医療用医薬品 詳細表示

アトルバスタチン錠5mg「NP」/アトルバスタチン錠10mg「NP」

処方せん医薬品

添付文書番号
企業コード
作成又は改訂年月
日本標準商品分類番号
薬効分類名
承認等
一般的名称
2.禁忌(次の患者には投与しないこと)
3.組成・性状
3.1組成
3.2製剤の性状
4.効能・効果
5.効能・効果に関連する注意
6.用法・用量
8.重要な基本的注意
9.特定の背景を有する患者に関する注意
9.1合併症・既往歴等のある患者
9.2腎機能障害患者
9.3肝機能障害患者
9.5妊婦
9.6授乳婦
9.7小児等
9.8高齢者
10.相互作用
10.1併用禁忌(併用しないこと)
10.2併用注意(併用に注意すること)
11.副作用
11.1重大な副作用
11.2その他の副作用
14.適用上の注意
16.薬物動態
16.1血中濃度
16.2吸収
16.3分布
16.4代謝
16.5排泄
16.6特定の背景を有する患者
17.臨床成績
17.1有効性及び安全性に関する試験
17.3その他
18.薬効薬理
18.1作用機序
18.2コレステロール合成抑制作用
18.3高脂血症モデル動物における脂質低下作用
18.4動脈硬化進展抑制作用
18.5代謝物の薬理作用
18.6リポ蛋白代謝に対する作用
19.有効成分に関する理化学的知見
20.取扱い上の注意
22.包装
23.主要文献
24.文献請求先及び問い合わせ先
26.製造販売業者等

アトルバスタチン錠5mg「NP」/アトルバスタチン錠10mg「NP」

添付文書番号

2189015F1090_3_14

企業コード

530100

作成又は改訂年月

2023年11月改訂(第2版)
2023年10月改訂(第1版)

日本標準商品分類番号

872189

薬効分類名

HMG-CoA還元酵素阻害剤

承認等

アトルバスタチン錠5mg「NP」

販売名コード

YJコード

2189015F1090

販売名英語表記

Atorvastatin Tablets

販売名ひらがな

あとるばすたちんじょう5mg「NP」

承認番号等

承認番号

22400AMX00368

販売開始年月

2012年6月

貯法・有効期間

貯法

室温保存

有効期間

3年

基準名

日本薬局方

アトルバスタチンカルシウム錠

アトルバスタチン錠10mg「NP」

販売名コード

YJコード

2189015F2097

販売名英語表記

Atorvastatin Tablets

販売名ひらがな

あとるばすたちんじょう10mg「NP」

承認番号等

承認番号

22400AMX00369

販売開始年月

2012年6月

貯法・有効期間

貯法

室温保存

有効期間

3年

基準名

日本薬局方

アトルバスタチンカルシウム錠

一般的名称

アトルバスタチンカルシウム錠

2. 禁忌(次の患者には投与しないこと)

  1. 2.1 本剤の成分に対し過敏症の既往歴のある患者
  2. 2.2 肝代謝能が低下していると考えられる以下のような患者
    急性肝炎、慢性肝炎の急性増悪、肝硬変、肝癌、黄疸,
  3. 2.3 妊婦又は妊娠している可能性のある女性及び授乳婦,
  4. 2.4 グレカプレビル・ピブレンタスビルを投与中の患者

3. 組成・性状

3.1 組成

アトルバスタチン錠5mg「NP」

有効成分1錠中
日本薬局方 アトルバスタチンカルシウム水和物   5.42mg
(アトルバスタチンとして   5mg )
添加剤結晶セルロース、ヒドロキシプロピルセルロース、炭酸マグネシウム、クロスカルメロースナトリウム、ステアリン酸マグネシウム、ヒプロメロース、マクロゴール6000、酸化チタン、タルク、三二酸化鉄

アトルバスタチン錠10mg「NP」

有効成分1錠中
日本薬局方 アトルバスタチンカルシウム水和物   10.84mg
(アトルバスタチンとして   10mg )
添加剤結晶セルロース、ヒドロキシプロピルセルロース、炭酸マグネシウム、クロスカルメロースナトリウム、ステアリン酸マグネシウム、ヒプロメロース、マクロゴール6000、酸化チタン、タルク

3.2 製剤の性状

アトルバスタチン錠5mg「NP」

外形表面
裏面
側面
大きさ直径5.6mm
厚さ3.1mm
重量72mg
性状ごくうすい紅色のフィルムコーティング錠

アトルバスタチン錠10mg「NP」

外形表面
裏面
側面
大きさ直径6.1mm
厚さ3.1mm
重量88mg
性状白色のフィルムコーティング錠

4. 効能・効果

  • 高コレステロール血症
  • 家族性高コレステロール血症

5. 効能・効果に関連する注意

  1. 5.1 適用の前に十分な検査を実施し、高コレステロール血症、家族性高コレステロール血症であることを確認した上で本剤の適用を考慮すること。
  2. 5.2 家族性高コレステロール血症ホモ接合体については、LDL-アフェレーシス等の非薬物療法の補助として、あるいはそれらの治療法が実施不能な場合に本剤の適用を考慮すること。

