医療用医薬品 詳細表示

メコバラミン注500μgシリンジ「NP」

処方せん医薬品

添付文書番号
企業コード
作成又は改訂年月
日本標準商品分類番号
薬効分類名
承認等
一般的名称
3.組成・性状
3.1組成
3.2製剤の性状
4.効能・効果
6.用法・用量
8.重要な基本的注意
9.特定の背景を有する患者に関する注意
9.7小児等
11.副作用
11.1重大な副作用
11.2その他の副作用
14.適用上の注意
16.薬物動態
16.1血中濃度
17.臨床成績
17.1有効性及び安全性に関する試験
18.薬効薬理
18.1作用機序
18.2神経細胞内小器官へよく移行し、核酸・蛋白合成を促進
18.3軸索内輸送、軸索再生の促進
18.4髄鞘形成(リン脂質合成)の促進
18.5シナプス伝達の遅延、神経伝達物質の減少を回復
19.有効成分に関する理化学的知見
20.取扱い上の注意
22.包装
23.主要文献
24.文献請求先及び問い合わせ先
26.製造販売業者等

メコバラミン注500μgシリンジ「NP」

添付文書番号

3136403G1038_3_02

企業コード

530100

作成又は改訂年月

2023年10月改訂(第1版)

日本標準商品分類番号

873136

薬効分類名

末梢性神経障害治療剤

承認等

メコバラミン注500μgシリンジ「NP」

販売名コード

YJコード

3136403G1038

販売名英語表記

Mecobalamin Injection Syringes

販売名ひらがな

めこばらみんちゅう500μgしりんじ「NP」

承認番号等

承認番号

22500AMX00802

販売開始年月

2005年9月

貯法・有効期間

貯法

室温保存

有効期間

3年

一般的名称

メコバラミン注射液

3. 組成・性状

3.1 組成

メコバラミン注500μgシリンジ「NP」

有効成分1シリンジ(1mL)中
日本薬局方 メコバラミン   500μg
添加剤1シリンジ(1mL)中
D-マンニトール   50mg

3.2 製剤の性状

メコバラミン注500μgシリンジ「NP」

pH6.0~8.0
浸透圧比約1
(生理食塩液に対する比)
性状だいだい赤色澄明の液

4. 効能・効果

  • 末梢性神経障害
  • ビタミンB12欠乏による巨赤芽球性貧血

6. 用法・用量

  • 〈末梢性神経障害の場合〉

    通常、成人は1日1回1シリンジ(メコバラミンとして500μg)を週3回、筋肉内または静脈内に注射する。ただし、年齢及び症状により適宜増減する。

  • 〈巨赤芽球性貧血の場合〉

    通常、成人は1日1回1シリンジ(メコバラミンとして500μg)を週3回、筋肉内または静脈内に注射する。約2カ月投与した後、維持療法として1~3カ月に1回1シリンジを投与する。

8. 重要な基本的注意

本剤投与で効果が認められない場合、月余にわたって漫然と使用すべきでない。

9. 特定の背景を有する患者に関する注意

9.7 小児等

小児等を対象とした臨床試験は実施していない。

11. 副作用

次の副作用があらわれることがあるので、観察を十分に行い、異常が認められた場合には投与を中止するなど適切な処置を行うこと。

11.1 重大な副作用

  1. 11.1.1 アナフィラキシー(頻度不明)

    血圧降下、呼吸困難等のアナフィラキシーを起こすことがある。

11.2 その他の副作用

0.1%未満

頻度不明

過敏症

発疹

その他

頭痛、発熱感

発汗、筋肉内注射部位の疼痛・硬結

注)発現頻度は製造販売後調査を含む。

14. 適用上の注意

14.1 全般的な注意

使用時には、以下の点に注意すること。

  • 感染に対する配慮をすること。
  • シリンジが破損するおそれがあるので、シリンジを鉗子等で叩くなど、強い衝撃を与えないこと。
  • 押子(プランジャー)が外れたり、ガスケットが変形し薬液が漏出したりするおそれがあるので押子のみを持たないこと。
  • 押子を反時計回りに回転させると接続にゆるみが生じ、ガスケットから押子が外れるおそれがあるので、押子を反時計回りに回転させないこと。
  • 押子を引かないこと。

14.2 薬剤投与時の注意

  1. 14.2.1 光分解を受けやすいので、使用直前に外箱より取り出し、直ちに使用するとともに、遮光に留意すること。
  2. 14.2.2 使用に際しては、ブリスター包装を開封口からゆっくり開け、外筒(バレル)を持って取り出すこと。
  3. 14.2.3 押子の緩みがないか確認すること。緩みが認められた場合は、押子を時計回りに回転させ締め直すこと。
  4. 14.2.4 筒先のキャップをゆっくり回転させながら外して、注射針等に確実に接続すること。キャップを外した後は、筒先に触れないこと。
  5. 14.2.5 注射針等を接続する場合は誤刺に注意し、しっかりと固定すること。
  6. 14.2.6 筋肉内注射時

