医療用医薬品 詳細表示

チアミン塩化物塩酸塩注10mg「NP」

添付文書番号

3121400A2248_3_02

企業コード

530100

作成又は改訂年月

2023年10月改訂(第1版)

日本標準商品分類番号

873121

薬効分類名

ビタミンB1製剤

承認等

チアミン塩化物塩酸塩注10mg「NP」

販売名コード

YJコード

3121400A2248

販売名英語表記

Thiamine Chloride Hydrochloride Injection

販売名ひらがな

ちあみんえんかぶつえんさんえんちゅう10mg「NP」

承認番号等

承認番号

22500AMX00744

販売開始年月

1974年5月

貯法・有効期間

貯法

室温保存

有効期間

3年

基準名

日本薬局方

チアミン塩化物塩酸塩注射液

一般的名称

チアミン塩化物塩酸塩注射液

2. 禁忌(次の患者には投与しないこと)

本剤の成分に対し過敏症の既往歴のある患者

3. 組成・性状

3.1 組成

チアミン塩化物塩酸塩注10mg「NP」

有効成分1アンプル(1mL)中
日本薬局方 チアミン塩化物塩酸塩   10mg
添加剤1アンプル(1mL)中
ブドウ糖   50mg
1アンプル(1mL)中
希塩酸   適量

3.2 製剤の性状

チアミン塩化物塩酸塩注10mg「NP」

pH2.5~4.5
浸透圧比約1
(生理食塩液に対する比)
性状無色澄明の液

4. 効能・効果

  • ビタミンB1欠乏症の予防及び治療
  • ビタミンB1の需要が増大し、食事からの摂取が不十分な際の補給(消耗性疾患、甲状腺機能亢進症、妊産婦、授乳婦、はげしい肉体労働時等など)
  • ウェルニッケ脳炎
  • 脚気衝心
  • 下記疾患のうち、ビタミンB1の欠乏または代謝障害が関与すると推定される場合
    神経痛、筋肉痛・関節痛、末梢神経炎・末梢神経麻痺、心筋代謝障害

    神経痛、筋肉痛・関節痛、末梢神経炎・末梢神経麻痺及び心筋代謝障害の適応に対して、効果がないのに月余にわたって漫然と使用すべきでない。

6. 用法・用量

チアミン塩化物塩酸塩として、通常、成人1日1~50mgを皮下、筋肉内または静脈内注射する。
なお、年齢、症状により適宜増減する。

9. 特定の背景を有する患者に関する注意

9.1 合併症・既往歴等のある患者

  1. 9.1.1 薬物過敏症の既往歴のある患者

9.7 小児等

小児等を対象とした臨床試験は実施していない。

11. 副作用

次の副作用があらわれることがあるので、観察を十分に行い、異常が認められた場合には投与を中止するなど適切な処置を行うこと。

11.1 重大な副作用

  1. 11.1.1 ショック(頻度不明)

    血圧降下、胸内苦悶、呼吸困難等の異常が認められた場合には投与を中止し、適切な処置を行うこと。

11.2 その他の副作用

頻度不明

過敏症

発疹等

14. 適用上の注意

14.1 薬剤投与時の注意

  1. 14.1.1 静脈内注射時

    血管痛を起こすことがあるので、注射速度はできるだけ遅くすること。

  2. 14.1.2 筋肉内注射時

    組織・神経等への影響を避けるため、以下の点に注意すること。

    • 筋肉内注射はやむを得ない場合にのみ、必要最小限に行うこと。なお、特に同一部位への反復注射は行わないこと。また、低出生体重児、新生児、乳児、幼児、小児は特に注意すること。
    • 神経走行部位を避けるよう注意すること。
    • 注射針を刺入したとき、激痛を訴えたり、血液の逆流をみた場合は、直ちに針を抜き、部位を変えて注射すること。

16. 薬物動態

16.1 血中濃度

  1. 16.1.1 生物学的同等性試験

    チアミン塩化物塩酸塩注10mg「NP」とメタボリンG注射液10mgのそれぞれ2mL(チアミン塩化物塩酸塩として20mg)を、クロスオーバー法により健康成人男子に絶食時に筋肉内投与して血中未変化体濃度を測定した。得られた薬物動態パラメータ(AUC0→4hr、Cmax)の平均値の差の95%信頼区間は±20%の範囲にあり、両剤の生物学的同等性が確認された1)

    薬物動態パラメータ

    判定パラメータ

    参考パラメータ

    AUC0→4hr
    (ng・hr/mL)

    Cmax
    (ng/mL)

    Tmax
    (hr)

    t1/2 
    (hr)

    チアミン塩化物塩酸塩注10mg「NP」

    233.0±36.8

    201±42

    0.36±0.11

    2.20±0.66

    メタボリンG注射液10mg

    230.2±35.9

    195±50

    0.27±0.08

    2.64±1.05

    (Mean±S.D., n=14 )

    血中チアミン塩化物塩酸塩濃度注)推移
    注) ⾎中チアミン塩化物塩酸塩濃度=薬剤投与後⾎中チアミン塩化物塩酸塩濃度-薬剤投与前⾎中チアミン塩化物塩酸塩濃度

    ⾎中濃度並びにAUC、Cmax 等のパラメータは、被験者の選
    択、体液の採取回数・時間等の試験条件によって異なる可能
    性がある。

18. 薬効薬理

18.1 作用機序

チアミンは、ATP存在下にthiamine diphosphateに変換し、生理作用をあらわす。
すなわち、糖質、蛋白質、脂質代謝において、また、TCAサイクルの関門として重要な位置を占めるピルビン酸の脱炭酸反応や、TCAサイクル内の反応であるα-ケトグルタール酸の脱炭酸反応に関与している。
更に、トランスケトラーゼの補酵素として5炭糖リン酸回路での糖代謝、核酸代謝に関与している2)

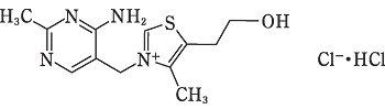
19. 有効成分に関する理化学的知見

一般的名称

チアミン塩化物塩酸塩
(Thiamine Chloride Hydrochloride)

化学名

3-(4-Amino-2-methylpyrimidin-5-ylmethyl)-5-(2-hydroxyethyl)-4-methylthiazolium chloride monohydrochloride

分子式

C12H17ClN4OS・HCl

分子量

337.27

性状

・白色の結晶又は結晶性の粉末で、においはないか、又は僅かに特異なにおいがある。
・水に溶けやすく、メタノールにやや溶けにくく、エタノール(95)に溶けにくい。
・融点:約245℃(分解)。
・結晶多形が認められる。

化学構造式

20. 取扱い上の注意

外箱開封後は遮光して保存すること。

22. 包装

1mL×50管[アンプル]
1mL×100管[アンプル]

24. 文献請求先及び問い合わせ先

ニプロ株式会社 医薬品情報室

〒566-8510 大阪府摂津市千里丘新町3番26号

TEL 0120-226-898
FAX 050-3535-8939

26. 製造販売業者等

26.1 製造販売元

ニプロ株式会社

大阪府摂津市千里丘新町3番26号

〒100-0013 東京都千代田区霞が関3-3-2 新霞が関ビル

画面を閉じる

Copyright © Pharmaceuticals and Medical Devices Agency, All Rights reserved.