医療用医薬品 詳細表示

ブデホル吸入粉末剤30吸入「ニプロ」/ブデホル吸入粉末剤60吸入「ニプロ」

処方せん医薬品

添付文書番号
企業コード
作成又は改訂年月
日本標準商品分類番号
薬効分類名
承認等
一般的名称
2.禁忌(次の患者には投与しないこと)
3.組成・性状
3.1組成
3.2製剤の性状
4.効能・効果
5.効能・効果に関連する注意
6.用法・用量
7.用法・用量に関連する注意
8.重要な基本的注意
9.特定の背景を有する患者に関する注意
9.1合併症・既往歴等のある患者
9.3肝機能障害患者
9.5妊婦
9.6授乳婦
9.7小児等
9.8高齢者
10.相互作用
10.2併用注意(併用に注意すること)
11.副作用
11.1重大な副作用
11.2その他の副作用
13.過量投与
14.適用上の注意
15.その他の注意
15.1臨床使用に基づく情報
16.薬物動態
16.1血中濃度
16.3分布
16.4代謝
16.5排泄
16.7薬物相互作用
17.臨床成績
17.1有効性及び安全性に関する試験
18.薬効薬理
18.1作用機序
18.2抗炎症作用
19.有効成分に関する理化学的知見
22.包装
23.主要文献
24.文献請求先及び問い合わせ先
26.製造販売業者等

ブデホル吸入粉末剤30吸入「ニプロ」/ブデホル吸入粉末剤60吸入「ニプロ」

添付文書番号

2290801G1053_1_04

企業コード

530100

作成又は改訂年月

2023年12月改訂(第1版)

日本標準商品分類番号

87229

薬効分類名

ドライパウダー吸入式喘息・COPD治療配合剤

承認等

ブデホル吸入粉末剤30吸入「ニプロ」

販売名コード

YJコード

2290801G1053

販売名英語表記

BudeForu Dry Powder Inhalers

販売名ひらがな

ぶでほるきゅうにゅうふんまつざい30きゅうにゅう「にぷろ」

承認番号等

承認番号

23100AMX00134

販売開始年月

2020年6月

貯法・有効期間

貯法

室温保存

有効期間

2年

ブデホル吸入粉末剤60吸入「ニプロ」

販売名コード

YJコード

2290801G2050

販売名英語表記

BudeForu Dry Powder Inhalers

販売名ひらがな

ぶでほるきゅうにゅうふんまつざい60きゅうにゅう「にぷろ」

承認番号等

承認番号

23100AMX00135

販売開始年月

2020年6月

貯法・有効期間

貯法

室温保存

有効期間

2年

一般的名称

ブデソニド・ホルモテロールフマル酸塩水和物吸入剤

2. 禁忌(次の患者には投与しないこと)

  1. 2.1 有効な抗菌剤の存在しない感染症、深在性真菌症の患者[ステロイドの作用により症状を増悪するおそれがある。]
  2. 2.2 本剤の成分に対して過敏症(接触性皮膚炎を含む)の既往歴のある患者

3. 組成・性状

3.1 組成

ブデホル吸入粉末剤30吸入「ニプロ」

有効成分1回吸入中
日本薬局方 ブデソニド    160μg
1回吸入中
日本薬局方 ホルモテロールフマル酸塩水和物    4.5μg
添加剤乳糖水和物1)

1) 夾雑物として乳蛋白を含む

ブデホル吸入粉末剤60吸入「ニプロ」

有効成分1回吸入中
日本薬局方 ブデソニド    160μg
1回吸入中
日本薬局方 ホルモテロールフマル酸塩水和物    4.5μg
添加剤乳糖水和物2)

2) 夾雑物として乳蛋白を含む

3.2 製剤の性状

ブデホル吸入粉末剤30吸入「ニプロ」

剤形ドライパウダー式吸入剤
性状白色~微黄白色の粒

ブデホル吸入粉末剤60吸入「ニプロ」

剤形ドライパウダー式吸入剤
性状白色~微黄白色の粒

4. 効能・効果

  • 気管支喘息(吸入ステロイド剤及び長時間作動型吸入β2刺激剤の併用が必要な場合)
  • 慢性閉塞性肺疾患(慢性気管支炎・肺気腫)の諸症状の緩解(吸入ステロイド剤及び長時間作動型吸入β2刺激剤の併用が必要な場合)

5. 効能・効果に関連する注意

  • 〈気管支喘息〉
    1. 5.1 本剤の投与開始前には、患者の喘息症状を比較的安定な状態にしておくこと。特に、喘息発作重積状態又は喘息の急激な悪化状態のときには原則として本剤は使用しないこと。
  • 〈慢性閉塞性肺疾患(慢性気管支炎・肺気腫)の諸症状の緩解〉
    1. 5.2 本剤は増悪時の急性期治療を目的として使用する薬剤ではない。

6. 用法・用量

  • 〈気管支喘息〉

    通常、成人には、維持療法として1回1吸入(ブデソニドとして160μg、ホルモテロールフマル酸塩水和物として4.5μg)を1日2回吸入投与する。なお、症状に応じて増減するが、維持療法としての1日の最高量は1回4吸入1日2回(合計8吸入:ブデソニドとして1280μg、ホルモテロールフマル酸塩水和物として36μg)までとする。
    維持療法として1回1吸入あるいは2吸入を1日2回投与している患者は、発作発現時に本剤の頓用吸入を追加で行うことができる。本剤を維持療法に加えて頓用吸入する場合は、発作発現時に1吸入する。数分経過しても発作が持続する場合には、さらに追加で1吸入する。必要に応じてこれを繰り返すが、1回の発作発現につき、最大6吸入までとする。
    維持療法と頓用吸入を合計した本剤の1日の最高量は、通常8吸入までとするが、一時的に1日合計12吸入(ブデソニドとして1920μg、ホルモテロールフマル酸塩水和物として54μg)まで増量可能である。

  • (参考)

    維持療法として用いる場合

    維持療法に加えて頓用吸入としても使用する場合(維持療法として1回1吸入あるいは2吸入を1日2回投与している患者で可能)

    用法・用量

    発作発現時の頓用吸入としての用法・用量

    1回の発作発現における吸入可能回数

    1日最高量

    通常1回1吸入1日2回、症状に応じ1回4吸入1日2回まで。

    1吸入行い、数分経過しても発作が持続する場合、さらに1吸入する。必要に応じてこれを繰り返す。

    6吸入まで。

    通常合計8吸入まで、一時的に合計12吸入まで。3)

