医療用医薬品 詳細表示

ダルテパリンNa静注2500単位/10mLシリンジ「ニプロ」/ダルテパリンNa静注3000単位/12mLシリンジ「ニプロ」/ダルテパリンNa静注4000単位/16mLシリンジ「ニプロ」/ダルテパリンNa静注5000単位/20mLシリンジ「ニプロ」

処方せん医薬品

添付文書番号
企業コード
作成又は改訂年月
日本標準商品分類番号
薬効分類名
承認等
一般的名称
2.禁忌(次の患者には投与しないこと)
3.組成・性状
3.1組成
3.2製剤の性状
4.効能・効果
6.用法・用量
8.重要な基本的注意
9.特定の背景を有する患者に関する注意
9.1合併症・既往歴等のある患者
9.3肝機能障害患者
9.5妊婦
9.6授乳婦
9.7小児等
9.8高齢者
10.相互作用
10.2併用注意(併用に注意すること)
11.副作用
11.1重大な副作用
11.2その他の副作用
14.適用上の注意
15.その他の注意
15.1臨床使用に基づく情報
15.2非臨床試験に基づく情報
16.薬物動態
16.1血中濃度
16.5排泄
16.6特定の背景を有する患者
17.臨床成績
17.1有効性及び安全性に関する試験
18.薬効薬理
18.1作用機序
18.2血液凝固阻止作用
18.3実験的透析モデルにおける抗凝固作用
18.4抗血栓作用
18.5実験的DICモデルに対する作用
18.6エンドトキシン・ショックモデルに対する作用
19.有効成分に関する理化学的知見
20.取扱い上の注意
22.包装
23.主要文献
24.文献請求先及び問い合わせ先
26.製造販売業者等

ダルテパリンNa静注2500単位/10mLシリンジ「ニプロ」/ダルテパリンNa静注3000単位/12mLシリンジ「ニプロ」/ダルテパリンNa静注4000単位/16mLシリンジ「ニプロ」/ダルテパリンNa静注5000単位/20mLシリンジ「ニプロ」

添付文書番号

3334403G2022_3_09

企業コード

530100

作成又は改訂年月

**2025年5月改訂(第4版)
2025年3月改訂(第3版)

日本標準商品分類番号

873334

薬効分類名

血液凝固阻止剤

承認等

ダルテパリンNa静注2500単位/10mLシリンジ「ニプロ」

販売名コード

YJコード

3334403G2022

販売名英語表記

Dalteparin Sodium Intravenous Syringes

販売名ひらがな

だるてぱりんNaじょうちゅう2500たんい/10mLしりんじ「にぷろ」

承認番号等

承認番号

22200AMX00220

販売開始年月

2010年5月

貯法・有効期間

貯法

室温保存

有効期間

3年

規制区分

ダルテパリンNa静注3000単位/12mLシリンジ「ニプロ」

販売名コード

YJコード

3334403G3029

販売名英語表記

Dalteparin Sodium Intravenous Syringes

販売名ひらがな

だるてぱりんNaじょうちゅう3000たんい/12mLしりんじ「にぷろ」

承認番号等

承認番号

22200AMX00221

販売開始年月

2010年5月

貯法・有効期間

貯法

室温保存

有効期間

3年

規制区分

ダルテパリンNa静注4000単位/16mLシリンジ「ニプロ」

販売名コード

YJコード

3334403G4025

販売名英語表記

Dalteparin Sodium Intravenous Syringes

販売名ひらがな

だるてぱりんNaじょうちゅう4000たんい/16mLしりんじ「にぷろ」

承認番号等

承認番号

22200AMX00222

販売開始年月

2010年5月

貯法・有効期間

貯法

室温保存

有効期間

3年

規制区分

ダルテパリンNa静注5000単位/20mLシリンジ「ニプロ」

販売名コード

YJコード

3334403G5021

販売名英語表記

Dalteparin Sodium Intravenous Syringes

販売名ひらがな

だるてぱりんNaじょうちゅう5000たんい/20mLしりんじ「にぷろ」

承認番号等

承認番号

22200AMX00223

販売開始年月

2010年5月

貯法・有効期間

貯法

室温保存

有効期間

3年

規制区分

一般的名称

ダルテパリンナトリウム注射液

2. 禁忌(次の患者には投与しないこと)

