医療用医薬品 詳細表示

セファゾリンNa点滴静注用1gバッグ「NP」

処方せん医薬品

添付文書番号
企業コード
作成又は改訂年月
日本標準商品分類番号
薬効分類名
承認等
一般的名称
2.禁忌(次の患者には投与しないこと)
3.組成・性状
3.1組成
3.2製剤の性状
4.効能・効果
5.効能・効果に関連する注意
6.用法・用量
8.重要な基本的注意
9.特定の背景を有する患者に関する注意
9.1合併症・既往歴等のある患者
9.2腎機能障害患者
9.5妊婦
9.6授乳婦
9.7小児等
9.8高齢者
10.相互作用
10.2併用注意(併用に注意すること)
11.副作用
11.1重大な副作用
11.2その他の副作用
12.臨床検査結果に及ぼす影響
14.適用上の注意
16.薬物動態
16.1血中濃度
16.3分布
16.4代謝
16.5排泄
16.6特定の背景を有する患者
18.薬効薬理
18.1作用機序
18.2抗菌作用
19.有効成分に関する理化学的知見
20.取扱い上の注意
22.包装
23.主要文献
24.文献請求先及び問い合わせ先
26.製造販売業者等

セファゾリンNa点滴静注用1gバッグ「NP」

添付文書番号

6132401G3087_1_08

企業コード

530100

作成又は改訂年月

2024年2月改訂(第1版)

日本標準商品分類番号

876132

薬効分類名

合成セファロスポリン系抗生物質製剤

承認等

セファゾリンNa点滴静注用1gバッグ「NP」

販売名コード

YJコード

6132401G3087

販売名英語表記

Cefazolin Sodium for I.V. Infusion

販売名ひらがな

せふぁぞりんNaてんてきじょうちゅうよう1gばっぐ「NP」

承認番号等

承認番号

22500AMX01879

販売開始年月

2007年4月

貯法・有効期間

貯法

室温保存

有効期間

2年

基準名

日本薬局方

注射用セファゾリンナトリウム

一般的名称

注射用セファゾリンナトリウム

2. 禁忌(次の患者には投与しないこと)

本剤の成分に対し過敏症の既往歴のある患者

3. 組成・性状

3.1 組成

セファゾリンNa点滴静注用1gバッグ「NP」

有効成分1キット中
日本薬局方 セファゾリンナトリウム   1g(力価)
溶解液  1キット中
日本薬局方 生理食塩液 100mL
(100mL中 日本薬局方 塩化ナトリウム 0.9g含有)

3.2 製剤の性状

セファゾリンNa点滴静注用1gバッグ「NP」

性状薬剤部:
白色~淡黄白色の結晶又は結晶性の粉末
溶解液部:
無色澄明の液

pH4.0~6.0
浸透圧比約1
(生理食塩液に対する比)

4. 効能・効果

  • 〈適応菌種〉

    セファゾリンに感性のブドウ球菌属、レンサ球菌属、肺炎球菌、大腸菌、肺炎桿菌、プロテウス・ミラビリス、プロビデンシア属

  • 〈適応症〉

    敗血症、感染性心内膜炎、表在性皮膚感染症、深在性皮膚感染症、リンパ管・リンパ節炎、慢性膿皮症、外傷・熱傷及び手術創等の二次感染、びらん・潰瘍の二次感染、乳腺炎、骨髄炎、関節炎、咽頭・喉頭炎、扁桃炎、急性気管支炎、肺炎、肺膿瘍、膿胸、慢性呼吸器病変の二次感染、膀胱炎、腎盂腎炎、腹膜炎、胆嚢炎、胆管炎、バルトリン腺炎、子宮内感染、子宮付属器炎、子宮旁結合織炎、眼内炎(全眼球炎を含む)、中耳炎、副鼻腔炎、化膿性唾液腺炎