    3) 維持療法及び頓用吸入としての使用の合計

  • 〈慢性閉塞性肺疾患(慢性気管支炎・肺気腫)の諸症状の緩解〉

    通常、成人には、1回2吸入(ブデソニドとして320μg、ホルモテロールフマル酸塩水和物として9μg)を1日2回吸入投与する。

7. 用法・用量に関連する注意

  • 〈気管支喘息〉
    1. 7.1 症状の緩解がみられた場合は、治療上必要最小限の用量を投与し、必要に応じ吸入ステロイド剤への切り替えも考慮すること。
    2. 7.2 β刺激剤の薬理学的作用による症状(動悸、頻脈、不整脈、振戦、頭痛及び筋痙攣等)の発現等により本剤を治療上必要な用量まで増量できない場合は、他の治療法を考慮すること。
  • [本剤を維持療法として使用する場合]
    1. 7.3 喘息患者を対象とした国内臨床試験における本剤の1日最高量(1回4吸入1日2回(1,280/36µg/日))の使用経験は少ないため、最高用量(1回4吸入1日2回)の投与は慎重に行うこと。
  • [本剤を維持療法に加えて頓用吸入としても使用する場合]
    1. 7.4 本剤の頓用吸入は維持療法としての使用に追加して行うこと。本剤は頓用吸入のみに使用しないこと。
    2. 7.5 維持療法としての吸入に引き続き頓用吸入を行う場合は、維持療法と頓用吸入の合計で最大6吸入までとすること。
    3. 7.6 維持療法として1回2吸入1日2回を超える用量を投与している場合は、発作発現時に本剤を頓用吸入で使用しないこと(1回2吸入1日2回を超える用量を投与している時に本剤を発作治療薬として頓用吸入した臨床経験がない)。
    4. 7.7 喘息患者を対象とした国際共同臨床試験(日本人患者を含む)において、本剤の通常1日最高量である合計8吸入超の使用経験、及び発作発現時に1回6吸入した使用経験は少ないため、1日最高量の投与は慎重に行うこと。

8. 重要な基本的注意

  • 〈効能共通〉
    1. 8.1 本剤の維持療法としての定期吸入は気管支喘息あるいは慢性閉塞性肺疾患の長期管理を目的としており、毎日規則正しく使用すること。
    2. 8.2 喘息患者及び慢性閉塞性肺疾患患者において、感染を伴う症状の増悪がみられた場合には、ステロイド療法の強化と感染症の治療を考慮すること。
    3. 8.3 本剤の投与を突然中止すると喘息の急激な悪化を起こすことがあるので、投与を中止する場合には患者の喘息症状を観察しながら徐々に減量すること。なお、慢性閉塞性肺疾患患者においても、投与中止により症状が悪化するおそれがあるので、観察を十分に行うこと。
    4. 8.4 全身性ステロイド剤と比較して可能性は低いが、吸入ステロイド剤を長期間投与する場合には、副腎皮質機能低下等の全身作用が発現する可能性がある。特に本剤の高用量を長期間投与する場合には、定期的に検査を行うことが望ましい。また、異常が認められた場合には、患者の症状を観察しながら適切な処置を行うこと。
    5. 8.5 全身性ステロイド剤の減量は本剤吸入開始後症状の安定をみて徐々に行うこと。減量にあたっては一般のステロイド剤の減量法に準ずること。
    6. 8.6 全身性ステロイド剤の減量並びに離脱に伴って、鼻炎、湿疹、蕁麻疹、眩暈、動悸、倦怠感、顔のほてり、結膜炎等の症状が発現・増悪することがあるので、このような症状があらわれた場合には適切な処置を行うこと。
    7. 8.7 過度に本剤の使用を続けた場合、不整脈、場合により心停止を起こすおそれがあるので、用法・用量を超えて投与しないよう注意すること。また、患者に対し、本剤の過度の使用による危険性について理解させ、用法・用量を超えて使用しないよう注意を与えること。
  • 〈気管支喘息〉
    1. 8.8 以下の事項に注意すること。また患者に注意を与えること。
      • 本剤を維持療法として定期吸入する場合は、本剤の投与期間中に発現する発作に対しては、発作治療薬として短時間作動型吸入β2刺激剤等の他の適切な薬剤を使用すること。
      • 本剤を維持療法に加えて頓用吸入としても使用する場合は、発作に対しては、原則として他の発作治療薬は用いず、本剤を使用すること。
    2. 8.9 発作治療薬(本剤の頓用吸入を含む)の使用量が増加したり、効果が十分でなくなってきた場合には、喘息の管理が十分でないことが考えられるので、可及的速やかに医療機関を受診し治療を求めるように患者に注意を与えると共に、そのような状態がみられた場合には、生命を脅かす可能性があるので、本剤の維持用量の増量、あるいは全身性ステロイド剤等の他の適切な薬剤の追加を考慮すること。併用薬剤は症状の軽減に合わせて徐々に減量すること。
    3. 8.10 本剤を維持療法に加えて頓用吸入としても使用し、1日使用量が合計8吸入を超える場合には、医療機関を受診するよう患者に注意を与えること。またこのような患者では、喘息の状態を再度評価し、患者が受けている喘息維持治療の内容についても検討を行うこと。
    4. 8.11 喘息患者において、本剤を含む吸入ステロイド剤投与後に、潜在していた基礎疾患である好酸球性多発血管炎性肉芽腫症にみられる好酸球増多症がまれにあらわれることがある。この症状は通常、全身性ステロイド剤の減量並びに離脱に伴って発現しており、本剤との直接的な因果関係は確立されていない。本剤の投与期間中は、好酸球数の推移や、他の好酸球性多発血管炎性肉芽腫症の症状(しびれ、発熱、関節痛、肺の浸潤等の血管炎症状等)に注意すること。
  • 〈慢性閉塞性肺疾患(慢性気管支炎・肺気腫)の諸症状の緩解〉
    1. 8.12 本剤の投与期間中に発現する慢性閉塞性肺疾患の急性増悪に対しては、医療機関を受診するよう患者に注意を与えること。

9. 特定の背景を有する患者に関する注意

9.1 合併症・既往歴等のある患者

  1. 9.1.1 結核性疾患の患者

    ステロイドの作用により症状を増悪するおそれがある。

  2. 9.1.2 感染症(有効な抗菌剤の存在しない感染症、深在性真菌症を除く)の患者

    ステロイドの作用により症状を増悪するおそれがある。

  3. 9.1.3 甲状腺機能亢進症の患者

    甲状腺機能亢進症の症状を悪化させるおそれがある。

  4. 9.1.4 高血圧の患者

    血圧を上昇させるおそれがある。

  5. 9.1.5 心疾患のある患者

    β1作用により症状を増悪させるおそれがある。

  6. 9.1.6 糖尿病の患者

    グリコーゲン分解作用及びステロイドの作用により症状を増悪させるおそれがある。

  7. 9.1.7 低カリウム血症の患者

    Na+/K+ ATPaseを活性化し細胞外カリウムを細胞内へ移動させることにより低カリウム血症を増悪させるおそれがある。

  8. 9.1.8 長期又は大量の全身性ステロイド療法を受けている患者

    全身性ステロイド剤の減量中並びに離脱後も副腎皮質機能検査を行い、外傷、手術、重症感染症等の侵襲には十分に注意を払うこと。また、必要があれば一時的に全身性ステロイド剤の増量を行うこと。これらの患者では副腎皮質機能不全となっていることが考えられる。

