1 無尿の患者[本剤の効果が期待できない。]
  2. 2.2 急性腎不全の患者
  3. 2.3 体液中のナトリウム、カリウムが明らかに減少している患者[低ナトリウム血症、低カリウム血症等の電解質失調を悪化させるおそれがある。],
  4. 2.4 チアジド系薬剤又はその類似化合物(例えばクロルタリドン等のスルホンアミド誘導体)に対する過敏症の既往歴のある患者
  5. 2.5 デスモプレシン酢酸塩水和物(男性における夜間多尿による夜間頻尿)を投与中の患者

3. 組成・性状

3.1 組成

トリクロルメチアジド錠1mg「NP」

有効成分1錠中
日本薬局方 トリクロルメチアジド   1mg
添加剤乳糖水和物、トウモロコシデンプン、結晶セルロース、低置換度ヒドロキシプロピルセルロース、ステアリン酸マグネシウム

トリクロルメチアジド錠2mg「NP」

有効成分1錠中
日本薬局方 トリクロルメチアジド   2mg
添加剤乳糖水和物、トウモロコシデンプン、結晶セルロース、低置換度ヒドロキシプロピルセルロース、ステアリン酸マグネシウム、三二酸化鉄

3.2 製剤の性状

トリクロルメチアジド錠1mg「NP」

外形表面
裏面
側面
大きさ直径6.5mm
厚さ2.3mm
重量100mg
識別コードNP-122
性状白色の素錠

トリクロルメチアジド錠2mg「NP」

外形表面
裏面
側面
大きさ直径8.0mm
厚さ3.3mm
重量200mg
識別コードNP-135
性状微赤色の割線入り素錠

4. 効能・効果

高血圧症(本態性、腎性等)、悪性高血圧、心性浮腫(うっ血性心不全)、腎性浮腫、肝性浮腫、月経前緊張症

6. 用法・用量

通常、成人にはトリクロルメチアジドとして1日2~8mgを1~2回に分割経口投与する。
なお、年齢、症状により適宜増減する。
ただし、高血圧症に用いる場合には少量から投与を開始して徐々に増量すること。また、悪性高血圧に用いる場合には、通常、他の降圧剤と併用すること。

8. 重要な基本的注意

  1. 8.1 本剤の利尿効果は急激にあらわれることがあるので、電解質失調、脱水に十分注意し、少量から投与を開始して、徐々に増量すること。
  2. 8.2 連用する場合、電解質失調があらわれることがあるので定期的に検査を行うこと。
  3. 8.3 夜間の休息が特に必要な患者には、夜間の排尿を避けるため、午前中に投与することが望ましい。
  4. 8.4 降圧作用に基づくめまい、ふらつきがあらわれることがあるので、高所作業、自動車の運転等危険を伴う機械を操作する際には注意させること。

9. 特定の背景を有する患者に関する注意

9.1 合併症・既往歴等のある患者

  1. 9.1.1 重篤な冠動脈硬化症又は脳動脈硬化症のある患者

    急激な利尿があらわれた場合、急速な血漿量減少、血液濃縮を来し、血栓塞栓症を誘発するおそれがある。

  2. 9.1.2 本人又は両親、兄弟に痛風、糖尿病のある患者

    高尿酸血症、高血糖症を来し、痛風、血糖値の悪化や顕性化のおそれがある。

  3. 9.1.3 下痢、嘔吐のある患者

    電解質失調を起こすおそれがある。

  4. 9.1.4 高カルシウム血症、副甲状腺機能亢進症のある患者

    血清カルシウムを上昇させるおそれがある。

  5. 9.1.5 減塩療法時の患者

    低ナトリウム血症等の電解質失調を起こすおそれがある。

  6. 9.1.6 交感神経切除後の患者

    本剤の降圧作用が増強される。

9.2 腎機能障害患者

  1. 9.2.1 急性腎不全の患者

    投与しないこと。腎機能を更に悪化させるおそれがある。

  2. 9.2.2 重篤な腎障害のある患者

    腎機能を更に悪化させるおそれがある。

9.3 肝機能障害患者

  1. 9.3.1 進行した肝硬変症のある患者

    肝性昏睡を誘発することがある。

  2. 9.3.2 肝疾患・肝機能障害のある患者

    肝機能を更に悪化させるおそれがある。

9.5 妊婦

妊娠後期には治療上の有益性が危険性を上回ると判断される場合にのみ投与すること。チアジド系薬剤では、新生児又は乳児に高ビリルビン血症、血小板減少等を起こすことがある。また、利尿効果に基づく血漿量減少、血液濃縮、子宮・胎盤血流量減少があらわれることがある。

