医療用医薬品 詳細表示

セフメタゾールNa静注用0.25g「NP」/セフメタゾールNa静注用0.5g「NP」/セフメタゾールNa静注用1g「NP」/セフメタゾールNa静注用2g「NP」/セフメタゾールナトリウム点滴静注用バッグ1g「NP」/セフメタゾールナトリウム点滴静注用バッグ2g「NP」

処方せん医薬品

添付文書番号
企業コード
作成又は改訂年月
日本標準商品分類番号
薬効分類名
承認等
一般的名称
2.禁忌(次の患者には投与しないこと)
3.組成・性状
3.1組成
3.2製剤の性状
4.効能・効果
5.効能・効果に関連する注意
6.用法・用量
8.重要な基本的注意
9.特定の背景を有する患者に関する注意
9.1合併症・既往歴等のある患者
9.2腎機能障害患者
9.5妊婦
9.6授乳婦
9.8高齢者
10.相互作用
10.2併用注意(併用に注意すること)
11.副作用
11.1重大な副作用
11.2その他の副作用
12.臨床検査結果に及ぼす影響
14.適用上の注意
15.その他の注意
15.2非臨床試験に基づく情報
16.薬物動態
16.1血中濃度
16.3分布
16.4代謝
16.5排泄
16.6特定の背景を有する患者
18.薬効薬理
18.1作用機序
18.2抗菌作用
19.有効成分に関する理化学的知見
20.取扱い上の注意
22.包装
23.主要文献
24.文献請求先及び問い合わせ先
26.製造販売業者等

セフメタゾールNa静注用0.25g「NP」/セフメタゾールNa静注用0.5g「NP」/セフメタゾールNa静注用1g「NP」/セフメタゾールNa静注用2g「NP」/セフメタゾールナトリウム点滴静注用バッグ1g「NP」/セフメタゾールナトリウム点滴静注用バッグ2g「NP」

添付文書番号

6132408F1030_3_08

企業コード

530100

作成又は改訂年月

2023年12月改訂(第1版)