  9. 9.1.9 喘息悪化により気管支粘液の分泌が著しい患者

    全身性ステロイド剤等の併用を考慮すること。

  10. 9.1.10 低酸素血症の患者

    血清カリウム値をモニターすることが望ましい。低酸素血症は血清カリウム値の低下が心リズムに及ぼす作用を増強することがある。

9.3 肝機能障害患者

  1. 9.3.1 重度な肝機能障害のある患者

    本剤の成分であるブデソニド及びホルモテロールはいずれも主に肝臓で代謝されるため血中濃度が上昇する可能性がある。

9.5 妊婦

妊婦又は妊娠している可能性のある女性には、治療上の有益性が危険性を上回ると判断される場合にのみ投与すること。ラットを用いた器官形成期毒性試験では、ブデソニド/ホルモテロールフマル酸塩水和物として12/0.66µg/kg以上を吸入投与したときに、着床後胚損失率の増加、及び催奇形性作用が認められたことが報告されている。

9.6 授乳婦

治療上の有益性及び母乳栄養の有益性を考慮し、授乳の継続又は中止を検討すること。
ブデソニドはヒト乳汁に移行するが、乳児の血液中には検出されないことが報告されている。ホルモテロールのヒト乳汁への移行は不明であるが、ラット乳汁への移行が報告されている。

9.7 小児等

小児等に対する臨床試験は実施していない。

9.8 高齢者

患者の状態を観察しながら慎重に投与すること。一般に生理機能が低下している。

10. 相互作用

  • ブデソニドは主として肝代謝酵素CYP3A4で代謝される。

10.2 併用注意(併用に注意すること)

薬剤名等臨床症状・措置方法機序・危険因子

CYP3A4阻害剤

  • イトラコナゾール等

副腎皮質ステロイド剤を全身投与した場合と同様の症状があらわれる可能性がある。

CYP3A4による代謝が阻害されることにより、ブデソニドの血中濃度が上昇する可能性がある。

カテコールアミン

  • アドレナリン
    イソプレナリン等

不整脈、場合によっては心停止を起こすおそれがあるので、副作用の発現に注意し、異常が認められた場合には減量又は投与を中止するなど適切な処置を行うこと。

併用により、アドレナリン作動性神経刺激の増大が起きる。
そのため、不整脈を起こすことがある。

キサンチン誘導体

  • テオフィリン
    アミノフィリン等

低カリウム血症による不整脈を起こすおそれがある。血清カリウム値のモニターを行うことが望ましい。

キサンチン誘導体はアドレナリン作動性神経刺激を増大させるため、血清カリウム値の低下を増強することがある。

全身性ステロイド剤

  • プレドニゾロン
    ベタメタゾン等

低カリウム血症による不整脈を起こすおそれがある。血清カリウム値のモニターを行うことが望ましい。

全身性ステロイド剤及び利尿剤は尿細管でのカリウム排泄促進作用があるため、血清カリウム値の低下が増強することが考えられる。

利尿剤

  • フロセミド等

低カリウム血症による不整脈を起こすおそれがある。血清カリウム値のモニターを行うことが望ましい。

全身性ステロイド剤及び利尿剤は尿細管でのカリウム排泄促進作用があるため、血清カリウム値の低下が増強することが考えられる。

β遮断剤

  • アテノロール等

ホルモテロールの作用を減弱する可能性がある。

β受容体において競合的に拮抗する。

QT間隔延長を起こすことが知られている薬剤

  • 抗不整脈剤
    三環系抗うつ剤等

QT間隔が延長され心室性不整脈等のリスクが増大するおそれがある。

いずれもQT間隔を延長させる可能性がある。

11. 副作用

次の副作用があらわれることがあるので、観察を十分に行い、異常が認められた場合には投与を中止するなど適切な処置を行うこと。

11.1 重大な副作用

  1. 11.1.1 アナフィラキシー(頻度不明)

    アナフィラキシー(呼吸困難、気管支攣縮、全身潮紅、血管浮腫、蕁麻疹等)があらわれることがある。

  2. 11.1.2 重篤な血清カリウム値の低下(0.1~1%未満)

    キサンチン誘導体、ステロイド剤及び利尿剤の併用により増強することがあるので、重症喘息患者では特に注意すること。,

11.2 その他の副作用

1~5%未満

0.1~1%未満

0.1%未満

頻度不明

過敏症

発疹、蕁麻疹、接触性皮膚炎、血管浮腫等の過敏症状

口腔・呼吸器

嗄声

咽喉頭の刺激感、口腔カンジダ症、咳嗽、感染、肺炎

味覚異常、気管支痙攣4)

消化器

悪心

精神神経系

頭痛、振戦、神経過敏

情緒不安、めまい、睡眠障害

激越、抑うつ、行動障害

循環器

動悸、不整脈(心房細動、上室性頻脈、期外収縮等)、頻脈、血圧上昇

狭心症

筋・骨格系

筋痙攣

内分泌

高血糖

その他

皮膚挫傷

4) 短時間作動型吸入β2刺激剤を投与するなどの適切な処置を行うこと。

13. 過量投与

  1. 13.1 症状

    ブデソニドの過量投与により副腎皮質系機能が低下することがある。ホルモテロールフマル酸塩水和物の過量投与により、動悸、頻脈、不整脈、振戦、頭痛及び筋痙攣等、β刺激剤の薬理学的作用による全身作用が発現する可能性がある。また、重篤な症状として、血圧低下、代謝性アシドーシス、低カリウム血症、高血糖、心室性不整脈あるいは心停止等が発現する可能性がある。

  2. 13.2 処置

    副腎皮質系機能の低下がみられた場合には患者の症状を観察しながら徐々に減量するなど適切な処置を行うこと。

14. 適用上の注意

14.1 薬剤交付時の注意

  1. 14.1.1 吸入前

    本剤の投与にあたって、吸入器の操作法、吸入法等を十分に説明すること。

    1. (1) 患者に本剤を交付する際には、包装中に添付している患者用説明文書を渡し、使用方法を指導すること。
    2. (2) 初めて本剤を投与する患者には、本剤が十分に気道に到達するよう吸入方法をよく説明したうえ、吸入の訓練をさせること。
  2. 14.1.2 吸入時
    • 本剤は口腔内への吸入投与のみに使用すること。
  3. 14.1.3 吸入後
    • 口腔カンジダ症又は嗄声の予防のため、本剤吸入後に、うがいを実施するよう患者を指導すること。ただし、うがいが困難な患者には、うがいではなく口腔内をすすぐよう指導すること。
  4. 14.1.4 保管時
    1. (1) 使用後は必ずキャップ(カバー)を閉めて保管すること。
    2. (2) 白色吸入口の外側を週に1~2回乾燥した布で清拭すること(水洗いはしないこと)。