5. 効能・効果に関連する注意

  • 〈咽頭・喉頭炎、扁桃炎、急性気管支炎、中耳炎、副鼻腔炎〉

    「抗微生物薬適正使用の手引き」1) を参照し、抗菌薬投与の必要性を判断した上で、本剤の投与が適切と判断される場合に投与すること。

6. 用法・用量

セファゾリンとして、通常、1日量成人には1g(力価)、小児には体重kg当り20~40mg(力価)を2回に分けて点滴静注する。
症状及び感染菌の感受性から効果不十分と判断される場合には、1日量成人1.5~3g(力価)を、小児には体重kg当り50mg(力価)を3回に分割投与する。
症状が特に重篤な場合には、1日量成人5g(力価)、小児には体重kg当り100mg(力価)までを分割投与することができる。
投与に際しては、用時、添付の溶解液にて溶解し、静脈内に点滴注入する。

8. 重要な基本的注意

  1. 8.1 本剤の使用にあたっては、耐性菌の発現等を防ぐため、原則として感受性を確認し、疾病の治療上必要な最小限の期間の投与にとどめること。
  2. 8.2 本剤によるショック、アナフィラキシー、アレルギー反応に伴う急性冠症候群の発生を確実に予知できる方法がないので、次の措置をとること。,,
    1. 8.2.1 事前に既往歴等について十分な問診を行うこと。なお、抗生物質等によるアレルギー歴は必ず確認すること。
    2. 8.2.2 投与に際しては、必ずショック等に対する救急処置のとれる準備をしておくこと。
    3. 8.2.3 投与開始から投与終了後まで、患者を安静の状態に保たせ、十分な観察を行うこと。特に、投与開始直後は注意深く観察すること。
  3. 8.3 汎血球減少、無顆粒球症、溶血性貧血、血小板減少があらわれることがあるので、定期的に検査を行うなど観察を十分に行うこと。
  4. 8.4 黄疸、AST、ALT、Al-Pの上昇等があらわれることがあるので、定期的に検査を行うなど観察を十分に行うこと。
  5. 8.5 急性腎障害等の重篤な腎障害があらわれることがあるので、定期的に検査を行うなど観察を十分に行うこと。

9. 特定の背景を有する患者に関する注意

9.1 合併症・既往歴等のある患者

  1. 9.1.1 セフェム系又はペニシリン系抗生物質に対し過敏症の既往歴のある患者(ただし、本剤に対し過敏症の既往歴のある患者には投与しないこと)
  2. 9.1.2 本人又は両親、兄弟に気管支喘息、発疹、蕁麻疹等のアレルギー症状を起こしやすい体質を有する患者
  3. 9.1.3 経口摂取の不良な患者又は非経口栄養の患者、全身状態の悪い患者

    観察を十分に行うこと。ビタミンK欠乏症状があらわれることがある。

  4. 9.1.4 心臓、循環器系機能障害のある患者

    本剤は生理食塩液100mLに溶解するため、循環血流量を増すことから心臓に負担をかけ、症状が悪化するおそれがある。

9.2 腎機能障害患者

本剤は生理食塩液100mLに溶解するため、水分、塩化ナトリウムの過剰投与に陥りやすく、症状が悪化するおそれがある。

  1. 9.2.1 高度の腎障害のある患者

    腎障害の程度に応じて投与量を減量し、投与の間隔をあけて使用すること。血中濃度が持続する。

9.5 妊婦

妊婦又は妊娠している可能性のある女性には、治療上の有益性が危険性を上回ると判断される場合にのみ投与すること。

9.6 授乳婦

治療上の有益性及び母乳栄養の有益性を考慮し、授乳の継続又は中止を検討すること。母乳中へ移行することが報告されている。

9.7 小児等

低出生体重児、新生児を対象とした有効性及び安全性を指標とした臨床試験は実施していない。
なお、低出生体重児、新生児では乳児、幼児等に比べて血清中濃度半減期が延長するとの報告がある。

9.8 高齢者

次の点に注意し、用量並びに投与間隔に留意するなど患者の状態を観察しながら、慎重に投与すること。

  • 生理機能が低下していることが多く、副作用が発現しやすい。
  • ビタミンK欠乏による出血傾向があらわれることがある。

10. 相互作用

    10.2 併用注意(併用に注意すること)