6. 用法・用量

  • 〈高コレステロール血症〉

    通常、成人にはアトルバスタチンとして10mgを1日1回経口投与する。
    なお、年齢、症状により適宜増減するが、重症の場合は1日20mgまで増量できる。

  • 〈家族性高コレステロール血症〉

    通常、成人にはアトルバスタチンとして10mgを1日1回経口投与する。
    なお、年齢、症状により適宜増減するが、重症の場合は1日40mgまで増量できる。

8. 重要な基本的注意

  1. 8.1 あらかじめ高コレステロール血症治療の基本である食事療法を行い、更に運動療法や高血圧、喫煙等の虚血性心疾患のリスクファクターの軽減等も十分考慮すること。
  2. 8.2 投与中は血中脂質値を定期的に検査し、治療に対する反応が認められない場合には投与を中止すること。
  3. 8.3 劇症肝炎等の肝炎があらわれることがあるので、悪心・嘔吐、倦怠感等の症状があらわれた場合には本剤を中止し、医師等に連絡するよう患者に指導すること。投与中は投与開始又は増量時より12週までの間に1回以上、それ以降は定期的(半年に1回等)に肝機能検査を行うこと。
  4. 8.4 無顆粒球症、汎血球減少症、血小板減少症があらわれることがあるので、定期的に検査を行うなど十分な観察を行うこと。
  5. 8.5 高血糖、糖尿病があらわれることがあるので、口渇、頻尿、全身倦怠感等の症状の発現に注意するとともに、定期的に検査を行うなど十分な観察を行うこと。

9. 特定の背景を有する患者に関する注意

9.1 合併症・既往歴等のある患者

  1. 9.1.1 糖尿病の患者

    糖尿病を悪化させることがある。

  2. 9.1.2 横紋筋融解症があらわれやすいとの報告がある以下の患者
    • 甲状腺機能低下症の患者
    • 遺伝性の筋疾患(筋ジストロフィー等)又はその家族歴のある患者
    • 薬剤性の筋障害の既往歴のある患者
    • アルコール中毒の患者

  3. 9.1.3 重症筋無力症又はその既往歴のある患者

    重症筋無力症(眼筋型、全身型)が悪化又は再発することがある。

9.2 腎機能障害患者

  1. 9.2.1 腎障害又はその既往歴のある患者

    横紋筋融解症の報告例の多くが腎機能障害を有する患者であり、また、横紋筋融解症に伴って急激な腎機能の悪化が認められている。

  2. 9.2.2 腎機能検査値異常のある患者

    本剤とフィブラート系薬剤を併用する場合には、治療上やむを得ないと判断される場合にのみ併用すること。急激な腎機能悪化を伴う横紋筋融解症があらわれやすい。やむを得ず併用する場合には、定期的に腎機能検査等を実施し、自覚症状(筋肉痛、脱力感)の発現、CK上昇、血中及び尿中ミオグロビン上昇並びに血清クレアチニン上昇等の腎機能の悪化を認めた場合は直ちに投与を中止すること。,

9.3 肝機能障害患者

  1. 9.3.1 肝代謝能が低下していると考えられる以下のような患者
    • 急性肝炎、慢性肝炎の急性増悪、肝硬変、肝癌、黄疸

      投与しないこと。本剤の血漿中濃度が上昇し、副作用の発現頻度が増加するおそれがある。また、本剤は主に肝臓において作用し代謝されるので、肝障害を悪化させるおそれがある。,

  2. 9.3.2 肝障害又はその既往歴のある患者(9.3.1に該当する患者を除く)

    本剤は主に肝臓において作用し代謝されるので、肝障害を悪化させるおそれがある。

9.5 妊婦

妊婦又は妊娠している可能性のある女性には投与しないこと。動物実験で出生児数の減少及び生存、発育に対する影響が認められ、胎児にも生存率低下と発育抑制が認められている。また、ラットに他のHMG-CoA還元酵素阻害剤を大量投与した場合に胎児の骨格奇形が報告されている。更に、ヒトでは、他のHMG-CoA還元酵素阻害剤で、妊娠3カ月までの間に服用したとき、胎児に先天性奇形があらわれたとの報告がある。

9.6 授乳婦

授乳婦には投与しないこと。ラットで乳汁中への移行が報告されている。

9.7 小児等

小児等を対象とした有効性及び安全性を指標とした臨床試験は実施していない。

9.8 高齢者

副作用が発現した場合には投与を中止するなど、適切な処置を行うこと。一般に生理機能が低下している。また、横紋筋融解症があらわれやすいとの報告がある。,

10. 相互作用

  • 本剤は、主として肝の薬物代謝酵素CYP3A4により代謝される。また、P-糖蛋白質(P-gp)、乳癌耐性蛋白(BCRP)、有機アニオントランスポーター(OATP)1B1/1B3の基質である。

10.1 併用禁忌(併用しないこと)

薬剤名等臨床症状・措置方法機序・危険因子
  • グレカプレビル・ピブレンタスビル
    (マヴィレット)

グレカプレビル・ピブレンタスビル(400mg・120mg)との併用により、アトルバスタチンのAUCが8.28倍、Cmaxが22.0倍に上昇したとの報告がある。本剤の血中濃度が上昇し、副作用が発現しやすくなるおそれがある。

機序:グレカプレビルのOATP1B1/1B3及びBCRP阻害、ピブレンタスビルのOATP1B1及びBCRP阻害に基づく作用によるものと考えられている。

10.2 併用注意(併用に注意すること)