15. その他の注意

15.1 臨床使用に基づく情報

  1. 15.1.1 外国における疫学調査で、吸入ステロイド剤投与によりまれに白内障が発現するとの報告がある。

16. 薬物動態

16.1 血中濃度

  1. 16.1.1 単回投与
    1. (1) 健康成人男性(14例)にブデソニド・ホルモテロールフマル酸塩水和物吸入剤4吸入(ブデソニド:640µg、ホルモテロールフマル酸塩水和物:18µg)を単回吸入投与したとき、ブデソニド及びホルモテロールはいずれも速やかに最高血漿中濃度(Cmax)に達した。消失半減期(t1/2)はブデソニドで約3時間、ホルモテロールで約6時間であった1)
      表1 単回吸入投与後のブデソニドの薬物動態パラメータ(14例の平均値±標準偏差)

      ブデソニド
      (µg)

      Cmax
      (nmol/L)

      Tmax
      (min)

      AUC0-∞
      (nmol・h/L)

      t1/2
      (h)

      640

      10.3±2.37

      5.36±1.34

      14.0±1.93

      3.09±0.49

      表2 単回吸入投与後のホルモテロールの薬物動態パラメータ(14例の平均値±標準偏差)

      ホルモテロールフマル酸塩水和物(µg)

      Cmax
      (pmol/L)

      Tmax
      (min)

      AUC0-∞
      (pmol・h/L)

      t1/2
      (h)

      18

      175±56.4

      5.00±0.00

      329±81.0

      6.14±2.66

    2. (2) ブデホル吸入粉末剤60吸入「ニプロ」とシムビコートタービュヘイラー60吸入のそれぞれ1回4吸入(ブデソニドとして640μg、ホルモテロールフマル酸塩水和物として18μg)を、クロスオーバー法により健康成人男子に絶食単回吸入投与して血漿中ブデソニド濃度及び血漿中ホルモテロール濃度を測定した。得られた薬物動態パラメータ(Cmax)について、対数変換値の分散分析を行った結果、被験者内変動要因の薬剤に有意差(p<0.05)が認められず、ブデホル吸入粉末剤60吸入「ニプロ」のCmaxはシムビコートタービュヘイラー60吸入のCmaxを上回らないことが確認された2)
  2. 16.1.2 反復投与

    健康成人男性(11~12例)にブデソニド・ホルモテロールフマル酸塩水和物吸入剤2吸入(ブデソニド:320µg、ホルモテロールフマル酸塩水和物:9µg)または4吸入(ブデソニド:640µg、ホルモテロールフマル酸塩水和物:18µg)を1日2回7日間反復投与したとき、ブデソニド及びホルモテロールはそれぞれ投与後10分以内、投与後5分にCmaxに達した。t1/2はブデソニドで約3.5時間、ホルモテロールで約5~7時間であった。ブデソニド及びホルモテロールのCmax及び血漿中濃度-時間曲線下面積(AUC)は投与量にほぼ比例して増加した。ブデソニド及びホルモテロールともに反復投与による薬物動態の変化は認められなかった1)

16.3 分布

ヒト血漿蛋白質との結合率はブデソニドで約90%3)、ホルモテロールで約50%4)であった(in vitro試験)。分布容積はブデソニドで約3L/kg5)、ホルモテロールで約5L/kg6),7)であった。

16.4 代謝

  • ブデソニド

    ブデソニドの血漿及び尿中の主代謝物は、16α-ヒドロキシプレドニゾロン及び6β-ヒドロキシブデソニドであり、尿中に未変化体は検出されなかった8)。ブデソニドの代謝にはCYP3A4が関与する8),9)in vitro試験)。

  • ホルモテロール

    ヒト血漿及び尿中の主代謝物は、ホルモテロールのグルクロン酸抱合体であった。尿中にはO-脱メチル化体のグルクロン酸抱合体も認められた10)。ホルモテロールのO-脱メチル化反応には主としてCYP2D6及びCYP2Cが関与する11)in vitro試験)。

16.5 排泄

健康成人に3H標識ブデソニド100µgを静脈内投与したとき、投与後96時間までに投与量の57%が尿中に、34%が糞中に排泄された12)(外国人データ)。
健康成人に3H標識ホルモテロール37µgを経口投与後直ちに3H標識ホルモテロール16µgを静脈内持続注入(30分)したとき、投与後168時間までに投与放射能の62%が尿中に、24%が糞中に排泄された10)(外国人データ)。

16.7 薬物相互作用

  1. 16.7.1 健康成人にブデソニド・ホルモテロールフマル酸塩水和物吸入剤吸入投与後のブデソニド及びホルモテロール各成分の薬物動態パラメータは、ブデソニド及びホルモテロールの各単剤を投与(ドライパウダー定量吸入器を使用)したときと同様であった13)(外国人データ)。
  2. 16.7.2 健康成人にブデソニド3mg(カプセル剤)とケトコナゾール200mgを併用経口投与したとき、ブデソニドの平均AUCはブデソニド単剤投与時に比べて6.8倍上昇した14)。また、ブデソニド1,000µg(加圧式定量噴霧吸入器)を吸入時にイトラコナゾール200mgを経口投与したとき、ブデソニドの平均AUCはブデソニド単剤投与時に比べて4.2倍上昇した15)

17. 臨床成績

17.1 有効性及び安全性に関する試験

  • 〈気管支喘息〉
    1. 17.1.1 国内第III相試験

      テオフィリン徐放製剤と吸入ステロイド剤を併用中の成人気管支喘息患者346例を対象とした無作為化二重盲検実薬対照並行群間比較試験において、ブデソニド・ホルモテロールフマル酸塩水和物吸入剤(ブデソニド/ホルモテロールフマル酸塩水和物)1回1吸入1日2回、又は対照薬(ブデソニドとテオフィリン徐放製剤の併用)1日2回を8週間投与した結果は、下表のとおりであった16)

      表1 朝のピークフロー値の投与前からの変化量(L/min)

      投与群

      症例数

      投与前からの
      変化量a)

      群間差b)
      95%信頼区間

      ブデソニド・ホルモテロール(ブデソニド/ホルモテロールフマル酸塩水和物吸入剤)

      176

      15.2±31.2

      8.76
      (2.64, 14.88)

      対照(ブデソニド+テオフィリン徐放製剤)

      170

      6.5±26.2

      a) 算術平均±標準偏差、b) 投与前値で調整した平均値の差

      副作用発現頻度は、ブデソニド・ホルモテロールフマル酸塩水和物群で8.0%(14/176例)であった。主な副作用は、筋痙縮2.3%(4/176例)、頭痛及び喘息 各1.1%(2/176例)であった。