9.6 授乳婦

授乳しないことが望ましい。類薬において、ヒトで母乳中に移行することが報告されている。

9.7 小児等

乳児は電解質のバランスがくずれやすい。

9.8 高齢者

以下の点に注意し、少量から投与を開始するなど慎重に投与すること。

  • 急激な利尿は血漿量の減少を来し、脱水、低血圧等による立ちくらみ、めまい、失神等を起こすことがある。
  • 特に心疾患等のある高齢者では、急激な利尿があらわれた場合、急速な血漿量減少、血液濃縮を来し、血栓塞栓症を誘発するおそれがある。
  • 一般に過度の降圧は好ましくないとされている。脳梗塞等が起こるおそれがある。
  • 低ナトリウム血症、低カリウム血症があらわれやすい。

10. 相互作用

    10.1 併用禁忌(併用しないこと)

    薬剤名等臨床症状・措置方法機序・危険因子
    • デスモプレシン酢酸塩水和物
      • ミニリンメルト(男性における夜間多尿による夜間頻尿)

    低ナトリウム血症が発現するおそれがある。

    いずれも低ナトリウム血症が発現するおそれがある。

    10.2 併用注意(併用に注意すること)

    薬剤名等臨床症状・措置方法機序・危険因子
    • バルビツール酸誘導体
    • アヘンアルカロイド系麻薬
    • アルコール

    臨床症状:起立性低血圧を増強することがある。

    これらの薬剤は血管拡張作用を有するので、チアジド系利尿剤の降圧作用が増強されると考えられる。

    • 昇圧アミン
      • ノルアドレナリン、アドレナリン

    昇圧アミンの作用を減弱するおそれがあるので、手術前の患者に使用する場合には、本剤の一時休薬等を行うこと。

    血管壁の反応性の低下及び交感神経終末からの生理的ノルアドレナリンの放出抑制が起こることが、動物試験で報告されている。

    • ツボクラリン及びその類似作用物質
      • ツボクラリン塩化物

    麻痺作用を増強することがあるので、手術前の患者に使用する場合には、本剤の一時休薬等の処置を行うこと。

    利尿剤による血清カリウム値の低下により、これらの薬剤の神経・筋遮断作用が増強されると考えられている。

    • 他の降圧剤
      • ACE阻害剤、β遮断剤

    降圧作用を増強するおそれがあるので、降圧剤の用量調節等に注意すること。

    作用機序が異なる降圧剤との併用により、降圧作用が増強されるとの報告がある。

    • ジギタリス剤
      • ジゴキシン、ジギトキシン

    臨床症状:ジギタリスの心臓に対する作用を増強し、ジギタリス中毒を起こすおそれがある。

    措置方法:血清カリウム値、ジギタリス血中濃度等に注意すること。

    チアジド系利尿剤による血清カリウム値の低下により、多量のジギタリスが心筋Na+-K+ATPaseに結合し、心収縮力増強と不整脈が起こる。

    • 糖質副腎皮質ホルモン剤
    • ACTH

    臨床症状:低カリウム血症が発現するおそれがある。

    共にカリウム排泄作用を有する。

    • グリチルリチン製剤
    • 甘草含有製剤

    血清カリウム値の低下があらわれやすくなる。

    これらの薬剤は低カリウム血症を主徴とした偽アルドステロン症を引き起こすことがあり、本剤との併用により低カリウム血症を増強する可能性がある。

    • 糖尿病用剤
      • SU剤、インスリン

    糖尿病用剤の作用を著しく減弱するおそれがある。

    機序は明確ではないが、チアジド系利尿剤によるカリウム喪失により膵臓のβ細胞のインスリン放出が低下すると考えられている。

    • リチウム
      • 炭酸リチウム

    臨床症状:リチウム中毒(振戦、消化器愁訴等)が増強される。

    措置方法:血清リチウム濃度の測定を行うなど注意すること。

    チアジド系利尿剤は遠位尿細管でナトリウムの再吸収を抑制するが、長期投与では近位尿細管で代償的にナトリウム、リチウムの再吸収を促進し、リチウムの血中濃度が上昇する。