薬剤名等臨床症状・措置方法機序・危険因子
  • フィブラート系薬剤
    • ベザフィブラート
  • ,

筋肉痛、脱力感、CK上昇、血中及び尿中ミオグロビン上昇を特徴とし、急激な腎機能悪化を伴う横紋筋融解症があらわれやすいとの報告がある。

機序:フィブラート系薬剤とHMG-CoA還元酵素阻害剤との副作用誘発性の相加作用が示唆されている。
危険因子:腎機能に関する臨床検査値に異常が認められる患者

  • ニコチン酸製剤
    • ニセリトロール

筋肉痛、脱力感、CK上昇、血中及び尿中ミオグロビン上昇を特徴とし、急激な腎機能悪化を伴う横紋筋融解症があらわれやすいとの報告がある。

機序:ニコチン酸製剤とHMG-CoA還元酵素阻害剤との副作用誘発性の相加作用が示唆されている。
危険因子:腎機能障害

  • 免疫抑制剤
    • シクロスポリン

1)筋肉痛、脱力感、CK上昇、血中及び尿中ミオグロビン上昇を特徴とし、急激な腎機能悪化を伴う横紋筋融解症があらわれやすいとの報告がある。

2)シクロスポリンとの併用により、本剤のAUC0-24hが8.7倍に上昇したとの報告がある。

機序:1)シクロスポリンとHMG-CoA還元酵素阻害剤との副作用誘発性の相加作用、2)シクロスポリンによるHMG-CoA還元酵素阻害剤の代謝・胆汁中排泄に対する競合阻害に基づく相互作用、3)シクロスポリンによる本剤の肝への取り込み阻害に基づく相互作用が示唆されている。
危険因子:腎機能障害

  • アゾール系抗真菌薬
    • イトラコナゾール
  • エリスロマイシン

筋肉痛、脱力感、CK上昇、血中及び尿中ミオグロビン上昇を特徴とし、急激な腎機能悪化を伴う横紋筋融解症があらわれやすいとの報告がある。

機序:アゾール系抗真菌薬又はエリスロマイシンのCYP3Aに対する阻害作用が考えられている。
危険因子:腎機能障害

  • クラリスロマイシン

本剤の血漿中薬物濃度の有意な上昇(Cmax:+55.9%、AUC0-Tlast:+81.8%)がみられた。

機序:クラリスロマイシンのCYP3A4に対する阻害作用が考えられている。

  • HIVプロテアーゼ阻害剤
    • ロピナビル・リトナビル

ロピナビル・リトナビルとの併用により本剤のAUCが5.88倍に上昇するとの報告がある。

機序:これらの薬剤によるCYP3A4の阻害が考えられている。

ニルマトレルビル・リトナビル

併用により本剤の血中濃度が上昇するおそれがある。本剤の副作用が発現しやすくなるおそれがあるため、十分な観察を行いながら慎重に投与し、必要に応じて減量や休薬等の適切な措置を講ずること。

機序:本剤の代謝を競合的に阻害するためと考えられている。

エンシトレルビル フマル酸

併用により本剤の血中濃度が上昇し、副作用が発現しやすくなるおそれがある。

機序:エンシトレルビル フマル酸のCYP3Aに対する阻害作用が考えられている。

  • グラゾプレビル

グラゾプレビル(200mg)との併用により本剤の血漿中薬物濃度が上昇した(Cmax:5.66倍、AUC0-∞:3.00倍)との報告がある。

機序:グラゾプレビルによる腸管のCYP3A及びBCRPの阻害が考えられている。

  • レテルモビル

レテルモビルとの併用により本剤の血漿中薬物濃度が上昇した(Cmax:2.17倍、AUC0-∞:3.29倍)との報告がある。

機序:レテルモビルによるCYP3A、OATP1B1/1B3及びBCRPの阻害が考えられている。

  • * フチバチニブ

*併用により本剤の血中濃度が上昇し、副作用が発現しやすくなるおそれがある。

*機序:フチバチニブによるBCRPの阻害が考えられている。

  • グレープフルーツジュース

グレープフルーツジュース1.2L/日との併用により、本剤のAUC0-72hが約2.5倍に上昇したとの報告がある。

機序:グレープフルーツジュースによるCYP3A4の阻害が考えられている。

  • エファビレンツ

本剤の血漿中薬物濃度が低下した(Cmax:-12%、AUC0-24h:-43%)との報告がある。

機序:エファビレンツによるCYP3A4の誘導が考えられている。

  • リファンピシン

リファンピシン投与17時間後に本剤を投与したところ本剤の血漿中薬物濃度が低下した(Cmax:-40%、AUC:-80%)との報告がある。

機序:リファンピシンによるCYP3A4の誘導が考えられている。

  • ベキサロテン

ベキサロテンとの併用により本剤のAUCが約50%低下したとの報告がある。

機序:ベキサロテンによるCYP3A4の誘導が考えられている。

  • 陰イオン交換樹脂

本剤の血漿中薬物濃度が約25%低下したが、LDL-コレステロールの低下率はそれぞれを単独で使用したときより大きかった。

機序:これらの薬剤によるアトルバスタチンの吸収阻害(吸着)に基づく血漿中薬物濃度の低下が考えられている。

  • ジゴキシン

定常状態において血漿中ジゴキシン濃度が上昇する(本剤10mg投与でCmax:+9.9%、AUC0-24h:+3.6%、CLr:129→128mL/min、80mg投与でCmax:+20.0%、AUC0-24h:+14.8%、CLr:160→149mL/min)ことが報告されている。併用する場合は、血漿中薬物濃度のモニターを十分に行うこと。