妊婦又は妊娠している可能性のある女性

3. 組成・性状

3.1 組成

ダルテパリンNa静注2500単位/10mLシリンジ「ニプロ」

有効成分1シリンジ(10mL)中
ダルテパリンナトリウム   2500低分子ヘパリン国際単位(抗第Xa因子活性)
添加剤1シリンジ(10mL)中
塩化ナトリウム   90mg
1シリンジ(10mL)中
クエン酸ナトリウム水和物   2.94mg
1シリンジ(10mL)中
水酸化ナトリウム   適量
1シリンジ(10mL)中
塩酸   適量
ダルテパリンナトリウムは、健康なブタの小腸粘膜に由来する

ダルテパリンNa静注3000単位/12mLシリンジ「ニプロ」

有効成分1シリンジ(12mL)中
ダルテパリンナトリウム   3000低分子ヘパリン国際単位(抗第Xa因子活性)
添加剤1シリンジ(12mL)中
塩化ナトリウム   108mg
1シリンジ(12mL)中
クエン酸ナトリウム水和物   3.528mg
1シリンジ(12mL)中
水酸化ナトリウム   適量
1シリンジ(12mL)中
塩酸   適量
ダルテパリンナトリウムは、健康なブタの小腸粘膜に由来する

ダルテパリンNa静注4000単位/16mLシリンジ「ニプロ」

有効成分1シリンジ(16mL)中
ダルテパリンナトリウム   4000低分子ヘパリン国際単位(抗第Xa因子活性)
添加剤1シリンジ(16mL)中
塩化ナトリウム   144mg
1シリンジ(16mL)中
クエン酸ナトリウム水和物   4.704mg
1シリンジ(16mL)中
水酸化ナトリウム   適量
1シリンジ(16mL)中
塩酸   適量
ダルテパリンナトリウムは、健康なブタの小腸粘膜に由来する

ダルテパリンNa静注5000単位/20mLシリンジ「ニプロ」

有効成分1シリンジ(20mL)中
ダルテパリンナトリウム   5000低分子ヘパリン国際単位(抗第Xa因子活性)
添加剤1シリンジ(20mL)中
塩化ナトリウム   180mg
1シリンジ(20mL)中
クエン酸ナトリウム水和物   5.88mg
1シリンジ(20mL)中
水酸化ナトリウム   適量
1シリンジ(20mL)中
塩酸   適量
ダルテパリンナトリウムは、健康なブタの小腸粘膜に由来する

3.2 製剤の性状

ダルテパリンNa静注2500単位/10mLシリンジ「ニプロ」

pH5.0~7.5
浸透圧比約1
(生理食塩液に対する比)
性状無色澄明の液

ダルテパリンNa静注3000単位/12mLシリンジ「ニプロ」

pH5.0~7.5
浸透圧比約1
(生理食塩液に対する比)
性状無色澄明の液

ダルテパリンNa静注4000単位/16mLシリンジ「ニプロ」

pH5.0~7.5
浸透圧比約1
(生理食塩液に対する比)
性状無色澄明の液

ダルテパリンNa静注5000単位/20mLシリンジ「ニプロ」

pH5.0~7.5
浸透圧比約1
(生理食塩液に対する比)
性状無色澄明の液

4. 効能・効果

  • 血液体外循環時の灌流血液の凝固防止(血液透析)
  • 汎発性血管内血液凝固症(DIC)