    • コレスチラミン

    利尿降圧作用が減弱される。

    コレスチラミンの吸着作用により、利尿剤の吸収が阻害される。

    • 非ステロイド系消炎鎮痛剤
      • インドメタシン等

    利尿降圧作用が減弱されることがある。

    非ステロイド系消炎鎮痛剤のプロスタグランジン合成酵素阻害作用による腎内プロスタグランジンの減少が、水・ナトリウムの体内貯留を引き起こし、利尿剤の作用と拮抗する。

    11. 副作用

    次の副作用があらわれることがあるので、観察を十分に行い、異常が認められた場合には投与を中止するなど適切な処置を行うこと。

    11.1 重大な副作用

    1. 11.1.1 再生不良性貧血(0.1%未満)
    2. 11.1.2 低ナトリウム血症(頻度不明)

      倦怠感、食欲不振、嘔気、嘔吐、痙攣、意識障害等を伴う低ナトリウム血症があらわれることがある。,

    3. 11.1.3 低カリウム血症(頻度不明)

      倦怠感、脱力感、不整脈等を伴う低カリウム血症があらわれることがある。

    4. 11.1.4 間質性肺炎(頻度不明)

    11.2 その他の副作用

    5%以上又は頻度不明

    0.1~5%未満

    0.1%未満

    過敏症

    発疹、顔面潮紅、光線過敏症

    血液

    白血球減少、血小板減少、紫斑

    代謝異常

    電解質失調(低クロール性アルカローシス、血中カルシウムの上昇等)、血清脂質増加、高尿酸血症、高血糖症

    肝臓

    肝炎

    消化器

    食欲不振、悪心・嘔吐、口渇、腹部不快感、便秘

    胃痛、膵炎、下痢、唾液腺炎

    精神神経系

    眩暈、頭痛

    知覚異常

    視力異常(霧視等)、黄視症

    その他

    倦怠感、動悸

    鼻閉、全身性紅斑性狼瘡の悪化、筋痙攣

    12. 臨床検査結果に及ぼす影響

    甲状腺障害のない患者の血清PBIを低下させることがある。

    14. 適用上の注意

    14.1 薬剤交付時の注意

    PTP包装の薬剤はPTPシートから取り出して服用するよう指導すること。PTPシートの誤飲により、硬い鋭角部が食道粘膜へ刺入し、更には穿孔をおこして縦隔洞炎等の重篤な合併症を併発することがある。

    15. その他の注意

    15.1 臨床使用に基づく情報

    *他のチアジド系薬剤において、急性近視、閉塞隅角緑内障、脈絡膜滲出があらわれたとの報告がある。

    16. 薬物動態

    16.1 血中濃度

    1. 16.1.1 軽・中等症本態性高血圧症患者9例(食塩摂取量を7~10g/日に制限)に、トリクロルメチアジド4mgを1日1回朝食後(8時)に1週間経口投与し、第6日に採血した。血漿中濃度は、投与約3時間後に最高値0.088±0.010μg/mL(平均値±標準誤差)に達し、以後漸減し、8時間後では0.027±0.005μg/mLであった1)
    2. 16.1.2 生物学的同等性試験

      トリクロルメチアジド錠1mg「NP」2錠とフルイトラン錠2mg 1錠(トリクロルメチアジドとして2mg)を、クロスオーバー法により健康成人男子に絶食単回経口投与して血漿中未変化体濃度を測定した。得られた薬物動態パラメータ(AUC0→24hr、Cmax)について90%信頼区間法にて統計解析を行った結果、log(0.80)~log(1.25)の範囲内であり、両剤の生物学的同等性が確認された2)

      薬物動態パラメータ

      判定パラメータ

      参考パラメータ

      AUC0→24hr
      (ng・hr/mL)

      Cmax
      (ng/mL)

      Tmax
      (hr)

      t1/2
      (hr)

      トリクロルメチアジド錠1mg「NP」

      181.6±40.6

      47.79±9.82

      2.000±0.816

      1.58±0.16

      フルイトラン錠2mg

      169.8±32.5

      47.77±10.58

      1.750±0.683

      1.63±0.15

      (Mean±S.D., n=16)

      血漿中トリクロルメチアジド濃度推移

      血漿中濃度並びにAUC、Cmax等のパラメータは、被験者の選択、体液の採取回数・時間等の試験条件によって異なる可能性がある。

    16.3 分布

    イヌ血漿を用いたin vitro試験系で、血漿蛋白結合率は約85%であった3)

    16.4 代謝

    トリクロルメチアジドは、ヒト肝細胞を用いたin vitro試験系ではほとんど代謝を受けなかった4)

    16.5 排泄

    軽・中等症本態性高血圧症患者9例(食塩摂取量を7~10g/日に制限)に、トリクロルメチアジド4mgを1日1回朝食後(8時)に1週間経口投与し、第7日に採尿した。24時間後までの尿中累積排泄率は68.2±4.3%(平均値±標準誤差)であった1)