機序:本剤によるジゴキシンのP-gpを介した排出の抑制が示唆されている。

  • 経口避妊薬
    • ノルエチンドロン-エチニルエストラジオール

ノルエチンドロン(Cmax:+24%、AUC0-24h:+28%)及びエチニルエストラジオール(Cmax:+30%、AUC0-24h:+19%)の血漿中濃度の上昇が認められた。

機序:本剤によるノルエチンドロン及びエチニルエストラジオールの初回通過効果の減少が考えられている。

11. 副作用

次の副作用があらわれることがあるので、観察を十分に行い、異常が認められた場合には投与を中止するなど適切な処置を行うこと。

11.1 重大な副作用

  1. 11.1.1 横紋筋融解症、ミオパチー(いずれも頻度不明)

    筋肉痛、脱力感、CK上昇、血中及び尿中ミオグロビン上昇を特徴とする横紋筋融解症があらわれ、急性腎障害等の重篤な腎障害があらわれることがある。また、ミオパチーがあらわれることがあるので、広範な筋肉痛、筋肉圧痛や著明なCKの上昇があらわれた場合には投与を中止すること。,,,,

  2. 11.1.2 免疫介在性壊死性ミオパチー(頻度不明)

    近位筋脱力、CK高値、炎症を伴わない筋線維の壊死、抗HMG-CoA還元酵素(HMGCR)抗体陽性等を特徴とする免疫介在性壊死性ミオパチーがあらわれ、投与中止後も持続する例が報告されているので、患者の状態を十分に観察すること。なお、免疫抑制剤投与により改善がみられたとの報告例がある。

  3. 11.1.3 劇症肝炎、肝炎、肝機能障害、黄疸(いずれも頻度不明)

  4. 11.1.4 過敏症(頻度不明)

    血管神経性浮腫、アナフィラキシー反応、蕁麻疹を含む過敏症状があらわれたとの報告がある。

  5. 11.1.5 無顆粒球症、汎血球減少症、血小板減少症(いずれも頻度不明)

  6. 11.1.6 中毒性表皮壊死融解症(Toxic Epidermal Necrolysis:TEN)、皮膚粘膜眼症候群(Stevens-Johnson症候群)、多形紅斑(いずれも頻度不明)

    水疱性発疹があらわれたとの報告がある。

  7. 11.1.7 高血糖、糖尿病(いずれも頻度不明)

  8. 11.1.8 間質性肺炎(頻度不明)

    長期投与であっても、発熱、咳嗽、呼吸困難、胸部X線異常等が認められた場合には投与を中止し、副腎皮質ホルモン剤の投与等の適切な処置を行うこと。

  9. 11.1.9 重症筋無力症(頻度不明)

    重症筋無力症(眼筋型、全身型)が発症又は悪化することがある。

11.2 その他の副作用

5%以上

0.1~5%未満

頻度不明

皮膚

そう痒感、発疹、皮疹、発赤

脱毛症、光線過敏、皮膚乾燥、皮膚亀裂、爪の障害

血液

血小板減少、白血球減少、貧血

肝臓

AST上昇、ALT上昇、γ-GTP上昇

Al-P上昇、LDH上昇、肝障害

消化器

アミラーゼ上昇、嘔吐、下痢、胃炎、軟便、嘔気、口内炎、胸やけ、便秘、胃不快感、腹痛、心窩部痛(心窩部の疼痛)、腹部膨満感

膵炎、胆汁うっ滞性黄疸、食欲不振、消化不良、悪心、口渇、舌痛、舌炎、舌のしびれ、口のしびれ、口唇炎、咽頭不快感

呼吸器

筋骨格系

CK上昇

痙攣、筋炎、筋肉痛、血中ミオグロビン上昇、無力症、関節痛、頸・肩のこり、胸痛、背部痛、こわばり感、腱炎、腱痛

感覚器

異常感覚、末梢神経障害、耳鳴、霧視

精神神経系

めまい、不眠(症)

勃起障害、四肢しびれ(感)、眠気、健忘症、抑うつ、悪夢

内分泌

テストステロン低下

コリンエステラーゼ上昇、TSH上昇、ACTH上昇、アルドステロン低下

女性化乳房

代謝異常

グルコース上昇、HbA1c上昇、血清鉄低下

低血糖症

腎臓

K上昇

BUN上昇、血中クレアチニン増加、血尿

その他

脳梗塞、肺炎、頭痛、全身倦怠(感)、帯状疱疹

浮腫(顔面・四肢等)、動悸、頻脈、味覚異常、頻尿、排尿困難、着色尿、熱感、発熱

14. 適用上の注意

14.1 薬剤交付時の注意

PTP包装の薬剤はPTPシートから取り出して服用するよう指導すること。PTPシートの誤飲により、硬い鋭角部が食道粘膜ヘ刺入し、更には穿孔をおこして縦隔洞炎等の重篤な合併症を併発することがある。

16. 薬物動態

16.1 血中濃度

  1. 16.1.1 単回投与

    健康成人6例に、アトルバスタチン51)、10、20及び40mgを絶食下単回経口投与した結果、血漿中未変化体のCmax及びAUC0-∞は投与量に比例して増加し、Tmax及び半減期はほぼ一定であったことから、アトルバスタチンの体内動態は線形性を示すと考えられた1)。なお、日本人と外国人との体内動態を比較した結果、個人差を上回る人種差は認められなかった2)

    薬物動態パラメータ

    投与量
    (mg/man)

    Cmax(ng/mL)

    Tmax
    (h)

    t1/2
    (h)

    AUC0-∞
    (ng・h/mL)