6. 用法・用量

  • 〈血液体外循環時の灌流血液の凝固防止(血液透析)〉

    本剤を直接又は生理食塩液により希釈して投与する。

    • 出血性病変又は出血傾向を有しない患者の場合

      通常、成人には体外循環開始時、ダルテパリンナトリウムとして15~20国際単位/kgを回路内に単回投与し、体外循環開始後は毎時7.5~10国際単位/kgを抗凝固薬注入ラインより持続注入する。

    • 出血性病変又は出血傾向を有する患者の場合

      通常、成人には体外循環開始時、ダルテパリンナトリウムとして10~15国際単位/kgを回路内に単回投与し、体外循環開始後は毎時7.5国際単位/kgを抗凝固薬注入ラインより持続注入する。

  • 〈汎発性血管内血液凝固症(DIC)〉

    通常、成人にはダルテパリンナトリウムとして1日量75国際単位/kgを24時間かけて静脈内に持続投与する。
    なお、症状に応じ適宜増減する。

8. 重要な基本的注意

  1. 8.1 脊椎・硬膜外麻酔あるいは腰椎穿刺等との併用により、穿刺部位に血腫が生じ、神経の圧迫による麻痺があらわれるおそれがある。
    併用する場合には神経障害の徴候及び症状について十分注意し、異常が認められた場合には直ちに適切な処置を行うこと。
  2. 8.2 本剤の抗凝固作用を急速に中和する必要のある場合にはプロタミンを投与する。プロタミン1mgは本剤の100国際単位の効果を抑制する。

9. 特定の背景を有する患者に関する注意

9.1 合併症・既往歴等のある患者

  1. 9.1.1 高度な出血症状を有する患者(汎発性血管内血液凝固症(DIC)を除く)

    治療上やむを得ないと判断される場合を除き、投与しないこと。症状が悪化するおそれがある。

  2. 9.1.2 ヘパリン起因性血小板減少症(HIT:heparin-induced thrombocytopenia)の既往歴のある患者

    治療上やむを得ないと判断される場合を除き、投与しないこと。投与が必要な場合は、本剤投与後は血小板数を測定すること。HITがあらわれることがある。

  3. 9.1.3 本剤の成分又はヘパリン、他の低分子量ヘパリンに対し過敏症の既往歴のある患者

    治療上やむを得ないと判断される場合を除き、投与しないこと。

9.3 肝機能障害患者

  1. 9.3.1 重篤な肝障害又はその既往歴のある患者

    治療上やむを得ないと判断される場合を除き、投与しないこと。血中濃度が上昇するおそれがある。

9.5 妊婦

妊婦又は妊娠している可能性のある女性には投与しないこと。

9.6 授乳婦

治療上の有益性及び母乳栄養の有益性を考慮し、授乳の継続又は中止を検討すること。動物実験(ラット)で、乳汁中へ移行することが確認されている。

9.7 小児等

小児等を対象とした臨床試験は実施していない。

9.8 高齢者

一般に生理機能が低下している。

10. 相互作用

    10.2 併用注意(併用に注意すること)

    薬剤名等臨床症状・措置方法機序・危険因子

    抗凝固剤

    • ヘパリンナトリウム
      ワルファリン
    • *直接作用型経口抗凝固薬(エドキサバン、リバーロキサバン、アピキサバン等)等

    出血傾向が増強するおそれがある。

    相加的に抗凝固作用が増強される。

    血小板凝集抑制作用を有する薬剤

    • アスピリン
      ジピリダモール等

    出血傾向が増強するおそれがある。

    血小板凝集抑制作用を有するため、抗凝固作用が増強される。

    非ステロイド性消炎鎮痛薬

    • イブプロフェン等

    出血傾向が増強するおそれがある。

    血小板凝集抑制作用を有するため、抗凝固作用が増強される。
    (特に腎不全のある患者)