    2. 17.1.2 国内長期投与試験

      成人気管支喘息患者138例を対象とした長期投与試験において、ブデソニド・ホルモテロールフマル酸塩水和物吸入剤1回1吸入、2吸入または4吸入1日2回を52週間投与したとき、全投与期間における朝のピークフロー値の平均は観察期間に比較して 27.3L/min増加し、その効果は投与52週間にわたって維持された17)。なお、本試験では、組み入れ時のステロイドの用量に応じてブデソニド・ホルモテロールフマル酸塩水和物1吸入または2吸入1日2回で投与開始し、投与開始2週以降は症状に応じて4吸入1日2回まで適宜増減した。
      副作用発現頻度は、ブデソニド・ホルモテロールフマル酸塩水和物群で31.9%(44/138例)であった。主な副作用は、発声障害11.6%(16/138例)、動悸5.1%(7/138例)、筋痙縮3.6%(5/138例)、咽喉頭疼痛2.9%(4/138例)であった。

    3. 17.1.3 国際共同第III相試験

      成人気管支喘息患者2,091例(日本人患者400例を含む)を対象とした無作為化二重盲検実薬対照並行群間比較試験において、ブデソニド・ホルモテロールフマル酸塩水和物吸入剤1回1吸入1日2回を維持療法として定期吸入することに加えて、発作発現時(咳嗽、喘鳴、胸苦しさ、息切れ等の喘息症状)にブデソニド・ホルモテロールフマル酸塩水和物または対照薬(テルブタリン硫酸塩の吸入剤5))を頓用吸入する治療法を52週間行った。ブデソニド・ホルモテロールフマル酸塩水和物を維持療法として定期吸入することに加えて発作発現時に頓用吸入する治療法により、初回の重症急性増悪までの期間が有意に延長し(p=0.0007、ログランク検定)、初回の重症急性増悪のリスクは約30%低下した。また対照群と比較して重症急性増悪回数は少なく(0.214回/人・年 対 0.307回/人・年)、重症急性増悪を発現した患者の割合についても小さかった(16.2% 対 22.0%)18),19)
      副作用発現頻度は、ブデソニド・ホルモテロールフマル酸塩水和物を維持療法として定期吸入することに加えて発作発現時に頓用吸入する治療法群で3.9%(41/1049例)であった。主な副作用は、口腔カンジダ症及び動悸 各0.5%(5/1049例)、発声障害及び細菌性上気道感染 各0.3%(3/1049例)であった。

    4. 17.1.4 海外第III相試験

      外国人の成人及び思春期気管支喘息患者3,394例を対象とした12ヵ月間の無作為化二重盲検実薬対照並行群間比較試験において、ブデソニド・ホルモテロールフマル酸塩水和物吸入剤を維持療法として定期吸入(1吸入1日2回)することに加えて発作発現時(咳嗽、喘鳴、胸苦しさ、息切れ等の喘息症状)に頓用吸入する治療法により、対照群(ブデソニド・ホルモテロールフマル酸塩水和物1吸入1日2回の定期吸入に加えて発作発現時にホルモテロール6)を頓用吸入)と比較して、初回の重症急性増悪までの期間が有意に延長し(p=0.0048、ログランク検定)、初回の重症急性増悪のリスクは27%低下した。また、対照群と比較して、重症急性増悪回数は少なかった(0.19回/人・年 対 0.29回/人・年)20),21)
      有害事象発現頻度は、ブデソニド・ホルモテロールフマル酸塩水和物を維持療法として定期吸入することに加えて発作発現時に頓用吸入する治療法群で50.2%(556/1107例)であった。主な有害事象は、鼻咽頭炎10.1%(112/1107例)、咽頭炎5.8%(64/1107例)及び上気道感染5.2%(58/1107例)であった。

    5. 17.1.5 海外第III相試験

      外国人の成人及び思春期気管支喘息患者3,335例を対象とした6ヵ月間の無作為化二重盲検実薬対照並行群間比較試験において、ブデソニド・ホルモテロールフマル酸塩水和物吸入剤を維持療法として定期吸入(1吸入1日2回)することに加えて発作発現時(咳嗽、喘鳴、胸苦しさ、息切れ等の喘息症状)に頓用吸入する治療法により、対照群(サルメテロール/フルチカゾンプロピオン酸エステル配合剤100/500µg/日の定期吸入に加えて発作発現時にテルブタリン硫酸塩5)を頓用吸入)と比較して、初回の重症急性増悪までの期間が有意に延長し(p=0.0034、ログランク検定)、初回の重症急性増悪のリスクは33%低下した。また、対照群と比較して、重症急性増悪回数は少なかった(0.12回/人・6ヵ月 対 0.19回/人・6ヵ月)22),23)
      有害事象発現頻度は、ブデソニド・ホルモテロールフマル酸塩水和物を維持療法として定期吸入することに加えて発作発現時に頓用吸入する治療法群で41.4%(457/1103例)であった。主な有害事象は、上気道感染5.5%(61/1103例)、咽頭炎5.2%(57/1103例)及び鼻咽頭炎4.3%(47/1103例)であった。

    6. 17.1.6 海外第III相試験

      外国人の成人及び思春期気管支喘息患者2,309例を対象とした26週間の無作為化二重盲検実薬対照並行群間比較試験において、ブデソニド・ホルモテロールフマル酸塩水和物吸入剤を維持療法として定期吸入(2吸入1日2回投与)することに加えて発作発現時(咳嗽、喘鳴、胸苦しさ、息切れ等の喘息症状)に頓用吸入する治療法により、対照群(サルメテロール/フルチカゾンプロピオン酸エステル配合剤100/1,000µg/日を維持療法として定期的に吸入し、発作発現時にテルブタリン硫酸塩5)を頓用吸入)と比較して重症急性増悪回数は少なかった(0.12回/人・6ヵ月 対 0.16回/人・6ヵ月)が、主要評価項目である初回の重症急性増悪までの期間に関する対比較において有意差は認められなかった(p=0.12、国を層としたCoxの比例ハザードモデル)24),25)
      有害事象発現頻度は、ブデソニド・ホルモテロールフマル酸塩水和物を維持療法として定期吸入することに加えて発作発現時に頓用吸入する治療法群で39.2%(451/1151例)であった。主な有害事象は、上気道感染5.6%(64/1151例)、鼻咽頭炎4.7%(54/1151例)及び頭痛3.2%(37/1151例)であった。

      5) テルブタリン硫酸塩の吸入剤は本邦未承認

      6) ホルモテロールの吸入剤は気管支喘息に対して本邦未承認

  • 〈慢性閉塞性肺疾患(慢性気管支炎・肺気腫)〉
    1. 17.1.7 国際共同第III相試験

      慢性閉塞性肺疾患患者1,293例(日本人患者312例を含む)を対象とした12週間の国際共同無作為化二重盲検実薬対照並行群間比較試験26),27)において、ブデソニド・ホルモテロールフマル酸塩水和物吸入剤2吸入1日2回投与により、ホルモテロールフマル酸塩水和物に比して肺機能が有意に改善した(表2)。

      表2 全投与期間中の平均投与前FEV1のベースラインに対する比

      ブデソニド・ホルモテロール群

      ホルモテロール群

      ブデソニド・ホルモテロール群のホルモテロール群に対する比
      [95%信頼区間]
      p値b)