    16.7 薬物相互作用

    ヒト肝ミクロソームを用いたin vitro試験系で、CYP活性に対するトリクロルメチアジドの阻害作用について検討した結果、CYP1A2、CYP2B6、CYP2C8、CYP2C9、CYP2C19、CYP2D6、CYP2E1及びCYP3A4/5を阻害しなかった5)

    16.8 その他

      トリクロルメチアジド錠2mg「NP」は、トリクロルメチアジド錠1mg「NP」を標準製剤としたとき、溶出挙動が同等と判断され、生物学的に同等とみなされた6)

      17. 臨床成績

      17.3 その他

      1. 17.3.1 長期投与時の血圧等への影響

        60歳以上の老年者高血圧症患者を2群に層別し、70例にトリクロルメチアジドを1日4mg投与し、51例を対照として、最長5年間にわたり降圧効果等を検討した。
        血圧は観察期及び対照群に比べて、収縮期、拡張期血圧とも有意な下降を示し、5年間にわたり降圧効果が維持された。
        また脳出血、心不全の発現は対照群に比べてトリクロルメチアジド投与群で少ない傾向を示した。脳・心血管系疾患の発症全体でも同様の傾向を示した7)

      18. 薬効薬理

      18.1 作用機序

      遠位尿細管曲部の管腔側に局在するNa+-Cl-共輸送体を阻害することによりNa+、Cl-の再吸収を抑制し、尿中への排泄を増加させる。これに伴って水の排泄が増加する8)

      降圧剤としての作用機序は明らかではないが、トリクロルメチアジドの脱塩・利尿作用により、循環血液量を減少させる、あるいは交感神経刺激に対する末梢血管の感受性を低下させることにより、血圧が下降すると考えられている9),10)

      18.2 利尿作用

      試験5日前より1日の食塩摂取量を10gに制限した健康成人(男性、35歳)に、早朝起床時より約60分間隔で2回の対照尿を採取した後、トリクロルメチアジド8mgを少量の水と共に単回経口投与し、以後約30分ごとに尿を採取した。
      投与後100分以内に最大利尿を示し、利尿作用は約6~7時間持続した。Na+、Cl-の尿中排泄増加はほぼ等しかった。K+の尿中排泄増加は少なかった11)

      18.3 血圧日内変動リズム

      軽・中等症本態性高血圧症患者36例にトリクロルメチアジド錠4mgを1日1回朝食後に2週間経口投与し、血圧及び脈拍数の経日変動、最終日の脈拍数と日内変動を測定した。
      血圧値はいずれも観察期に比して下降したが、脈拍数は差を認めなかった。
      また、血圧日内変動リズムは観察期との差を認めなかった12)

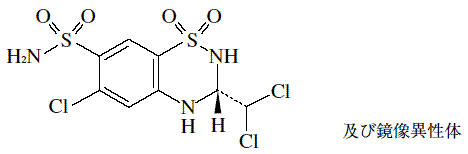
      19. 有効成分に関する理化学的知見

      一般的名称

      トリクロルメチアジド(Trichlormethiazide)

      化学名

      (3RS)-6-Chloro-3-dichloromethyl-3,4-dihydro-2H-1,2,4-benzothiadiazine-7-sulfonamide 1,1-dioxide

      分子式

      C8H8Cl3N3O4S2

      分子量

      380.66

      性状

      ・白色の粉末である。
      N,N-ジメチルホルムアミド又はアセトンに溶けやすく、アセトニトリル又はエタノール(95)に溶けにくく、水にほとんど溶けない。
      ・アセトン溶液(1→50)は旋光性を示さない。
      ・融点:約270℃(分解)。

      化学構造式

      22. 包装

      • トリクロルメチアジド錠1mg「NP」

        100錠[10錠(PTP)×10]
        500錠[10錠(PTP)×50]

      • トリクロルメチアジド錠2mg「NP」

        100錠[10錠(PTP)×10]
        500錠[10錠(PTP)×50]

      24. 文献請求先及び問い合わせ先

      ニプロ株式会社 医薬品情報室

      〒566-8510 大阪府摂津市千里丘新町3番26号

      TEL 0120-226-898
      FAX 050-3535-8939

      26. 製造販売業者等

      26.1 製造販売元

      ニプロ株式会社

      大阪府摂津市千里丘新町3番26号

      〒100-0013 東京都千代田区霞が関3-3-2 新霞が関ビル

      画面を閉じる

      Copyright © Pharmaceuticals and Medical Devices Agency, All Rights reserved.