    組織・神経などへの影響を避けるため、以下の点に注意すること。

    • 筋肉内注射はやむを得ない場合にのみ、必要最小限に行うこと。なお、特に同一部位への反復注射は行わないこと。また、低出生体重児、新生児、乳児、幼児、小児 には特に注意すること。
    • 神経走行部位を避けるよう注意すること。
    • 注射針を刺入したとき、激痛を訴えたり、血液の逆流をみた場合は、直ちに針を抜き、部位を変えて注射すること。

14.3 薬剤投与後の注意

開封後の使用は1回限りとし、使用後の残液はシリンジとともに速やかに廃棄すること。

16. 薬物動態

16.1 血中濃度

  1. 16.1.1 単回投与

    健康成人男子12名にメコバラミン500μgを単回筋肉内並びに静脈内投与した場合、最高血清中総ビタミンB12(以下B12)濃度到達時間(tmax)は、筋肉内投与時では0.9時間、静脈内投与時では投与終了直後~3分後であった。
    投与後の血清中総B12濃度から投与前の内因性血清総B12濃度を引いた増加分の最高血清中総B12濃度(ΔCmax)は、筋肉内、静脈内投与でそれぞれ22.4、85.0ng/mLであった。
    また、投与後144時間までの実測値から算出した血清中総B12濃度時間曲線下面積(ΔAUC)は、筋肉内、静脈内投与時それぞれ、204.1、358.6ng・hr/mLであった。
    結合飽和率については、両投与群とも、投与後144時間までほぼ同等の増加が認められた1)

    メコバラミン注射液500μg単回投与時の薬物動態パラメータ

    tmax
    (hr)

    ΔCmax
    (ng/mL)

    ΔAUC0-144
    (ng・hr/mL)

    t1/2
    (hr)

    筋肉内投与

    0.9±0.1

    22.4±1.1

    204.1±12.9

    29.0

    静脈内投与

    投与直後~3分

    85.0±8.9

    358.6±34.4

    27.1

    Mean±S.E., n=12

  2. 16.1.2 反復投与

    健康成人男子6名にメコバラミン500μgを10日間反復静脈内投与した。各投与直前の血清中総B12濃度は、投与日数とともに徐々に増加し、初回投与24時間後値(3.9±1.2ng/mL)に比べ2日目投与後では約1.4倍(5.3±1.8ng/mL)、3日目投与後では約1.7倍(6.8±1.5ng/mL)となり、投与期間中はこの濃度で維持された1)

17. 臨床成績

17.1 有効性及び安全性に関する試験

  • 〈末梢性神経障害〉
    1. 17.1.1 国内臨床試験

      末梢性神経障害に対して、メコバラミンとして1回500μg及び100μg(低用量群)を週3回4週間筋肉内投与し、二重盲検比較試験を行った。慢性期及び固定期の症例に対して、500μg投与群は症状の悪化を有意に抑制し、メコバラミン注射液の有用性が認められた2)
      末梢性神経障害に対して、プラセボを対照薬とした静脈内投与と筋肉内投与との二重盲検比較試験において、1回500μgを週3回4週間投与した後の改善率は、静脈内投与で改善以上38.7%(24/62)、やや改善以上74.2%(46/62)、筋肉内投与で改善以上46.3%(25/54)、やや改善以上81.5%(44/54)であり、同等の有効性が認められた。疾患の内訳は糖尿病性神経障害、多発性神経炎、頸部脊椎症、坐骨神経痛、アルコール性神経障害、顔面神経麻痺、単神経炎等であった3)

  • 〈巨赤芽球性貧血〉
    1. 17.1.2 国内臨床試験

      ビタミンB12欠乏による巨赤芽球性貧血に対して、3週間から2ヵ月で貧血像や一般症状の回復が認められた4),5)

18. 薬効薬理

18.1 作用機序

メコバラミンは生体内補酵素型ビタミンB12の1種であり、ホモシステインからメチオニンを合成するメチオニン合成酵素の補酵素として働き、メチル基転位反応に重要な役割を果たす6)

18.2 神経細胞内小器官へよく移行し、核酸・蛋白合成を促進

シアノコバラミンに比し、神経細胞内小器官への移行がよい(ラット)。また、脳由来細胞・脊髄神経細胞の実験系で、デオキシウリジンからチミジンへの合成系に関与し、貯蔵型葉酸の利用促進とともに核酸代謝にも関与し、コバマミドに比して核酸・蛋白の合成を促進する(ラット)7),8),9)