    薬剤名等臨床症状・措置方法機序・危険因子
    • ワルファリンカリウム

    ワルファリンカリウムの作用が増強されるおそれがある。ただし、本剤に関する症例報告はない。

    腸内細菌によるビタミンKの産生を抑制することがある。

    • 利尿剤
      • フロセミド 等

    腎障害が増強されるおそれがある。

    機序は明らかではないが、ラット、ウサギにおいて、腎障害が増強されるとの報告がある。

    11. 副作用

    次の副作用があらわれることがあるので、観察を十分に行い、異常が認められた場合には投与を中止するなど適切な処置を行うこと。

    11.1 重大な副作用

    1. 11.1.1 ショック(0.1%未満)

      不快感、口内異常感、喘鳴、眩暈、便意、耳鳴、発汗等があらわれた場合には投与を中止し、適切な処置を行うこと。

    2. 11.1.2 アナフィラキシー(0.1%未満)

      呼吸困難、全身潮紅、血管浮腫、蕁麻疹等があらわれることがある。

    3. 11.1.3 アレルギー反応に伴う急性冠症候群(頻度不明)

    4. 11.1.4 血液障害

      汎血球減少、無顆粒球症(初期症状:発熱、咽頭痛、頭痛、倦怠感等)、溶血性貧血(初期症状:発熱、ヘモグロビン尿、貧血症状等)、血小板減少(初期症状:点状出血、紫斑等)(各0.1%未満)があらわれることがある。

    5. 11.1.5 肝障害

      黄疸(0.1%未満)、AST、ALT、Al-Pの上昇(各0.1~5%未満)等があらわれることがある。

    6. 11.1.6 腎障害(0.1%未満)

      急性腎障害等の重篤な腎障害があらわれることがある。

    7. 11.1.7 大腸炎(0.1%未満)

      偽膜性大腸炎等の血便を伴う重篤な大腸炎があらわれることがある。腹痛、頻回の下痢があらわれた場合には直ちに投与を中止し、適切な処置を行うこと。

    8. 11.1.8 皮膚障害

      中毒性表皮壊死融解症(Toxic Epidermal Necrolysis:TEN)、皮膚粘膜眼症候群(Stevens-Johnson症候群)(各0.1%未満)があらわれることがあるので、発熱、頭痛、関節痛、皮膚や粘膜の紅斑・水疱、皮膚の緊張感・灼熱感・疼痛等が認められた場合には投与を中止し、適切な処置を行うこと。

    9. 11.1.9 間質性肺炎、PIE症候群(各0.1%未満)

      発熱、咳嗽、呼吸困難、胸部X線異常、好酸球増多等を伴う間質性肺炎、PIE症候群等があらわれることがあるので、このような症状があらわれた場合には投与を中止し、副腎皮質ホルモン剤の投与等の適切な処置を行うこと。

    10. 11.1.10 痙攣(頻度不明)

      腎不全の患者に大量投与すると、痙攣等の神経症状を起こすことがある2)

    11.2 その他の副作用

    0.1~5%未満

    0.1%未満

    過敏症

    発疹、蕁麻疹、紅斑

    そう痒、発熱、浮腫

    血液

    顆粒球減少、好酸球増多

    腎臓

    BUN上昇

    血清クレアチニン上昇

    消化器

    悪心、嘔吐

    食欲不振、下痢

    菌交代症

    口内炎、カンジダ症

    ビタミン欠乏症

    ビタミンK欠乏症状(低プロトロンビン血症、出血傾向等)、ビタミンB群欠乏症状(舌炎、口内炎、食欲不振、神経炎等)

    その他

    頭痛、めまい、全身倦怠感

    注)副作用の発現頻度はセファメジン注射用及び筋注用の使用成績調査に基づき算出。

    12. 臨床検査結果に及ぼす影響

    1. 12.1 テステープ反応を除くベネディクト試薬、フェーリング試薬、クリニテストによる尿糖検査では偽陽性を呈することがあるので注意すること。
    2. 12.2 直接クームス試験陽性を呈することがあるので注意すること。