    5

    2.64±1.36

    0.6±0.2

    10.60±2.91

    17.33±9.29

    10

    3.42±1.51

    0.8±0.3

    9.44±2.50

    34.57±15.79

    20

    11.29±4.42

    0.9±0.6

    10.69±2.91

    50.87±18.44

    40

    27.05±10.75

    0.9±0.6

    10.08±2.65

    117.91±40.88

    (平均値±標準偏差)

    また、アトルバスタチン10mgを健康成人6例に単回経口投与したときの血漿中主代謝物であるアミド結合位置のベンゼン環の2位の水酸化物(M-2、o-OH体)のTmax、Cmax及び半減期はそれぞれ6.17時間、1.39ng/mL及び8.00時間であった1)

    アトルバスタチンを健康成人に10mg単回経口投与したときの血漿中未変化体及びM-2濃度推移
  2. 16.1.2 反復投与

    健康成人6例に、アトルバスタチン10及び20mgを1日1回朝食後、7日間反復経口投与した結果、血漿中薬物濃度は投与開始後4日目までに定常状態に到達した。
    また、1日目と7日目の血漿中薬物濃度を比較すると、20mg投与群で上昇しているものの有意な差ではなく、蓄積性は認められなかった3)

  3. 16.1.3 生物学的同等性試験
    • アトルバスタチン錠5mg「NP」

      アトルバスタチン錠5mg「NP」とリピトール錠5mgのそれぞれ1錠(アトルバスタチンとして5mg)を、クロスオーバー法により健康成人男子に絶食単回経口投与して血漿中アトルバスタチン濃度を測定した。得られた薬物動態パラメータ(AUC0→48hr、Cmax)について90%信頼区間法にて統計解析を行った結果、log(0.80)~log(1.25)の範囲内であり、両剤の生物学的同等性が確認された4)

      薬物動態パラメータ

      判定パラメータ

      参考パラメータ

      AUC0→48hr
      (ng・hr/mL)

      Cmax
      (ng/mL)

      Tmax
      (hr)

      t1/2
      (hr)

      アトルバスタチン錠5mg「NP」

      11.68±4.32

      1.5385±0.7151

      0.74±0.45

      11.16±4.28

      リピトール錠5mg

      11.67±3.68

      1.6163±0.6537

      0.59±0.22

      11.82±5.96

      (Mean±S.D., n=24)

      血漿中アトルバスタチン濃度推移

      血漿中濃度並びにAUC、Cmax等のパラメータは、被験者の選択、体液の採取回数・時間等の試験条件によって異なる可能性がある。

    • アトルバスタチン錠10mg「NP」

      アトルバスタチン錠10mg「NP」とリピトール錠10mgのそれぞれ1錠(アトルバスタチンとして10mg)を、クロスオーバー法により健康成人男子に絶食単回経口投与して血漿中アトルバスタチン濃度を測定した。得られた薬物動態パラメータ(AUC0→48hr、Cmax)について90%信頼区間法にて統計解析を行った結果、log(0.80)~log(1.25)の範囲内であり、両剤の生物学的同等性が確認された5)

      薬物動態パラメータ

      判定パラメータ

      参考パラメータ

      AUC0→48hr
      (ng・hr/mL)

      Cmax
      (ng/mL)

      Tmax
      (hr)

      t1/2
      (hr)

      アトルバスタチン錠10mg「NP」

      22.32±8.64

      3.3659±1.9062

      1.39±1.29

      8.70±2.69

      リピトール錠10mg

      22.24±8.26

      3.5747±1.6578

      0.83±0.47

      8.95±3.02

      (Mean±S.D., n=64)

      血漿中アトルバスタチン濃度推移

      血漿中濃度並びにAUC、Cmax等のパラメータは、被験者の選択、体液の採取回数・時間等の試験条件によって異なる可能性がある。

16.2 吸収

  1. 16.2.1 食事の影響

    健康成人12例でアトルバスタチン10mgを絶食下及び食後に単回経口投与した結果、アトルバスタチンの吸収速度は食事により低下するものの、吸収率はほとんど影響を受けなかった6)

16.3 分布

  1. 16.3.1 蛋白結合率

    ヒト血漿を用いたin vitroの実験で、蛋白結合率は95.6~99.0%以上を示した7)

16.4 代謝

健康成人6例にアトルバスタチン10及び40mgを単回経口投与したとき、血漿中にアミド結合位置のベンゼン環の4位の水酸化体(M-1)及び2位の水酸化体(M-2)の2種類が確認されているが、血漿中主活性代謝物はM-2であった1)
アトルバスタチンの主要代謝臓器は肝臓であり、M-1及びM-2はCYP3A4によって生成することが明らかにされている8)

16.5 排泄

健康成人に14C-アトルバスタチンを経口投与したとき、放射能の尿中排泄率は極めて低く(<2%)、糞中に未変化体、M-1及びM-2がそれぞれ糞中放射能の8.3%、11.7%及び18.2%排泄された9),10)。更に、14C-アトルバスタチンを用いたヒト胆汁中排泄試験では、投与された放射能の43.7~70.2%が胆汁中に排泄され、未変化体の他にM-1、M-2及びM-2のグルクロン酸抱合体が同定された11)

16.6 特定の背景を有する患者

  1. 16.6.1 腎機能障害患者

    腎機能正常者8例及び腎機能障害者11例にアトルバスタチン10mgを1日1回2週間反復経口投与したとき、腎機能障害は、アトルバスタチンの薬効及び体内動態に影響を及ぼさなかった12)(外国人データ)。