      例数

      幾何
      平均値
      (CV%)

      中央値
      (範囲)

      例数

      幾何
      平均値
      (CV%)

      中央値
      (範囲)

      ベースライン(L)

      635

      0.971
      (38.254)

      0.980
      (0.33-
      2.53)

      657

      0.945
      (37.963)

      0.950
      (0.31-
      2.61)

      全投与期間の平均a)(L)

      619

      1.021
      (41.361)

      1.033
      (0.35-
      3.29)

      635

      0.968
      (38.628)

      0.967
      (0.32-
      2.58)

      ベースラインに対する比
      (%)

      618

      104.6
      (18.7)

      102.6
      (37.4-
      311.1)

      635

      101.5
      (16.6)

      100.7
      (35.1-
      218.5)

      1.032
      [1.013,
      1.052]
      (p=0.0011)

      a) 投与後4、8及び12週の投与前FEV1の幾何平均値
      b) 国及び投与群を因子、ベースライン値を共変量とした乗法分散分析モデル(対数線形モデル)

      更にブデソニド・ホルモテロールフマル酸塩水和物投与によりホルモテロールに比して増悪回数が減少し(ブデソニド・ホルモテロールフマル酸塩水和物93件、ホルモテロール151件)、増悪を発現した患者の割合についても小さく(ブデソニド・ホルモテロールフマル酸塩水和物11.9%〈76/636例〉、ホルモテロール16.9%〈111/657例〉)、初回増悪までの期間が延長した。
      副作用発現頻度は、ブデソニド・ホルモテロールフマル酸塩水和物群で4.2%(27/636例)であった。主な副作用は、発声障害1.6%(10/636例)、慢性閉塞性肺疾患及び食道カンジダ症 各0.5%(3/636例)、肺炎0.3%(2/636例)であった。

    2. 17.1.8 国内長期投与試験

      慢性閉塞性肺疾患患者260例を対象とした長期投与試験28),29)において、ブデソニド・ホルモテロールフマル酸塩水和物吸入剤2吸入1日2回を52週間投与したとき、投与前からのFEV1の改善が維持された。
      副作用発現頻度は、ブデソニド・ホルモテロールフマル酸塩水和物群で25.4%(33/130例)であった。主な副作用は、肺炎及び発声障害 各3.8%(5/130例)、慢性閉塞性肺疾患、口腔カンジダ症及び食道カンジダ症 各2.3%(3/130例)であった。

    3. 17.1.9 海外第III相試験

      外国人の慢性閉塞性肺疾患患者1,022例を対象とした12ヵ月の無作為化二重盲検並行群間比較試験において、ブデソニド・ホルモテロールフマル酸塩水和物吸入剤2吸入1日2回投与はプラセボ、ブデソニド7)あるいはホルモテロールに比して肺機能を有意に改善した(表3)30),31)。またブデソニド・ホルモテロールフマル酸塩水和物投与により初回の重度増悪までの期間がプラセボ、ホルモテロールあるいはブデソニド7)に比して有意に延長した(表4)。
      有害事象発現頻度は、ブデソニド・ホルモテロールフマル酸塩水和物群で62%(157/254例)であった。主な有害事象は、慢性閉塞性気道疾患19%(49/254例)及び呼吸器感染14%(36/254例)であった。

      表3 全投与期間中の平均投与後FEV1のベースラインに対する比

      例数

      ベースライン
      (L)a)

      全投与期間中の平均 (L)a),b)

      ベースラインに対する調整済み比
      (%)c)

      ブデソニド・ホルモテロール群の各群に対する比
      [95%信頼区間](%)c)

      p値c)

      ブデソニド・ホルモテロール群

      234

      1.11
      (0.3-3.1)

      1.10
      (0.4-2.8)

      98.96

      プラセボ群

      214

      1.14
      (0.4-3.3)

      0.98
      (0.4-3.2)

      86.74

      114.09
      [110.45,
      117.84]

      <0.001

      ブデソニド群

      223

      1.13
      (0.3-3.3)

      1.00
      (0.4-2.8)

      88.88

      111.34
      [107.82,
      114.97]

      <0.001

      ホルモテロール群

      213

      1.18
      (0.4-2.7)

      1.09
      (0.4-3.0)

      93.93

      105.36
      [101.99,
      108.84]

      0.002

      a) 幾何平均値(範囲)
      b) 投与後1、2、3、6、9及び12ヵ月の幾何平均値
      c) 国及び投与群を因子、ベースライン値を共変量とした乗法分散分析モデル(対数線形モデル)

      表4 初回の重度増悪までの期間(日)

      中央値(日)

      ブデソニド・ホルモテロール群の各群に対する
      ハザード比a)[95%信頼区間]

      p値b)

      ブデソニド・ホルモテロール群

      254

      プラセボ群

      96

      0.715[0.562, 0.910]

      0.017

      ブデソニド群

      178

      0.773[0.611, 0.980]

      0.037

      ホルモテロール群

      154

      0.705[0.558, 0.891]

      0.002

      注 経口ステロイドまたは抗生物質の使用を必要とした増悪、あるいは入院を必要とした増悪と定義した
      a) Cox比例ハザードモデルに基づき算出
      b) ログランク検定

    4. 17.1.10 海外第III相試験

      外国人の慢性閉塞性肺疾患患者812例を対象とした12ヵ月の無作為化二重盲検並行群間比較試験において、ブデソニド・ホルモテロールフマル酸塩水和物吸入剤2吸入1日2回投与はプラセボあるいはブデソニド7)に比して肺機能を有意に改善した(表5)31),32)。またブデソニド・ホルモテロールフマル酸塩水和物投与により重度増悪回数がプラセボあるいはホルモテロールに比して有意に減少した(表6)。
      有害事象発現頻度は、ブデソニド・ホルモテロールフマル酸塩水和物群で65%(136/208例)であった。主な有害事象は、慢性閉塞性気道疾患17%(35/208例)及び呼吸器感染12%(24/208例)であった。

      表5 全投与期間中の平均投与後FEV1のベースラインに対する比

      例数

      ベースライン(L)a)

      全投与期間中の平均(L)a),b)

      ベースラインに対する調整済み比(%)c)

      ブデソニド・ホルモテロール群の各群に対する比
      [95%信頼区間](%)c)

      p値c)

      ブデソニド・ホルモテロール群

      201

      0.96
      (0.4-2.0)

      1.08
      (0.4-2.9)

      111.52

      プラセボ群

      185

      0.98
      (0.4-2.8)

      0.95
      (0.4-2.3)

      97.03

      114.94
      [110.96,
      119.06]

      <0.001

      ブデソニド群

      182

      0.98
      (0.4-2.3)

      1.01
      (0.5-2.4)

      102.14

      109.18
      [105.38,
      113.12]

      <0.001

      ホルモテロール群

      191

      1.00
      (0.4-2.7)

