医療用医薬品 詳細表示

メチエフ注40mg

処方せん医薬品

添付文書番号
企業コード
作成又は改訂年月
日本標準商品分類番号
薬効分類名
承認等
一般的名称
2.禁忌(次の患者には投与しないこと)
3.組成・性状
3.1組成
3.2製剤の性状
4.効能・効果
6.用法・用量
8.重要な基本的注意
9.特定の背景を有する患者に関する注意
9.1合併症・既往歴等のある患者
9.5妊婦
9.6授乳婦
9.7小児等
9.8高齢者
10.相互作用
10.1併用禁忌(併用しないこと)
10.2併用注意(併用に注意すること)
11.副作用
11.1重大な副作用
11.2その他の副作用
14.適用上の注意
18.薬効薬理
18.1作用機序
18.2気管支拡張作用
18.3鎮咳作用
18.4抗アレルギー作用
19.有効成分に関する理化学的知見
22.包装
23.主要文献
24.文献請求先及び問い合わせ先
26.製造販売業者等

メチエフ注40mg

添付文書番号

2221401A1050_3_01

企業コード

530100

作成又は改訂年月

2025年4月作成(第1版)

日本標準商品分類番号

872221

薬効分類名

鎮咳剤

承認等

メチエフ注40mg

販売名コード

YJコード

2221401A1050

販売名英語表記

METHY-F Injection

販売名ひらがな

めちえふちゅう40mg

承認番号等

承認番号

21800AMX10107

販売開始年月

1954年8月

貯法・有効期間

貯法

室温保存

有効期間

3年

一般的名称

dl-メチルエフェドリン注射液

2. 禁忌(次の患者には投与しないこと)

カテコールアミン製剤(アドレナリン、イソプレナリン塩酸塩等)を投与中の患者

3. 組成・性状

3.1 組成

メチエフ注40mg

有効成分1管(1mL)中
日本薬局方 dl-メチルエフェドリン塩酸塩   40mg

3.2 製剤の性状

メチエフ注40mg

pH5.5〜6.5
浸透圧比約1
(生理食塩液に対する比)
性状無色澄明の液

4. 効能・効果

  • 下記疾患に伴う咳嗽
    • 気管支喘息、感冒、急性気管支炎、慢性気管支炎、肺結核、上気道炎(咽喉頭炎、鼻カタル)
  • 蕁麻疹、湿疹

6. 用法・用量

dl-メチルエフェドリン塩酸塩として、通常成人1回40mgを皮下注射する。
なお、年齢、症状により適宜増減する。

8. 重要な基本的注意

  1. 8.1 用法・用量どおり、正しく使用しても効果が認められない場合は、本剤が適当でないと考えられるので、投与を中止すること。
    なお、小児に投与する場合には、使用法を正しく指導し、経過の観察を十分に行うこと。
  2. 8.2 過度に使用を続けた場合、不整脈、場合によっては心停止を起こすおそれがあり、特に注射の場合はその傾向が強いので、使用が過度にならないように注意すること。

9. 特定の背景を有する患者に関する注意

9.1 合併症・既往歴等のある患者

  1. 9.1.1 甲状腺機能亢進症の患者

    交感神経刺激作用により甲状腺機能亢進症を悪化させるおそれがある。

  2. 9.1.2 高血圧症の患者

    交感神経刺激作用により高血圧症状を悪化させるおそれがある。

  3. 9.1.3 心疾患のある患者

    交感神経刺激作用により心拍数が増加し、心臓に過負荷をかけることがあるため、症状を悪化させるおそれがある。

  4. 9.1.4 糖尿病の患者

    交感神経刺激作用により糖代謝を促進し、血中グルコースを増加させるおそれがある。

  5. 9.1.5 低酸素血症のある患者

    定期的に血清カリウム値を観察することが望ましい。低酸素血症は、血清カリウム値の低下が心リズムに及ぼす作用を増強することがある。,

9.5 妊婦

妊婦または妊娠している可能性のある女性には、治療上の有益性が危険性を上回ると判断される場合にのみ投与すること。

9.6 授乳婦

治療上の有益性及び母乳栄養の有益性を考慮し、授乳の継続又は中止を検討すること。

9.7 小児等

小児等を対象とした臨床試験は実施していない。

9.8 高齢者

減量するなど注意すること。一般に生理機能が低下している。

10. 相互作用

    10.1 併用禁忌(併用しないこと)

    薬剤名等臨床症状・措置方法機序・危険因子

    カテコールアミン製剤

    • アドレナリン(ボスミン)
      イソプレナリン塩酸塩(プロタノール)

    不整脈、場合によっては心停止を起こすおそれがあるので併用を避けること。

    相加的に作用(交感神経刺激作用)を増強させる。

    10.2 併用注意(併用に注意すること)