    血栓溶解剤

    • ウロキナーゼ
      t-PA製剤等

    出血傾向が増強するおそれがある。

    血栓溶解作用と、本剤の抗凝固作用の相加的作用による。

    テトラサイクリン系抗生物質
    強心配糖体

    • ジギタリス製剤

    本剤の作用が減弱するおそれがある。

    機序は不明である。

    **アンデキサネット アルファ

    **本剤の抗凝固作用が減弱する可能性がある。

    ** In vitroデータから、アンデキサネット アルファがヘパリン‐アンチトロンビンⅢ複合体に作用し、本剤の抗凝固作用を減弱させることが示唆されている。

    11. 副作用

    次の副作用があらわれることがあるので、観察を十分に行い、異常が認められた場合には投与を中止するなど適切な処置を行うこと。

    11.1 重大な副作用

    1. 11.1.1 ショック・アナフィラキシー(頻度不明)

      呼吸困難、浮腫等を伴うアナフィラキシーがあらわれることがある。観察を十分に行い、異常が認められた場合には投与を中止し、血圧の維持、体液の補充管理、気道の確保等の適切な処置を行うこと。

    2. 11.1.2 出血(0.85%)

      頭蓋内出血(0.08%)、消化管出血(0.27%)、後腹膜出血(頻度不明)等の重篤な出血があらわれることがある。

    3. 11.1.3 血小板減少(0.01%)

      血小板数を測定し、著明な減少が認められた場合には投与を中止すること。

    4. 11.1.4 血栓症(頻度不明)

      著明な血小板減少とそれに伴う血栓症の発現が報告されている。ヘパリン起因性血小板減少症(HIT)の場合は、著明な血小板減少と脳梗塞、肺塞栓症、深部静脈血栓症等の血栓症やシャント閉塞、回路内閉塞を伴う。本剤投与後は血小板数を測定し、著明な減少や血栓症を疑わせる異常が認められた場合には投与を中止し、適切な処置を行うこと。

    11.2 その他の副作用

    0.1~5%未満

    0.1%未満

    頻度不明

    過敏症

    そう痒感、発熱

    発疹

    肝臓

    ALTの上昇

    AST、Al-Pの上昇

    消化器

    嘔気、食欲不振

    **代謝・栄養

    **高カリウム血症

    皮膚

    脱毛

    その他

    骨粗鬆症

    14. 適用上の注意

    14.1 全般的な注意

    使用時には、以下の点に注意すること。

    • 感染に対する配慮をすること。
    • シリンジが破損するおそれがあるので、シリンジを鉗子等で叩くなど、強い衝撃を与えないこと。特に低温下ではシリンジが破損しやすいので注意すること。
    • 押子(プランジャー)が外れたり、ガスケットが変形し薬液が漏出したりするおそれがあるので押子のみを持たないこと。
    • 押子を反時計回りに回転させると接続にゆるみが生じ、ガスケットから押子が外れるおそれがあるので、押子を反時計回りに回転させないこと。
    • 押子を引かないこと。

    14.2 薬剤投与時の注意

    1. 14.2.1 使用に際しては、ブリスター包装を開封口からゆっくり開け、外筒(バレル)を持って取り出すこと。
    2. 14.2.2 押子の緩みがないか確認すること。緩みが認められた場合は、押子を時計回りに回転させ締め直すこと。
    3. 14.2.3 筒先のキャップをゆっくり回転させながら外して、注射針等を確実に接続すること。キャップを外した後は、筒先に触れないこと。
    4. 14.2.4 注射針等を接続する場合は誤刺に注意し、しっかりと固定すること。
    5. 14.2.5 シリンジポンプを用いて投与する場合は、以下の点に注意すること。
      • 本剤が使用可能な設定であることを必ず確認するとともに、シリンジポンプの取扱説明書に従うこと。
      • サイフォニング(自然落下による急速注入)や逆流が起こるおそれがあるので、シリンジポンプの送り機構(スライダー)のフックに確実にセットすること。
      • 本シリンジは、抗凝固薬注入ラインが血液ポンプの下流に設置された血液回路に用いること。血液回路の閉塞などにより極端な陰圧が発生した場合、ガスケットが押子から外れたり、シリンジポンプの送り機構(スライダー)のフックから押子が外れ、本剤が急速注入されるおそれがある。