日本標準商品分類番号

876132

薬効分類名

セファマイシン系抗生物質製剤

承認等

セフメタゾールNa静注用0.25g「NP」

販売名コード

YJコード

6132408F1030

販売名英語表記

Cefmetazole Sodium for Intravenous

販売名ひらがな

せふめたぞーるNaじょうちゅうよう0.25g「NP」

承認番号等

承認番号

22300AMX01077

販売開始年月

2011年11月

貯法・有効期間

貯法

室温保存

有効期間

2年

基準名

日本薬局方

注射用セフメタゾールナトリウム

セフメタゾールNa静注用0.5g「NP」

販売名コード

YJコード

6132408F2036

販売名英語表記

Cefmetazole Sodium for Intravenous

販売名ひらがな

せふめたぞーるNaじょうちゅうよう0.5g「NP」

承認番号等

承認番号

21900AMX00888

販売開始年月

2010年5月

貯法・有効期間

貯法

室温保存

有効期間

2年

基準名

日本薬局方

注射用セフメタゾールナトリウム

セフメタゾールNa静注用1g「NP」

販売名コード

YJコード

6132408F3130

販売名英語表記

Cefmetazole Sodium for Intravenous

販売名ひらがな

せふめたぞーるNaじょうちゅうよう1g「NP」

承認番号等

承認番号

21900AMX00869

販売開始年月

1988年7月

貯法・有効期間

貯法

室温保存

有効期間

2年

基準名

日本薬局方

注射用セフメタゾールナトリウム

セフメタゾールNa静注用2g「NP」

販売名コード

YJコード

6132408F4128

販売名英語表記

Cefmetazole Sodium for Intravenous

販売名ひらがな

せふめたぞーるNaじょうちゅうよう2g「NP」

承認番号等

承認番号

21900AMX00870

販売開始年月

1988年7月

貯法・有効期間

貯法

室温保存

有効期間

2年

基準名

日本薬局方

注射用セフメタゾールナトリウム

セフメタゾールナトリウム点滴静注用バッグ1g「NP」

販売名コード

YJコード

6132408G3038

販売名英語表記

Cefmetazole Sodium for I.V. Infusion

販売名ひらがな

せふめたぞーるなとりうむてんてきじょうちゅうようばっぐ1g「NP」

承認番号等

承認番号

21800AMZ10145

販売開始年月

2006年8月

貯法・有効期間

貯法

室温保存

有効期間

2年

基準名

日本薬局方

注射用セフメタゾールナトリウム

セフメタゾールナトリウム点滴静注用バッグ2g「NP」

販売名コード

YJコード

6132408G4026

販売名英語表記

Cefmetazole Sodium for I.V. Infusion

販売名ひらがな

せふめたぞーるなとりうむてんてきじょうちゅうようばっぐ2g「NP」

承認番号等

承認番号

22100AMX02141

販売開始年月

2009年11月

貯法・有効期間

貯法

室温保存

有効期間

2年

基準名

日本薬局方

注射用セフメタゾールナトリウム

一般的名称

注射用セフメタゾールナトリウム

2. 禁忌(次の患者には投与しないこと)

本剤の成分に対し過敏症の既往歴のある患者

3. 組成・性状

3.1 組成

セフメタゾールNa静注用0.25g「NP」

有効成分1バイアル中
日本薬局方 セフメタゾールナトリウム   0.25g(力価)

セフメタゾールNa静注用0.5g「NP」

有効成分1バイアル中
日本薬局方 セフメタゾールナトリウム   0.5g(力価)

セフメタゾールNa静注用1g「NP」

有効成分1バイアル中
日本薬局方 セフメタゾールナトリウム   1g(力価)

セフメタゾールNa静注用2g「NP」

有効成分1バイアル中
日本薬局方 セフメタゾールナトリウム   2g(力価)

セフメタゾールナトリウム点滴静注用バッグ1g「NP」

有効成分1キット中
日本薬局方 セフメタゾールナトリウム   1g(力価)
溶解液1キット中
日本薬局方 生理食塩液 100mL
(100mL中 日本薬局方 塩化ナトリウム 0.9g含有)  

セフメタゾールナトリウム点滴静注用バッグ2g「NP」

有効成分1キット中
日本薬局方 セフメタゾールナトリウム   2g(力価)
溶解液1キット中
日本薬局方 生理食塩液 100mL
(100mL中 日本薬局方 塩化ナトリウム 0.9g含有)  

3.2 製剤の性状

セフメタゾールNa静注用0.25g「NP」

性状白色~淡黄色の粉末又は塊

セフメタゾールNa静注用0.5g「NP」

性状白色~淡黄色の粉末又は塊

セフメタゾールNa静注用1g「NP」

性状白色~淡黄色の粉末又は塊

セフメタゾールNa静注用2g「NP」

性状白色~淡黄色の粉末又は塊

セフメタゾールナトリウム点滴静注用バッグ1g「NP」

性状薬剤部:
白色~淡黄色の粉末又は塊
溶解液部:
無色澄明の液

pH4.0~6.0
浸透圧比約1
(生理食塩液に対する比)

Na含有量:1キット中、17.52mEqを含有する。

セフメタゾールナトリウム点滴静注用バッグ2g「NP」

性状薬剤部:
白色~淡黄色の粉末又は塊
溶解液部:
無色澄明の液

pH4.0~6.0
浸透圧比約1
(生理食塩液に対する比)

Na含有量:1キット中、19.64mEqを含有する。

4. 効能・効果

  • 〈適応菌種〉

    セフメタゾールに感性の黄色ブドウ球菌、大腸菌、肺炎桿菌、プロテウス属、モルガネラ・モルガニー、プロビデンシア属、ペプトストレプトコッカス属、バクテロイデス属、プレボテラ属(プレボテラ・ビビアを除く)

  • 〈適応症〉

    敗血症、急性気管支炎、肺炎、肺膿瘍、膿胸、慢性呼吸器病変の二次感染、膀胱炎、腎盂腎炎、腹膜炎、胆嚢炎、胆管炎、バルトリン腺炎、子宮内感染、子宮付属器炎、子宮旁結合織炎、顎骨周辺の蜂巣炎、顎炎