    薬剤名等臨床症状・措置方法機序・危険因子

    モノアミン酸化酵素(MAO)阻害剤

    • セレギリン塩酸塩
      ラサギリンメシル酸塩
      サフィナミドメシル酸塩

    作用が増強されるおそれがあるので、減量をするなど慎重に投与すること。

    これらの薬剤のMAO-B選択性が低下した場合、交感神経刺激作用が増強されるおそれがある。

    甲状腺製剤

    • チロキシン
      リオチロニン等

    作用が増強されるおそれがあるので、減量をするなど慎重に投与すること。

    これらの薬剤が心臓のカテコールアミンに対する感受性を増大するおそれがある。

    キサンチン誘導体

    • テオフィリン

    ステロイド剤

    • プレドニゾロン

    利尿剤

    • アミノフィリン

    ,

    血清カリウム値が低下するおそれがある。
    併用する場合には定期的に血清カリウム値を観察し、用量について注意すること。

    相加的に作用(血清カリウム値の低下作用)を増強する。
    β2刺激剤はcAMPを活性化しNa-Kポンプを刺激する。

    11. 副作用

    次の副作用があらわれることがあるので、観察を十分に行い、異常が認められた場合には投与を中止するなど適切な処置を行うこと。

    11.1 重大な副作用

    1. 11.1.1 重篤な血清カリウム値の低下(頻度不明)

      キサンチン誘導体、ステロイド剤及び利尿剤の併用により増強することがあるので、重症喘息患者では特に注意すること。,

    11.2 その他の副作用

    0.1〜5%未満

    頻度不明

    循環器

    心悸亢進、顔面蒼白

    精神神経系

    眠気、頭痛、不眠、めまい、熱感、疲労

    神経過敏

    消化器

    悪心、食欲不振

    腹部膨満感

    過敏症

    発疹

    その他

    口渇

    14. 適用上の注意

    14.1 薬剤投与時の注意

    1. 14.1.1 皮下注射にのみ使用すること。
    2. 14.1.2 動物実験(ウサギ)で充血、出血、変性等の局所障害が認められるので皮下注射に当たっては、組織・神経等への影響を避けるため、下記の点に留意すること。
      • 神経走行部位を避けるよう注意して注射すること。
      • 繰り返し注射する場合には、例えば左右交互に注射するなど、注射部位を変えて行うこと。なお、乳幼小児には連用しないことが望ましい。
      • 注射針を刺入したとき、激痛を訴えたり、血液の逆流をみた場合には、直ちに針を抜き、部位を変えて注射すること。

    18. 薬効薬理

    18.1 作用機序

    交感神経興奮様薬物。α及びβ受容体を刺激するが、作用の一部は交感神経終末からのノルアドレナリン遊離を介する間接的なものである1)

    18.2 気管支拡張作用

    ヒスタミン吸入によるモルモット実験的喘息に対する喘息防止作用(ED50)は経口投与45mg/kg、皮下投与28mg/kgである。
    50mg/kg経口投与により作用は3時間持続する2)

    18.3 鎮咳作用

    亜硫酸ガス吸入によるモルモット実験咳に対する鎮咳作用(ED50)は皮下投与24mg/kgで、エフェドリンの0.7倍、コデインの0.6倍である。また、機械的刺激に対しては腹腔内投与35.2mg/kgで、コデインの0.4倍である3)

    18.4 抗アレルギー作用

    ヒスタミン皮内投与によるヒトの膨疹及び発赤に対し、1mg皮内投与によりジフェンヒドラミンと同程度に抑制する4)

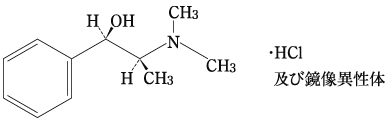
    19. 有効成分に関する理化学的知見

    一般的名称

    dl-メチルエフェドリン塩酸塩
    dl-Methylephedrine Hydrochloride)

    化学名

    (1RS, 2SR)-2-Dimethylamino-1-phenylpropan-1-ol monohydrochloride

    分子式

    C11H17NO・HCl

    分子量

    215.72

    性状

    • 無色の結晶又は白色の結晶性の粉末である。
    • 水に溶けやすく、エタノール(99.5)にやや溶けにくく、酢酸(100)に溶けにくく、無水酢酸にほとんど溶けない。
    • 水溶液(1→20)は旋光性を示さない。

    化学構造式

    融点

    207〜211℃

    22. 包装

    1mL×50管[アンプル]

    24. 文献請求先及び問い合わせ先

    ニプロ株式会社 医薬品情報室

    〒566-8510 大阪府摂津市千里丘新町3番26号

    TEL 0120-226-898
    FAX 050-3535-8939

    26. 製造販売業者等

    26.1 製造販売元

    ニプロ株式会社

    大阪府摂津市千里丘新町3番26号

    〒100-0013 東京都千代田区霞が関3-3-2 新霞が関ビル

    画面を閉じる

    Copyright © Pharmaceuticals and Medical Devices Agency, All Rights reserved.