    14. 適用上の注意

    14.1 薬剤調製時の注意

    1. 14.1.1 注射液の調製方法

      カバーシートをはがし、溶解液(生理食塩液)部分を手で押して隔壁を開通させ、薬剤部分と溶解液部分を交互に押して薬剤を完全に溶解する。(詳しい溶解操作方法については、バッグ製品の外袋及びカバーシートに記載の「溶解操作方法」を参照)

    2. 14.1.2 温度による溶解度の差により、澄明に溶解しない場合があるが、この場合は温湯であたため澄明な溶液としてから使用すること。
    3. 14.1.3 使用にあたっては、完全に溶解したことを確認し、溶解後は速やかに使用すること。なお、やむを得ず保存を必要とする場合でも、室温保存では48時間以内に使用すること。
    4. 14.1.4 ガベキサートメシル酸塩、ナファモスタットメシル酸塩、シメチジン、ファモチジン、アミノ糖系抗生物質と混合すると混濁することがある。
    5. 14.1.5 輸液セットの針はゴム栓の穿刺位置に垂直に刺すこと。斜めに刺すと針がプラスチックバッグの首部を傷つけて液漏れを起こすことがある。

    14.2 薬剤投与時の注意

    1. 14.2.1 静脈内大量投与により、血管痛、血栓性静脈炎を起こすことがあるので、これを予防するために注射液の調製、注射部位、注射方法等について十分注意し、その注射速度はできるだけ遅くすること。
    2. 14.2.2 容器の液目盛りは、およその目安として使用すること。
    3. 14.2.3 溶解後は分割投与しないこと。

    16. 薬物動態

    16.1 血中濃度

    健康成人にセファゾリン1gを30分で点滴静注すると、血漿中濃度は点滴終了直後にピーク値131μg/mLに達し、その半減期は2.46時間であった3) 。また、セファゾリン2gを30分及び1時間で点滴静注すると、血清中濃度は点滴終了直後にそれぞれピーク値228μg/mL、172μg/mLを示した4)

    16.3 分布

    1. 16.3.1 組織内移行

      患者喀痰中5) 、胸水中6) 、胆汁中7) 等への体液中移行、扁桃組織8) 、胆嚢組織7) 、子宮組織9) 、骨組織10) 等への組織内移行は良好である。

    2. 16.3.2 乳汁中移行

      授乳婦20例にセファゾリン2g静注したときの母乳中濃度は静注後2時間目1.3±0.9μg/mL、3時間目1.5±0.2μg/mL、4時間目1.2±1.0μg/mLであった11)

    16.4 代謝

    尿中には抗菌代謝物質は認められていない12)

    16.5 排泄

    主として腎臓より排泄され、健康成人にセファゾリン1gを30分で点滴静注したときの投与後8時間までの尿中排泄率3) は投与量の88.7%で、セファゾリン2gを点滴静注したときの尿中排泄率4) は30分点滴で86.3%(投与後6.5時間まで)、1時間点滴で88.2%(投与後7時間まで)と良好である。

    16.6 特定の背景を有する患者

    1. 16.6.1 腎機能障害患者

      腎機能障害のある患者では、腎障害の程度に応じて血清中濃度半減期が延長し、血清中濃度は持続した13)

      表 セファゾリン500mg静注時の血清中濃度半減期及び尿中回収量

      腎機能

      GFR(mL/min)

      例数

      t1/2(h)

      尿中回収量(9h)

      正常

      3

      1.6

      420.8mg

      中等度障害

      28~75

      3

      2.7

      166.7mg

      高度障害

      7.3~20

      3

      14.9

      50.2mg

    2. 16.6.2 小児等

      低出生体重児、新生児及び小児にセファゾリン25mg/kg静注した際の血清中濃度半減期は、低出生体重児、新生児で2.3~5.1時間、乳児、幼児、小児では1.3~2.2時間であった。なお、低出生体重児、新生児、乳児、幼児、小児の血清中濃度の推移は次表のとおりである14)

      低出生体重児(≦2,500g)

      日齢

      例数

      30分

      1時間

      2時間

      4時間

      6時間

      ≦3日

      5

      97

      89.2

      78

      58.7

      44.7

      4~7日

      8

      99.0

      97.8

      83

      56.8

      40.2

      ≧8日

      7

      100.5

      91.4

      67.9

      47.5

      31.8

      (μg/mL)