5. 効能・効果に関連する注意

  • 〈急性気管支炎〉

    「抗微生物薬適正使用の手引き」1)を参照し、抗菌薬投与の必要性を判断した上で、本剤の投与が適切と判断される場合に投与すること。

6. 用法・用量

  • 〈バイアル〉

    通常成人には、1日1~2g(力価)を2回に分けて静脈内注射または点滴静注する。
    通常小児には、1日25~100mg(力価)/kgを2~4回に分けて静脈内注射または点滴静注する。
    なお、難治性または重症感染症には症状に応じて、1日量を成人では4g(力価)、小児では150mg(力価)/kgまで増量し、2~4回に分割投与する。
    静脈内注射に際しては、本剤1g(力価)当たり、日本薬局方注射用水、日本薬局方生理食塩液または日本薬局方ブドウ糖注射液10mLに溶解し、緩徐に投与する。なお、本剤は補液に加えて点滴静注することもできる。

  • 〈バッグ〉

    通常成人には、1日1~2g(力価)を2回に分けて静脈内注射または点滴静注する。
    通常小児には、1日25~100mg(力価)/kgを2~4回に分けて静脈内注射または点滴静注する。
    なお、難治性または重症感染症には症状に応じて、1日量を成人では4g(力価)、小児では150mg(力価)/kgまで増量し、2~4回に分割投与する。
    用時添付の生理食塩液に溶解し、緩徐に投与する。なお、本剤は補液に加えて点滴静注することもできる。

8. 重要な基本的注意

  1. 8.1 本剤の使用にあたっては、耐性菌の発現等を防ぐため、原則として感受性を確認し、疾病の治療上必要な最小限の期間の投与にとどめること。
  2. 8.2 本剤によるショック、アナフィラキシーの発生を確実に予知できる方法がないので、以下の措置をとること。
    • 事前に既往歴等について十分な問診を行うこと。なお、抗生物質等によるアレルギー歴は必ず確認すること。
    • 投与に際しては、必ずショック等に対する救急処置のとれる準備をしておくこと。
    • 投与開始から投与終了後まで、患者を安静の状態に保たせ、十分な観察を行うこと。特に、投与開始直後は注意深く観察すること。
  3. 8.3 急性腎障害等の重篤な腎障害があらわれることがあるので、定期的に検査を行うなど観察を十分に行うこと。
  4. 8.4 投与に際しては、定期的に肝機能、血液等の検査を行うことが望ましい。,

9. 特定の背景を有する患者に関する注意

9.1 合併症・既往歴等のある患者

  • 〈製剤共通〉
    1. 9.1.1 セフェム系又はペニシリン系抗生物質に対し過敏症の既往歴のある患者(ただし、本剤に対し過敏症の既往歴のある患者には投与しないこと)
    2. 9.1.2 本人又は両親、兄弟に気管支喘息、発疹、蕁麻疹等のアレルギー症状を起こしやすい体質を有する患者
    3. 9.1.3 経口摂取の不良な患者又は非経口栄養の患者、全身状態の悪い患者

      食事摂取によりビタミンKを補給できない患者では、ビタミンK欠乏症状があらわれることがある。

  • 〈バッグ〉
    1. 9.1.4 心臓、循環器系機能障害のある患者

      生理食塩液100mLに溶解するため、循環血液量を増すことから心臓に負担をかけ、症状が悪化するおそれがある。

9.2 腎機能障害患者

  • 〈製剤共通〉
    1. 9.2.1 高度の腎障害のある患者

      投与量・投与間隔の適切な調節をするなど慎重に投与すること。血中濃度の上昇、半減期の延長がみられることがある。

  • 〈バッグ〉
    1. 9.2.2 腎障害のある患者

      生理食塩液100mLに溶解するため、水分、塩化ナトリウムの過剰投与に陥りやすく、症状が悪化するおそれがある。

9.5 妊婦

妊婦又は妊娠している可能性のある女性には治療上の有益性が危険性を上回ると判断される場合にのみ投与すること。

9.6 授乳婦

治療上の有益性及び母乳栄養の有益性を考慮し、授乳の継続又は中止を検討すること。

9.8 高齢者

以下の点に注意し、用量並びに投与間隔に留意するなど患者の状態を観察しながら慎重に投与すること。

  • 生理機能が低下していることが多く副作用が発現しやすい。
  • ビタミンK欠乏による出血傾向があらわれることがある。

10. 相互作用

    10.2 併用注意(併用に注意すること)