      1.10
      (0.4-3.2)

      110.15

      101.25
      [97.76,
      104.86]

      0.487

      a) 幾何平均値(範囲)
      b) 投与後1、2、3、6、9及び12ヵ月の幾何平均値
      c) 国及び投与群を因子、ベースライン値を共変量とした乗法分散分析モデル(対数線形モデル)

      表6 全投与期間中の重度増悪回数

      例数

      平均回数a)
      (/人・年)

      ブデソニド・ホルモテロール群の各群に対する比
      [95%信頼区間]a)

      p値a),b)

      ブデソニド・ホルモテロール群

      204

      1.42

      プラセボ群

      201

      1.87

      0.758[0.586, 0.981]

      0.035

      ブデソニド群

      192

      1.59

      0.889[0.682, 1.159]

      0.385

      ホルモテロール群

      199

      1.84

      0.771[0.599, 0.992]

      0.043

      注 経口ステロイドまたは抗生物質の使用を必要とした増悪、あるいは入院を必要とした増悪と定義した
      a) 国及び投与群を因子とし、観察期間(対数)をオフセット変数とし、overdispersionを調整したポアソン分布(対数連結関数)を仮定した一般化線形モデル(ポアソン回帰モデル)
      b) 有意水準:両側5%、検定の多重性の調整あり

      7) ブデソニド吸入剤は慢性閉塞性肺疾患に対して本邦未承認

    5. 17.1.11 治療学的同等性試験

      吸入ステロイド剤又は吸入ステロイド剤及び長時間作動型吸入β2刺激剤の併用による治療を継続的に受けている気管支喘息患者を対象とした部分遮蔽、並行群間比較試験において、ブデホル吸入粉末剤60吸入「ニプロ」又はシムビコートタービュヘイラー60吸入を1回2吸入1日2回8週間反復吸入投与した。得られたパラメータ(吸入8週時(吸入前)のトラフFEV1のベースライン(ブデホル吸入粉末剤60吸入「ニプロ」:2.700±0.704L、シムビコートタービュヘイラー60吸入:2.827±0.770L)からの変化量について95%信頼区間法にて統計解析を行った結果、同等の許容域±0.185Lの範囲内であり、両剤の治療学的同等性が確認された33)

      吸入8週時(吸入前)のトラフFEV1のベースラインからの変化量(L)

      投与群

      症例数

      ベースラインからの変化量(吸入8週時(吸入前))
      (L)
      平均値±標準偏差

      群間差
      [95%信頼区間]

      ブデホル吸入粉末剤60吸入「ニプロ」

      126

      0.065±0.263

      -0.036
      [-0.101, 0.029]

      シムビコートタービュヘイラー60吸入

      122

      0.101±0.252

18. 薬効薬理

18.1 作用機序

  • ブデソニド

    ブデソニドは、特有の動態学的特性を示す糖質コルチコイドである34)。吸入ブデソニドは、主に気道組織内で可逆的脂肪酸エステル化を受けるが、この特性はブデソニドの持続的な局所組織結合及び抗炎症作用に寄与すると考えられる35)

  • ホルモテロールフマル酸塩水和物

    ホルモテロールは長時間作用型のβ2刺激剤である36)

  • ブデソニド+ホルモテロールフマル酸塩水和物

    気管支保護作用及び肺浮腫抑制作用で認められた相乗作用の機序は明らかになっていないが、長時間作動型吸入β2刺激剤のクラスエフェクトと考えられ37)、その機序の一つとしてβ2刺激剤が糖質コルチコイド受容体の核移行を促進することが提唱されている38)

18.2 抗炎症作用

  • ブデソニド

    ブデソニドは、in vitroにおいて各種炎症性メディエータ及びサイトカインの産生及び遊離を抑制し39),40)、動物モデルへの局所投与によって気道内好酸球数増加40),41)、血管透過性亢進42)、炎症性肺浮腫形成43)及び気道粘液繊毛輸送能低下44)に対して抑制作用を示した。

18.3 気道過敏反応抑制作用

  • ブデソニド

    各種動物喘息モデルにおいて、抗原投与後の即時型及び遅発型喘息反応45)、並びに、気道過敏反応40),41)を抑制した。

18.4 気管支拡張作用

  • ホルモテロールフマル酸塩水和物

    ホルモテロールは迅速かつ持続的な気管支平滑筋弛緩作用を示した36)。また、モルモット喘息モデルにおいて、ホルモテロールフマル酸塩は吸入投与によって経口投与よりも低い用量で抗喘息作用を示し、経口、皮下及び吸入投与のいずれにおいてもサルブタモールより強力な抗喘息作用を示した46)
    外国人の成人気管支喘息患者を対象とした試験において、ホルモテロールを単回吸入したとき、吸入投与後3分以内に肺機能(FEV1)が有意に改善し、作用は12時間持続した47)

18.5 GM-CSF産生の抑制作用

  • ブデソニド+ホルモテロールフマル酸塩水和物

    In vitroのヒト気管支上皮細胞において、ブデソニドとホルモテロールの同時添加によって、TNF-α刺激GM-CSF産生を単独添加よりも強力に抑制した48)

18.6 気管支保護作用及び肺浮腫抑制作用

  • ブデソニド+ホルモテロールフマル酸塩水和物

    ラットアレルギーモデルの気管内にブデソニドとホルモテロールを併用投与時、メタコリン誘発気道収縮及び肺浮腫を相乗的に抑制した(各抑制率(%)は、ブデソニド、ホルモテロール、併用の順に、気道収縮:29.1、12.9、73.2、肺浮腫:25.9、15.7、45.3)49)

19. 有効成分に関する理化学的知見

〈ブデソニド〉

一般的名称

ブデソニド(Budesonide)

化学名

16α,17-[(1RS)-Butylidenebis(oxy)]-11β,21-dihydroxypregna-1,4-diene-3,20-dione

分子式

C25H34O6

分子量

430.53

性状

・白色~微黄白色の結晶又は結晶性の粉末である。
・メタノールにやや溶けやすく、アセトニトリル又はエタノール(99.5)にやや溶けにくく、水にほとんど溶けない。
・旋光度〔α〕25D :+102 ~ +109° (0.25g、メタノール、25mL、100mm)。
・融点:約240℃(分解)。

化学構造式

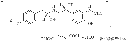
〈ホルモテロールフマル酸塩水和物〉

一般的名称

ホルモテロールフマル酸塩水和物(Formoterol Fumarate Hydrate)

化学名

N-(2-Hydroxy-5-{(1RS)-1-hydroxy-2-[(2RS)-1-(4-methoxyphenyl)propan-2-ylamino]ethyl}phenyl)formamide hemifumarate monohydrate

分子式

(C19H24N2O4)2・C4H4O4・2H2O

分子量

840.91

性状

・白色~帯黄白色の結晶性の粉末である。
・酢酸(100)に溶けやすく、メタノールにやや溶けやすく、水又はエタノール(95)に極めて溶けにくく、ジエチルエーテルにほとんど溶けない。
・メタノール溶液(1→100)は旋光性を示さない。
・融点:約138℃(分解)。