  2. 16.6.2 肝機能障害患者

    健康成人及び肝硬変患者8例ずつにアトルバスタチン10mgを1日1回2週間反復経口投与したとき、肝硬変患者では健康成人に比べてChild-Pugh A患者及びChild-Pugh B患者において、Cmaxではそれぞれ5.5倍及び14.4倍、AUC0-24hではそれぞれ4.4倍及び9.8倍の増加、Tmaxではいずれも1/2の短縮が認められたが半減期はほとんど変化しなかった。また、血清脂質に対する作用には差がなかった13)(外国人データ)。,,

  3. 16.6.3 高齢者

    健康高齢者(66~73歳)6例及び若年者(20~22歳)6例に、アトルバスタチン10mgを絶食下単回経口投与した結果、高齢者は若年者に比べてCmax及びAUC0-∞は約2倍に増加したが、Tmax及び半減期に差は認められなかった14)

1) 本剤の承認された用法及び用量は、アトルバスタチンとして10mgを1日1回経口投与である。なお、年齢、症状により適宜増減できるが、重症の場合は、高コレステロール血症で1日20mgまで、家族性高コレステロール血症で1日40mgまでの増量である。

17. 臨床成績

17.1 有効性及び安全性に関する試験

  • 〈高コレステロール血症〉
    1. 17.1.1 国内後期第Ⅱ相試験

      高脂血症患者243例を対象に、アトルバスタチン錠を1日1回夕食後12週間投与した際の血清脂質改善作用の用量反応関係および安全性を4用量(2.5mg、5mg、10mgまたは20mg)による二重盲検群間比較法により実施した。アトルバスタチン錠52)~20mgを1日1回夕食後に投与した際の血清脂質値の変化率及び総コレステロール<220mg/dLとなった症例の割合(総コレステロール<220mg/dL割合)、LDL-コレステロール<150mg/dLとなった症例の割合(LDL-コレステロール<150mg/dL割合)は下記のとおりである15)

      用量
      (mg)

      例数

      総コレステロール
      (%)

      トリグリセリド
      (%)

      HDL-コレステロール
      (Δmg/dL)

      5

      51

      -25.0

      -19.7

      3.2

      10

      51

      -30.2

      -16.7

      5.2

      20

      52

      -33.8

      -12.0

      6.1

      用量
      (mg)

      例数

      LDL-コレステロール
      (%)

      総コレステロール
      <220mg/dL
      割合(%)

      LDL-コレステロール
      <150mg/dL
      割合(%)

      5

      51

      -32.0

      56.9

      74.5

      10

      51

      -39.6

      72.5

      86.3

      20

      52

      -49.5

      86.5

      90.4

      副作用及び関連性が否定されなかった臨床検査値異常変動の発現率はそれぞれ5.0~12.1%及び33.3~46.6%であり、臨床検査値異常変動発現率が20mg群でやや高かったものの、用量依存性は認められなかった。主な副作用は胃部不快感2例(2.5mg,10mg各1例)、一般的全身症状2例(2.5mg,20mg各1例)であった。なお、重篤な副作用及び臨床検査値異常変動の発現は認められなかった16)

  • 〈家族性高コレステロール血症〉
    1. 17.1.2 家族性高コレステロール血症患者ヘテロ対象試験(国内)

      家族性高コレステロール血症ヘテロ接合体患者24例にアトルバスタチン錠10mgを8週間投与し、その後、8週間毎に20mg、40mgへと漸増し、非盲検・非比較試験にて検討した17)。その結果、10mg及び40mgで総コレステロールはそれぞれ-31.8%、-41.1%、LDL-コレステロールはそれぞれ-37.7%、-48.3%と低下し増量効果が得られた。副作用は16.7%(4/24例)、関連性が否定されなかった臨床検査値異常変動は41.7%(10/24例)に認められた。主な副作用は、軟便傾向・軟便(2例)であった。なお、重篤な副作用及び臨床検査値異常変動の発現は認められなかった18)

    2. 17.1.3 家族性高コレステロール血症患者ホモ対象試験(国内)

      LDL-アフェレーシスを施行している家族性高コレステロール血症ホモ接合体患者9例に、アトルバスタチン錠10mgを8週間投与し、その後20mg(8週間)、40mg(8~20週)へと漸増し、非盲検・非比較試験にて検討した19)。その結果、6例で総コレステロールが-31.4~-4.9%、LDL-コレステロールが-39.3~-4.6%と低下した。他の3例では総コレステロールが1.2~15.2%、LDL-コレステロールが3.1~11.8%と増加した。低下が認められた症例のうち4例ではアトルバスタチン錠投与前に2剤以上を併用した薬物療法とほぼ同程度の総コレステロール及びLDL-コレステロール低下が認められた。副作用は11.1%(1/9例)、関連性が否定されなかった臨床検査値異常変動は44.4%(4/9例)に認められ、副作用は、右手しびれ(感)であった。なお、重篤な副作用及び臨床検査値異常変動の発現は認められなかった。

17.3 その他

  1. 17.3.1 胆汁脂質に与える影響(国内)

    高脂血症患者17例を対象に非盲検・非比較試験としてアトルバスタチン錠10mgを12週間投与した結果、投与前後のコレステロール飽和度、胆汁脂質濃度及び胆石形成指数に有意な変化はみられず、胆汁脂質組成に悪影響を及ぼさなかった20)。副作用は6.3%(1/16例)、関連性が否定されなかった臨床検査値異常変動は25.0%(4/16例)に認められた。副作用は、胃部不快感と鼓腸が同一症例に発現していた。なお、本試験において重篤な副作用及び臨床検査値異常変動の発現は認められなかった。