    薬剤名等臨床症状・措置方法機序・危険因子

    アルコール

    飲酒により、ジスルフィラム様作用(顔面潮紅、心悸亢進、めまい、頭痛、嘔気等)があらわれることがある。投与期間中及び投与後少なくとも1週間は飲酒を避けさせること。

    明らかではないが、3位側鎖のN-メチルチオテトラゾール基がジスルフィラム様作用を有すると考えられている。

    利尿剤

    • フロセミド等

    腎障害が増強されるおそれがある。

    機序は不明だが、動物実験(ラット)でフロセミドとの併用により、軽度から中等度の近位尿細管上皮細胞の核の萎縮及び濃縮が認められたとの報告がある。

    11. 副作用

    次の副作用があらわれることがあるので、観察を十分に行い、異常が認められた場合には投与を中止するなど適切な処置を行うこと。

    11.1 重大な副作用

    1. 11.1.1 ショック(0.01%未満)、アナフィラキシー(頻度不明)

      ショック、アナフィラキシー(不快感、口内異常感、喘鳴、眩暈、便意、耳鳴、発汗等)を起こすことがある。

    2. 11.1.2 中毒性表皮壊死融解症(Toxic Epidermal Necrolysis:TEN)、皮膚粘膜眼症候群(Stevens-Johnson症候群)(いずれも頻度不明)
    3. 11.1.3 急性腎障害(頻度不明)

      急性腎障害等の重篤な腎障害があらわれることがあるので、観察を十分に行い、BUN・血中クレアチニン上昇等の検査所見があらわれた場合には直ちに投与を中止し、適切な処置を行うこと。

    4. 11.1.4 肝炎、肝機能障害、黄疸(いずれも頻度不明)

      AST、ALTの著しい上昇等を伴う肝炎、肝機能障害、黄疸があらわれることがある。

    5. 11.1.5 無顆粒球症、溶血性貧血、血小板減少(いずれも頻度不明)

    6. 11.1.6 偽膜性大腸炎(0.01%未満)

      偽膜性大腸炎等の血便を伴う重篤な大腸炎(初期症状:腹痛、頻回の下痢)があらわれることがある。

    7. 11.1.7 間質性肺炎、PIE症候群(いずれも頻度不明)

      発熱、咳嗽、呼吸困難、胸部X線異常、好酸球増多等を伴う間質性肺炎、PIE症候群があらわれることがあるので、このような症状があらわれた場合には直ちに投与を中止し、副腎皮質ホルモン剤の投与等の適切な処置を行うこと。

    11.2 その他の副作用

    0.1~1%未満

    0.1%未満

    頻度不明

    過敏症

    発疹、そう痒

    蕁麻疹、紅斑、発熱

    血液

    顆粒球減少、好酸球増多

    赤血球減少、血小板減少

    肝臓

    AST上昇、ALT上昇、肝機能異常

    ALP上昇

    消化器

    悪心・嘔吐、下痢

    食欲不振

    菌交代症

    口内炎、カンジダ症

    ビタミン欠乏症

    ビタミンB群欠乏症状(舌炎、口内炎、食欲不振、神経炎等)

    ビタミンK欠乏症状(低プロトロンビン血症、出血傾向等)

    その他

    頭痛

    12. 臨床検査結果に及ぼす影響

    1. 12.1 テステープ反応を除くベネディクト試薬、フェーリング試薬による尿糖検査では偽陽性を呈することがあるので注意すること。
    2. 12.2 ヤッフェ反応によるクレアチニン検査ではクレアチニン値がみかけ上、高値を示すことがあるので注意すること。
    3. 12.3 直接クームス試験陽性を呈することがある。