    14.3 薬剤投与後の注意

    1. 14.3.1 外来透析患者では、穿刺部の止血を確認してから帰宅させること。
    2. 14.3.2 開封後の使用は1回限りとし、使用後の残液はシリンジとともに速やかに廃棄すること。

    15. その他の注意

    15.1 臨床使用に基づく情報

    1. 15.1.1 ヘパリン起因性血小板減少症(HIT)はヘパリン-血小板第4因子複合体に対する自己抗体(HIT抗体)の出現による免疫学的機序を介した病態であり、重篤な血栓症(脳梗塞、肺塞栓症、深部静脈血栓症等)を伴うことがある。HIT発現時に出現するHIT抗体は100日程度で消失~低下するとの報告がある。また、投与終了数週間後に、HITが遅延して発現したとの報告もある。
    2. 15.1.2 本剤は未分画ヘパリンや他の低分子量ヘパリン又は合成多糖類と製造工程、分子量の分布が異なり、同一単位(抗第Xa因子活性)でも他のヘパリン類とは必ずしも互換性がないため、投与量の設定の際には本剤の用法・用量に従うこと。

    15.2 非臨床試験に基づく情報

    1. 15.2.1 動物実験での反復投与試験(ラット)において高用量で対照薬(ヘパリン)に比べて軽度の骨多孔症がみられたとの報告がある。

    16. 薬物動態

    16.1 血中濃度

    健康成人にダルテパリンNa静注を25国際単位/kg単回投与した場合、半減期は1.53時間であった。
    また、ダルテパリンNa静注を15国際単位/kg/時間の速度で3時間静脈内持続投与した場合、血中濃度は徐々に上昇し3時間後には0.49国際単位/mLに達した。投与終了後の半減期は1.78時間であった1)

    16.5 排泄

    健康成人にダルテパリンNa静注を25国際単位/kg単回投与後の尿中排泄を、抗第Xa因子活性として測定したところ、投与6時間後までの尿中累積排泄率は3.11%であった1)

    16.6 特定の背景を有する患者

    1. 16.6.1 血液透析患者

      血液透析患者にダルテパリンNa静注を外循環開始時約1,000国際単位単回投与し、体外循環開始後毎時約500国際単位の速度で5時間持続注入した場合、血中濃度は0.29~0.44国際単位/mLであった2)

    2. 16.6.2 汎発性血管内血液凝固症患者

      汎発性血管内血液凝固症患者にダルテパリンNa静注の1日量約3,900国際単位を5日間静脈内持続投与した場合、0.09~0.11国際単位/mLの血中濃度が維持された3)

    17. 臨床成績

    17.1 有効性及び安全性に関する試験

    • 〈血液体外循環時の灌流血液の凝固防止(血液透析)〉
      1. 17.1.1 国内臨床試験(出血性病変又は出血傾向を有しない患者)

        出血性病変又は出血傾向を有しない患者を対象とした二重盲検比較試験において、血液透析時の抗凝固剤としての有用性が認められている4)

      2. 17.1.2 国内臨床試験(出血性病変又は出血傾向を有する患者)

        出血性病変又は出血傾向を有する患者を対象とした比較試験において、血液透析時の抗凝固剤としての有用性が認められている5)

    • 〈汎発性血管内血液凝固症(DIC)〉
      1. 17.1.3 国内臨床試験

        二重盲検比較試験を含む臨床試験において、ダルテパリンNa静注は出血症状、臓器症状ならびに凝血学的検査値を改善し、総合効果は「中等度改善」以上で48.0%(47/98例)、「軽度改善」以上で77.6%(76/98例)であった3),6),7),8)