      新生児

      日齢

      例数

      30分

      1時間

      2時間

      4時間

      6時間

      ≦3日

      14

      122.4

      119

      101.2

      79.1

      58

      4~7日

      2

      93

      85

      70

      34

      20

      ≧8日

      3

      95.5

      79.3

      54.8

      29.7

      17.8

      (μg/mL)

      乳児、幼児、小児

      例数

      15分

      30分

      1時間

      2時間

      4時間

      6時間

      乳児

      5

      90.4

      75.2

      54.3

      28.1

      16.5

      幼児

      4

      131

      114

      81.3

      38.9

      11.4

      7.4

      小児

      4

      160.8

      120.5

      79.1

      51.8

      18.8

      9.5

      (μg/mL)

      注)セファゾリンナトリウム水和物での臨床試験は実施していないが、セファゾリンナトリウム水和物を溶解したものはセファゾリンナトリウム注射用、筋注用と同一のものであるので、セファゾリンナトリウム注射用、筋注用の成績を示した。

    18. 薬効薬理

    18.1 作用機序

    作用機序は細菌細胞壁の合成阻害であり、ペニシリン結合蛋白(PBP)に強い結合親和性を有する15)

    18.2 抗菌作用

    抗菌スペクトルはグラム陽性菌、グラム陰性菌の広範囲にわたっており、特にグラム陽性球菌ではブドウ球菌属、レンサ球菌属、肺炎球菌、グラム陰性桿菌では、大腸菌、肺炎桿菌、プロテウス・ミラビリス、プロビデンシア属に優れた抗菌力を示す。作用形式は殺菌的である12),16),17),18)in vitro)。

    注)セファゾリンナトリウム水和物での薬理試験等は実施していないが、セファゾリンナトリウム水和物を溶解したものはセファゾリンナトリウム注射用、筋注用と同一のものであるので、セファゾリンナトリウム注射用、筋注用の成績を示した。

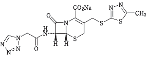
    19. 有効成分に関する理化学的知見

    一般的名称

    セファゾリンナトリウム(Cefazolin Sodium)

    化学名

    Monosodium (6R,7R)-3-(5-methyl-1,3,4-thiadiazol-2-ylsulfanylmethyl)-8-oxo-7-[2-(1H-tetrazol-1-yl)acetylamino]-5-thia-1-azabicyclo[4.2.0]oct-2-ene-2-carboxylate

    分子式

    C14H13N8NaO4S3

    分子量

    476.49

    性状

    ・白色~淡黄白色の結晶又は結晶性の粉末である。
    ・水又はホルムアミドに溶けやすく、メタノールに溶けにくく、エタノール(95)にほとんど溶けない。

    化学構造式

    略号

    CEZ

    20. 取扱い上の注意

    1. 20.1 製品の品質を保持するため、本品を包んでいる外袋は使用直前まで開封しないこと。また、開封後は速やかに使用すること。
    2. 20.2 次の場合には使用しないこと。
      • 外袋が破損しているときや内側に液滴が認められるとき
      • 隔壁の開通前に薬剤が溶解しているとき
      • 薬剤が変色しているときや、薬剤溶解前に溶解液の着色又は混濁等の異常が認められるとき
      • ゴム栓部のシールフィルムがはがれているとき

    22. 包装

    1g(力価)キット×10[溶解液:日本薬局方 生理食塩液100mL、プラスチックバッグ]

    24. 文献請求先及び問い合わせ先

    日医工株式会社 お客様サポートセンター

    〒930-8583 富山市総曲輪1丁目6番21

    TEL(0120)517-215
    FAX(076)442-8948

    26. 製造販売業者等

    26.1 製造販売元

    ニプロ株式会社

    大阪府摂津市千里丘新町3番26号

    26.2 販売元

    日医工株式会社

    富山市総曲輪1丁目6番21

    〒100-0013 東京都千代田区霞が関3-3-2 新霞が関ビル

    画面を閉じる

    Copyright © Pharmaceuticals and Medical Devices Agency, All Rights reserved.