    14. 適用上の注意

    14.1 薬剤調製時の注意

    • 〈製剤共通〉
      1. 14.1.1 使用にあたっては、完全に溶解したことを確認し、溶解後は速やかに使用すること。なお、やむを得ず保存を必要とする場合でも、室温保存では24時間以内に使用すること。
    • 〈バイアル〉
      1. 14.1.2 点滴静注を行う場合、注射用水を用いると溶液が等張にならないため使用しないこと。
    • 〈バッグ〉
      1. 14.1.3 カバーシートをはがし、溶解液(生理食塩液)部分を手で押して隔壁を開通させ、薬剤部分と溶解液部分を交互に押して薬剤を完全に溶解する。(詳しい溶解操作方法については、バッグ製品の外袋及びカバーシートに記載の「溶解操作方法」を参照)

    14.2 薬剤投与時の注意

    • 〈製剤共通〉
      1. 14.2.1 静脈内大量投与により血管痛を起こすことがあるので、注射液の調製、注射部位、注射方法等について十分注意し、注射速度はできるだけ遅くすること。
    • 〈バッグ〉
      1. 14.2.2 分割投与しないこと。
      2. 14.2.3 輸液セットの針はゴム栓の穿刺位置にまっすぐに刺すこと。斜めに刺すと針がプラスチックバッグの首部を傷つけて液漏れを起こすことがある。
      3. 14.2.4 容器の液目盛りは、およその目安として使用すること。

    15. その他の注意

    15.2 非臨床試験に基づく情報

    1. 15.2.1 幼若ラットに皮下投与した実験において精巣萎縮、精子形成抑制作用が発現したとの報告がある。
    2. 15.2.2 セフメタゾンの抗原性についてマウス、ウサギ、モルモットにより検討した結果、いずれの動物においても他のセファロスポリン系抗生物質と同様に弱く、受動的皮膚アナフィラキシー反応によるセファゾリン、セファロチンとの交叉性も弱いことが認められている。また、クームス陽性能はセファロチンと比べ著しく弱いことが認められている。

    16. 薬物動態

    16.1 血中濃度

    1. 16.1.1 静脈内投与

      健康成人にセフメタゾールナトリウム1g(力価)を静注した場合、投与10分後に血中濃度の平均は188μg/mL、6時間後には1.9μg/mLを示し、血中濃度半減期は1時間前後である。また血中濃度に用量依存性が認められる2)

    2. 16.1.2 点滴静脈内投与

      健康成人にセフメタゾールナトリウム1g(力価)を1時間点滴静注した場合の血中濃度は点滴終了時に最高値に達し、その平均は76.2μg/mL、6時間後には2.7μg/mLを示し、血中濃度半減期は1.1時間前後である。血中濃度に用量依存性が認められる2)

    16.3 分布

    1. 16.3.1 組織移行

      喀痰3),4)、腹水5)、腹腔滲出液6)、胆嚢壁5)、胆汁7)、子宮・卵巣・卵管8)、骨盤死腔液9)、顎骨10)、上顎洞粘膜11)、歯肉10),12)等に高い移行を示す。
      なお羊水13)、臍帯血13)、腎(皮質・髄質)14)への移行も認められるが、母乳13)中への移行はほとんど認められていない。

    2. 16.3.2 血清蛋白結合率

      セフメタゾールナトリウム100μg/mL:84.8%
      セフメタゾールナトリウム25μg/mL:83.6%
      (遠心限外濾過法)15)

    16.4 代謝

    セフメタゾールナトリウムは体内で代謝を受けず、抗菌活性を有する未変化体のままであった2)

    16.5 排泄

    セフメタゾールナトリウムは抗菌活性を有する未変化体のまま、大部分が尿中に排泄される。6時間までの尿中回収率は74~92%と高率である2)

    16.6 特定の背景を有する患者

    1. 16.6.1 腎障害患者
      1. (1) 腎機能の低下に伴い尿中への排泄が減少し、血中濃度の上昇、半減期の延長が認められる。
      2. (2) 腎障害患者にセフメタゾールナトリウム1g(力価)を点滴静注し、one-compartment open modelに従って薬動力学的解析を行った結果、腎機能とセフメタゾールナトリウムの血清クリアランス及び腎クリアランスとの間に有意な相関関係が認められた16)

        Ccrの範囲(mL/min)

        Ccr(mL/min)

        Scl(mL/min)

        Rcl(mL/min)