  2. 17.3.2 血液凝固線溶系に及ぼす影響(国内)

    高脂血症患者20例を対象にアトルバスタチン錠10mgを非盲検・非比較試験として28週間投与した結果、凝固第Ⅶ因子活性及びその抗原量の有意な低下を認め血栓形成阻止傾向がみられた。一方、他の血液凝固線溶系パラメータに一定の傾向はみられなかったことより、全体として血液凝固線溶系には悪影響を及ぼさなかった21)。副作用は認められず、関連性が否定されなかった臨床検査値異常変動は31.6%(6/19例)に認められた。

  3. 17.3.3 糖代謝に及ぼす影響(国内)

    高脂血症を合併した糖尿病患者50例(プラセボ群24例、アトルバスタチン群26例)にアトルバスタチン錠10mg又はプラセボを二重盲検群間比較試験として12週間投与し、アトルバスタチンの有効性および安全性を検討した。アトルバスタチン錠を12週間投与した結果、HbA1c、1,5-AG及びフルクトサミンに対する変化は、アトルバスタチン群とプラセボ群との間に有意差は認められなかったことから、アトルバスタチンは糖代謝に対する影響はなかった22)。副作用は、プラセボ群、アトルバスタチン群とも5.3%(1/19例)にみられ、関連性が否定されなかった臨床検査値異常変動はプラセボ群26.3%(5/19例)、アトルバスタチン群21.1%(4/19例)に認められた。副作用は、プラセボ群が死亡、アトルバスタチン群が胸痛であった。なお、重篤な副作用及び臨床検査値異常変動の発現は認められなかった。

2) 本剤の承認された用法及び用量は、アトルバスタチンとして10mgを1日1回経口投与である。なお、年齢、症状により適宜増減できるが、重症の場合は、高コレステロール血症で1日20mgまで、家族性高コレステロール血症で1日40mgまでの増量である。

18. 薬効薬理

18.1 作用機序

アトルバスタチンは血液中のコレステロール量を調節する主要臓器である肝臓のHMG-CoA還元酵素を選択的かつ競合的に阻害し、アトルバスタチンと同程度の活性を有する代謝物とともに、肝臓のコレステロール合成を抑制する。その結果、アトルバスタチンは肝臓のLDL受容体数を増加させ、かつリポ蛋白分泌を抑制することにより血中脂質量を低下させる。また、アトルバスタチンは血中脂質動態を改善して、高コレステロール血症に伴う動脈硬化の発症を抑制する23)

18.2 コレステロール合成抑制作用

ヒト肝癌細胞由来HepG2細胞において、アトルバスタチンはコレステロールの生合成経路の律速酵素であるHMG-CoA還元酵素を選択的かつ競合的に阻害し、酢酸からのコレステロール合成を濃度依存的に抑制した24)
更にアトルバスタチンは経口投与により、ラットの肝コレステロール合成を類薬と比較して長く抑制した25)

18.3 高脂血症モデル動物における脂質低下作用

  1. 18.3.1 コレステロール低下作用

    コレステロール負荷ウサギ及びコレステロール負荷ミニブタにおいて、アトルバスタチンは経口投与により血漿総コレステロール値を低下させるとともに、LDL-コレステロール値及び血漿アポB値を低下させた26),27)。LDL受容体欠損マウス及びWHHLウサギにおいて、アトルバスタチンは血漿総コレステロール値及びLDL-コレステロール値を低下させた28),29)

  2. 18.3.2 トリグリセリド低下作用

    コレステロール負荷ミニブタ及びショ糖負荷高トリグリセリド血症ラットにおいて、アトルバスタチンは血中トリグリセリド値を低下させた27),30)

18.4 動脈硬化進展抑制作用

コレステロール負荷内皮傷害ウサギ及びWHHLウサギにおいて、アトルバスタチンは動脈硬化病変面積及び血管壁コレステロール含量を低下させた26),29)

18.5 代謝物の薬理作用

ラット肝ミクロソームにおいて、ヒトにおける主代謝物であるアミド結合位置のベンゼン環の4位の水酸化体(M-1)及び2位の水酸化体(M-2)は、アトルバスタチンと同程度のHMG-CoA還元酵素阻害活性を示した31)

18.6 リポ蛋白代謝に対する作用

HepG2細胞において、アトルバスタチンは細胞内コレステロール含量を低下させるとともに、肝LDL受容体mRNA発現量及び肝LDL受容体活性を増加させ、アポB分泌量及びトリグリセリド分泌量を低下させた32),33)。正常モルモットにおいて、アトルバスタチンは肝LDL受容体活性を増加させるとともに、VLDL-アポB分泌速度を低下させた34)。コレステロール負荷ミニブタにおいて、アトルバスタチンはVLDL-アポB産生速度を低下させた27)。LDL受容体欠損マウスにおいて、アトルバスタチンはコレステロール分泌速度を低下させた28)。ショ糖負荷高トリグリセリド血症ラットにおいて、アトルバスタチンはトリグリセリド分泌速度を低下させた30)

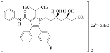
19. 有効成分に関する理化学的知見

一般的名称

アトルバスタチンカルシウム水和物
(Atorvastatin Calcium Hydrate)