    18. 薬効薬理

    18.1 作用機序

    ダルテパリンナトリウムの抗凝固作用は、アンチトロンビンⅢとの相互作用が主な作用と考えられる。いわゆるヘパリンの各種凝固因子に対する阻害作用は、その分子量約5,000を境に大きく異なることが確かめられている。すなわち、ヘパリンがアンチトロンビンⅢを介して抗第Xa因子作用を発揮するためには分子量が5,000あれば十分であるが、一方ヘパリンがアンチトロンビンⅢを介して抗第Ⅱa(トロンビン)因子作用を発揮するためには分子量は少なくとも5,000以上を必要とする。ダルテパリンナトリウムは平均分子量が約5,000であるため、抗凝固作用の要であると考えられる抗第Xa因子活性は従来のヘパリン(平均分子量12,000~15,000)と同等であるが、出血との相関性が示唆される活性化部分トロンボプラスチン時間(APTT)延長作用(抗トロンビン作用と高い相関性を示す)は弱い9)

    18.2 血液凝固阻止作用

    ダルテパリンナトリウムは、ヒト血漿において血漿カルシウム再加時間、第Xa因子凝固時間などを用量依存的に延長する(in vitro10)

    18.3 実験的透析モデルにおける抗凝固作用

    ダルテパリンナトリウムは、イヌでの実験的透析モデルにおいて透析回路内残血を用量依存的に抑制する11)

    18.4 抗血栓作用

    ダルテパリンナトリウムは、ウサギでの大腿動静脈シャントモデルにおいて血栓重量を用量依存的に抑制する12)

    18.5 実験的DICモデルに対する作用

    ダルテパリンナトリウムは、エンドトキシン、組織トロンボプラスチン及びトロンビン誘発DICモデルにおいて、各種血液凝固・線溶機能検査値を改善し、腎糸球体及び肺のフィブリン血栓形成を抑制する(ウサギ、ラット)13),14)

    18.6 エンドトキシン・ショックモデルに対する作用

    ダルテパリンナトリウムは、イヌでのエンドトキシン・ショックモデルにおいて発赤及び糜爛形成を抑制する15)

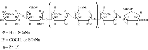
    19. 有効成分に関する理化学的知見

    一般的名称

    ダルテパリンナトリウム(Dalteparin Sodium)

    分子量

    平均分子量4,400~5,600

    性状

    ・白色~帯灰褐色の粉末又は塊である。
    ・水に溶けやすく、エタノール(99.5)にほとんど溶けない。
    ・吸湿性である。

    化学構造式

    本質

    健康なブタの小腸粘膜由来のヘパリンを亜硝酸分解して得た解重合ヘパリンのナトリウム塩である。

    20. 取扱い上の注意

    1. 20.1 ブリスター包装は使用時まで開封しないこと。
    2. 20.2 以下の場合には使用しないこと。
      • ブリスター包装が破損している場合
      • シリンジから薬液が漏れている場合
      • 性状その他薬液に異状が認められる場合
      • シリンジに破損等の異状が認められる場合
      • キャップが外れている場合

    22. 包装

    • ダルテパリンNa静注2500単位/10mLシリンジ「ニプロ」

      10mL×10シリンジ

    • ダルテパリンNa静注3000単位/12mLシリンジ「ニプロ」

      12mL×10シリンジ

    • ダルテパリンNa静注4000単位/16mLシリンジ「ニプロ」

      16mL×10シリンジ

    • ダルテパリンNa静注5000単位/20mLシリンジ「ニプロ」

      20mL×10シリンジ

    24. 文献請求先及び問い合わせ先

    ニプロ株式会社 医薬品情報室

    〒566-8510 大阪府摂津市千里丘新町3番26号

    TEL 0120-226-898
    FAX 050-3535-8939

    26. 製造販売業者等

    26.1 製造販売元

    ニプロ株式会社

    大阪府摂津市千里丘新町3番26号

    〒100-0013 東京都千代田区霞が関3-3-2 新霞が関ビル

    画面を閉じる

    Copyright © Pharmaceuticals and Medical Devices Agency, All Rights reserved.