化学構造式

22. 包装

  • ブデホル吸入粉末剤30吸入「ニプロ」

    1本

  • ブデホル吸入粉末剤60吸入「ニプロ」

    1本

23. 主要文献

1) 深瀬広幸 他:アレルギー・免疫, 2009;16(10):1586-1602(L20230988)

2) 社内資料:血漿中濃度(吸入粉末剤60吸入)

3) ブデソニドのin vitro血漿蛋白結合(シムビコートタービュヘイラー:2009年10月16日承認、CTD2.6.4.4)(L20240476)

4) ホルモテロールフマル酸塩のin vitro血漿蛋白結合(843-RD-0354)(シムビコートタービュヘイラー:2009年10月16日承認、CTD2.7.2.2)(L20201412)

5) 宮本昭正 他:アレルギーの領域, 1997;4(S-1):18-25(L20230989)

6) ホルモテロール吸入投与時の肺内到達率(SD-037-0602)(シムビコートタービュヘイラー:2009年10月16日承認、CTD2.7.2.2)(L20230980)

7) 第I相単回投与試験(シムビコートタービュヘイラー:2009年10月16日承認、CTD2.7.6.2)(L20240477)

8) 肝における代謝(シムビコートタービュヘイラー: 2009年10月16日承認、CTD2.6.4.5)(L20240478)

9) Jönsson G, et al. Drug Metab Dispos. 1995;23:137-142(L20201413)

10) Rosenborg J, et al. Drug Metab Dispos. 1999;27:1104-1116(L20201414)

11) ホルモテロールのシトクロムP450阻害作用の検討(843-RD-0395)(シムビコートタービュヘイラー:2009年10月16日承認、CTD2.7.2.2)(L20230981)

12) 既提出資料の要約(ゼンタコートカプセル:2016年9月28日承認、CTD2.5.3.2)(L20240479)

13) シムビコートと各単剤の血漿中濃度の比較(SD-039-0259)(シムビコートタービュヘイラー:2009年10月16日承認、CTD2.7.1.2)(L20201415)

14) Seidegård J. Clin Pharmacol Ther. 2000;68:13-17(L20201416)

15) Raaska K, et al. Clin Pharmacol Ther. 2002;72:362-369(L20201417)

16) 大田 健 他:アレルギー・免疫, 2010;17(4):624-638(L20230990)

17) 足立 満:アレルギー・免疫, 2010;17(2):266-282(L20230991)

18) Atienza T, et al. Respirology. 2013;18(2):354-363(L20201418)

19) 国際共同第III相試験(D589LC00001)(シムビコートタービュヘイラー:2012年6月22日承認、CTD2.7.6.2.1)(L20240480)

20) Rabe KF, et al. Lancet. 2006;368:744-753(L20201419)

21) 海外第III相試験(SD-039-0734)(シムビコートタービュヘイラー:2012年6月22日承認、CTD2.7.6.2.4)(L20240481)

22) Kuna P, et al. Int J Clin Pract. 2007;61:725-736(L20201420)

23) 海外第III相試験(SD-039-0735)(シムビコートタービュヘイラー:2012年6月22日承認、CTD2.7.6.2.5)(L20240482)

24) Bousquet J, et al. Respir Med. 2007;101:2437-2446(L20201421)

25) 海外第III相試験(D5890C00002)(シムビコートタービュヘイラー:2012年6月22日承認、CTD2.7.6.2.6)(L20240483)

26) シムビコートの慢性閉塞性肺疾患患者における国際共同第III相比較試験(シムビコートタービュヘイラー:2012年8月10日承認、CTD2.7.3.3)(L20201422)

27) シムビコート国内第Ⅲ相試験(D589DC00007)(シムビコートタービュヘイラー:2012年8月10日承認、CTD2.7.6.2.6)(L20240484)

28) シムビコートの日本人慢性閉塞性肺疾患患者における第III相長期投与試験(シムビコートタービュヘイラー:2012年8月10日承認、CTD2.7.3.3)(L20230982)

29) シムビコート国内長期投与試験(D589DC00008)(シムビコートタービュヘイラー:2012年8月10日承認、CTD2.7.6.2.7)(L20240485)

30) Calverley PM, et al. Eur Respir J. 2003;22:912-919(L20201423)

31) 海外第III相試験(シムビコートタービュヘイラー:2012年8月10日承認、審査報告書)(L20240486)

32) Szafranski W, et al. Eur Respir J. 2003;21:74-81(L20201424)

33) 社内資料:治療学的同等性試験(吸入粉末剤60吸入)

34) Brattsand R, et al. Clin Ther. 2003;25(Suppl C):C28-C41(L20201425)

35) Edsbäcker S, et al. Annals of Allergy Asthma & Immunology.2002;88(6):609-616(L20201426)

36) Ullman A, et al. Allergy. 1992;47:384-387(L20201427)

37) Barnes PJ. Eur Respir J. 2002;19:182-191(L20201428)

38) Roth M, et al. The Lancet. 2002;360:1293-1299(L20201429)

39) Linden M, et al. Pulm Pharmacol. 1994;7:43-47(L20201430)

40) 既承認申請資料の薬効薬理試験成績のまとめ(パルミコート吸入液:2006年7月26日承認、CTD2.6.2.2)(L20240487)

41) Woolley MJ, et al. J Appl Physiol. 1994;77:1303-1308(L20201431)

42) Svensjö E, et al. Prog Resp Res. 1985;19:173-180(L20201432)

43) Brattsand R, et al. Amsterdam, Excerpta Medica. Proceeding from a Symposium in Basel. 1984;145-153(L20230992)

44) O' Riordan TG, et al. J Appl Physiol. 1998;85(3):1086-1091(L20201433)

45) Abraham WM, et al. Bull Eur Physiopathol Respir. 1986;22:387-392(L20201434)

46) Ida H. Arzneimittelforschung. 1976;26(7):1337-1340(L20201435)

47) Selroos O. et al. Pulm Pharmacol Ther. 2002;15:175-183(L20201436)

48) Korn SH, et al. Eur Respir J. 2001;17:1070-1077(L20201437)

49) アレルギーラットモデルの気道過敏性及び炎症に及ぼす影響(シムビコートタービュヘイラー: 2009年10月16日承認、CTD2.6.2.2)(L20201438)

24. 文献請求先及び問い合わせ先

ニプロ株式会社 医薬品情報室

〒566-8510 大阪府摂津市千里丘新町3番26号

TEL 0120-226-898
FAX 050-3535-8939

26. 製造販売業者等

26.1 製造販売元

ニプロ株式会社

大阪府摂津市千里丘新町3番26号

〒100-0013 東京都千代田区霞が関3-3-2 新霞が関ビル

画面を閉じる

Copyright © Pharmaceuticals and Medical Devices Agency, All Rights reserved.