化学名

Monocalcium bis{(3R,5R)-7-[2-(4-fluorophenyl)-5-(1-methylethyl)-3-phenyl-4-(phenylcarbamoyl)-1H-pyrrol-1-yl]-3,5-dihydroxyheptanoate}trihydrate

分子式

C66H68CaF2N4O10・3H2O

分子量

1209.39

性状

・白色~微黄白色の結晶性の粉末である。
・メタノールに極めて溶けやすく、ジメチルスルホキシドに溶けやすく、水又はエタノール(99.5)に極めて溶けにくい。
・光によって徐々に黄白色となる。
・結晶多形が認められる。

化学構造式

20. 取扱い上の注意

開封後は湿気を避けて保存すること。

22. 包装

  • アトルバスタチン錠5mg「NP」

    100錠[10錠(PTP)×10]
    500錠[10錠(PTP)×50]
    500錠[瓶、バラ、乾燥剤入り]

  • アトルバスタチン錠10mg「NP」

    100錠[10錠(PTP)×10]
    500錠[10錠(PTP)×50]
    500錠[瓶、バラ、乾燥剤入り]

23. 主要文献

1) 大石紫満子 他:薬理と治療 1998;26(8):1253-1266(L20200930)

2) 海外および国内で実施された臨床薬理試験(体内動態)の比較 (リピトール錠:2000年3月10日承認、申請資料概要ヘ.3.(5).1))(L20230367)

3) 大石紫満子 他:薬理と治療 1998;26(8):1279-1293(L20200931)

4) 社内資料:生物学的同等性試験(錠5mg)

5) 社内資料:生物学的同等性試験(錠10mg)

6) 大石紫満子 他:薬理と治療 1998;26(8):1267-1277(L20200932)

7) 根本裕之 他:薬理と治療 1998;26(8):1229-1240(L20200933)

8) 代謝酵素(リピトール錠:2000年3月10日承認、申請資料概要ヘ.3.(7).4))(L20230368)

9) 排泄(リピトール錠:2000年3月10日承認、申請資料概要ヘ.3.(8))(L20230369)

10) 代謝(リピトール錠:2000年3月10日承認、申請資料概要ヘ.3.(7))(L20230370)

11) 血漿蛋白結合率,代謝,排泄(カデュエット配合錠1番・2番・3番・4番:2009年7月7日承認、CTD2.5.3.(2).2))(L20230371)

12) Stern, R. H. et al.:J. Clin. Pharmacol. 1997;37(9):816-819(L20200934)

13) 肝機能障害例における検討(リピトール錠:2000年3月10日承認、申請資料概要ヘ.3.(6).5))(L20230372)

14) 大石紫満子 他:薬理と治療 1998;26(8):1295-1305(L20200935)

15) 中村治雄 他:Prog. Med. 1998;18(7):1690-1723(L20200936)

16) 後期第Ⅱ相試験(用量設定試験)(リピトール錠:2000年3月10日承認、申請資料概要ト.1.(3))(L20230373)

17) 山村 卓 他:臨床医薬 1998;14(11):2031-2054(L20200937)

18) 家族性高コレステロール血症ヘテロ接合体患者対象試験(リピトール錠:2000年3月10日承認、申請資料概要ト.1.(7).1))(L20230374)

19) 家族性高コレステロール血症ホモ接合体患者に対する試験(リピトール錠:2000年3月10日承認、申請資料概要ト.1.(7).2))(L20230375)

20) 田妻 進 他:臨床医薬 1998;14(12):2163-2177(L20200938)

21) 血液凝固・線溶系に及ぼす影響の検討試験(リピトール錠:2000年3月10日承認、申請資料概要ト.1.(8).2))(L20230376)

22) 田中 明 他:新薬と臨床 1998;47(8):1230-1248(L20200939)

23) 作用機序(リピトール錠:2000年3月10日承認、申請資料概要ホ.1.8)(L20230377)

24) 舩津敏之 他:薬理と治療 1998;26(9):1435-1441(L20200940)

25) 田中秀行 他:薬理と治療 1998;26(9):1451-1454(L20200941)

26) Bocan, T. M. et al.:Atherosclerosis 1994;111(1):127-142(L20200942)

27) Burnett, J. R. et al.:Arterioscler. Thromb. Vasc. Biol. 1997;17(11):2589-2600(L20200943)

28) Bisgaier, C. L. et al.:J. Lipid. Res. 1997;38(12):2502-2515(L20200944)

29) 荒井幸規 他:薬理と治療 1998;26(9):1475-1481,1483-1486(L20200945)

30) 鈴木雅徳 他:薬理と治療 1998;26(9):1469-1474(L20200946)

31) 代謝物の薬理作用(リピトール錠:2000年3月10日承認、申請資料概要ホ.1.7)(L20230378)

32) 舩津敏之 他:薬理と治療 1998;26(9):1443-1450(L20200947)

33) Funatsu, T. et al.:Atherosclerosis 2001;157(1):107-115(L20200948)

34) 角田裕俊 他:薬理と治療 1998;26(9):1461-1468(L20200949)

24. 文献請求先及び問い合わせ先

ニプロ株式会社 医薬品情報室

〒566-8510 大阪府摂津市千里丘新町3番26号

TEL 0120-226-898
FAX 050-3535-8939

26. 製造販売業者等

26.1 製造販売元

ニプロ株式会社

大阪府摂津市千里丘新町3番26号

〒100-0013 東京都千代田区霞が関3-3-2 新霞が関ビル

画面を閉じる

Copyright © Pharmaceuticals and Medical Devices Agency, All Rights reserved.