18.3 軸索内輸送、軸索再生の促進

ストレプトゾトシン投与による実験的糖尿病ラットの坐骨神経細胞で、軸索の骨格蛋白の輸送を正常化し、アドリアマイシン、アクリルアミド、ビンクリスチンによる薬物性神経障害(ラット、ウサギ)及び軸索変性モデルマウス、自然発症糖尿病ラットの神経障害に対して、神経病理学的、電気生理学的に変性神経の出現を抑制する10),11),12),13),14),15)

18.4 髄鞘形成(リン脂質合成)の促進

髄鞘の構成成分であるレシチンの合成を促進し、培養神経組織でコバマミドに比して神経線維の髄鞘形成率を高める(ラット)16),17)

18.5 シナプス伝達の遅延、神経伝達物質の減少を回復

挫滅した坐骨神経で、神経線維の興奮性を高めることにより、終板電位の誘発を早期に回復する(ラット)。また、コリン欠乏食ラットで低下した脳内アセチルコリン量を正常化する 18),19)

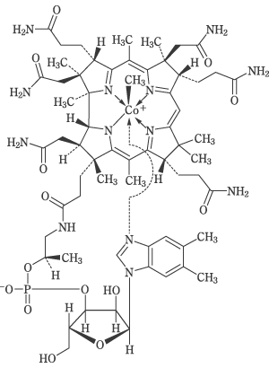
19. 有効成分に関する理化学的知見

一般的名称

メコバラミン(Mecobalamin)

化学名

Coα-[α-(5,6-Dimethyl-1H-benzimidazol-1-yl)]-Coβ-methylcobamide

分子式

C63H91CoN13O14P

分子量

1344.38

性状

・暗赤色の結晶又は結晶性の粉末である。
・水にやや溶けにくく、エタノール(99.5)に溶けにくく、アセトニトリルにほとんど溶けない。
・光によって分解する。

化学構造式

20. 取扱い上の注意

  1. 20.1 外箱開封後は遮光して保存すること。
  2. 20.2 品質保持のために脱酸素剤を封入しているため、ブリスター包装は使用直前まで開封しないこと。
  3. 20.3 以下の場合には使用しないこと。
    • ブリスター包装が破損している場合
    • シリンジから薬液が漏れている場合
    • 性状その他薬液に異状が認められる場合
    • シリンジに破損等の異状が認められる場合
    • キャップが外れている場合

22. 包装

1mL×10シリンジ[脱酸素剤入り]

23. 主要文献

1) 小川正ら:ビタミン, 1989;63(3):123-131(L20220876)

2) 亀山正邦ら:臨牀と研究, 1972;49(7):1967-1970(L20220877)

3) 丸山勝一ら:臨牀と研究, 1989;66(3):995-1007(L20220878)

4) 阿部帥ら:臨床血液, 1970;11(4):473-477(L20230469)

5) 田中信夫ら:Prog. Med., 1988;8(11):2685-2689(L20230470)

6) 第十八改正日本薬局方解説書.2021:C-5618-C-5223(L20230471)

7) 稲田雅美ら:神経系とメチルB12(協和企画通信), 1981:23-29(L20220863)

8) 中沢恒幸ら:ビタミン, 1970;42(3):193-197(L20220864)

9) 中沢恒幸ら:ビタミン, 1970;42(5):275-279(L20220865)

10) 竹中敏文ら:Prog. Med., 1982;2(10):1759-1762(L20220866)

11) 大西晃生ら:臨床薬理, 1987;18(2):387-392(L20220867)

12) Watanabe T. et al.:J. Neurol. Sci., 1994;122(2):140-143(L20220868)

13) 斉藤豊和ら:神経系とメチルB12(協和企画通信), 1981:75-86(L20220869)

14) Yamazaki K. et al.:Neurosci. Lett., 1994;170(1):195-197(L20220870)

15) 八木橋操六ら:臨床薬理, 1988;19(2):437-443(L20220871)

16) 中沢恒幸ら:神経系とメチルB12(協和企画通信), 1981:54-60(L20220872)

17) 米沢猛ら:神経系とメチルB12(協和企画通信), 1981:49-53(L20220873)

18) 渋谷統寿:神経系とメチルB12(協和企画通信), 1981:134-140(L20220874)

19) Sasaki H. et al.:Pharmacol. Biochem. Behav., 1992;43(2):635-639(L20220875)

24. 文献請求先及び問い合わせ先

ニプロ株式会社 医薬品情報室

〒566-8510 大阪府摂津市千里丘新町3番26号

TEL 0120-226-898
FAX 050-3535-8939

26. 製造販売業者等

26.1 製造販売元

ニプロ株式会社

大阪府摂津市千里丘新町3番26号

〒100-0013 東京都千代田区霞が関3-3-2 新霞が関ビル

画面を閉じる

Copyright © Pharmaceuticals and Medical Devices Agency, All Rights reserved.