        健康成人群

        >90

        115.8±7.4

        160.8±2.9

        110.6±14.9

        腎障害患者群

        60~90

        76.1±2.8

        69.4±7.0

        41.9±3.8

        30~60

        43.8±4.9

        40.9±8.6

        29.9±5.1

        10~30

        17.1±2.3

        26.9±7.0

        12.1±3.7

        <10

        4.4±1.9

        11.2±3.9

        3.9±2.8

        平均±標準誤差

        セフメタゾールナトリウムの臨床成績についてみると、1回投与量1g、1日2回毎12時間投与法が最も多く用いられ、かつ有効率が高い結果が得られている。同投与法を基準とした場合の腎障害患者への投与量、投与間隔の例を次表に示す16)

        Ccr
        (mL/min)

        投与間隔による調節

        用量による調節

        用量(mg)

        投与間隔(hr)

        用量(mg)

        投与間隔(hr)

        >60

        1,000

        12

        1,000

        12

        30~60

        1,000

        24

        500

        12

        10~30

        1,000

        48

        250

        12

        <10

        1,000

        120

        100

        12

    18. 薬効薬理

    18.1 作用機序

    増殖期の細菌細胞壁合成を、強く阻害することにより殺菌的に作用する15),17),18),19)

    18.2 抗菌作用

    1. 18.2.1 セフメタゾールナトリウムはβ-lactamaseに対する抵抗性が高く、したがってβ-lactamase産生菌に対しても非産生感性菌に対すると同様の強い抗菌力を有する(in vitro、マウス)15),17),18),19),20),21)
    2. 18.2.2 黄色ブドウ球菌、大腸菌、肺炎桿菌、プロテウス・ミラビリスに対しては、すぐれた抗菌力を有し、さらに一般にセファロスポリン系及びペニシリン系抗生物質に非感受性のプロテウス・ブルガリス、モルガネラ・モルガニー、プロビデンシア属にも強い抗菌力を有する。また嫌気性菌のペプトストレプトコッカス属、バクテロイデス属、プレボテラ属(プレボテラ・ビビアを除く)にもすぐれた抗菌作用を示す(in vitro、マウス)15),17),18),19),20),21)

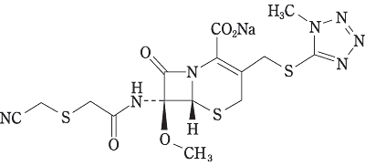
    19. 有効成分に関する理化学的知見

    一般的名称

    セフメタゾールナトリウム(Cefmetazole Sodium)

    化学名

    Monosodium(6R,7R)-7-{[(cyanomethylsulfanyl)acetyl]amino}-7-methoxy-3-(1-methyl-1H-tetrazol-5-ylsulfanylmethyl)-8-oxo-5-thia-1-azabicyclo[4.2.0]oct-2-ene-2-carboxylate

    分子式

    C15H16N7NaO5S3

    分子量

    493.52

    性状

    ・白色~淡黄白色の粉末又は塊である。
    ・水に極めて溶けやすく、メタノールに溶けやすく、エタノール(95)に溶けにくく、テトラヒドロフランに極めて溶けにくい。
    ・吸湿性である。

    化学構造式

    略号

    CMZ

    20. 取扱い上の注意

    • 〈バイアル〉
      1. 20.1 本剤は光によって徐々に着色することがあるので、開封後の保存には注意すること。
    • 〈バッグ〉
      1. 20.2 製品の品質を保持するため、本品を包んでいる外袋は使用時まで開封しないこと。また、開封後は速やかに使用すること。
      2. 20.3 次の場合には使用しないこと。
        • 外袋が破損しているときや内側に液滴が認められるとき
        • 隔壁の開通前に薬剤が溶解しているとき
        • 薬剤が変色しているときや、薬剤溶解前に溶解液の着色又は混濁等の異常が認められるとき
        • ゴム栓部のシールフィルムがはがれているとき

    22. 包装

    • セフメタゾールNa静注用0.25g「NP」

      0.25g(力価)×10バイアル

    • セフメタゾールNa静注用0.5g「NP」

      0.5g(力価)×10バイアル

    • セフメタゾールNa静注用1g「NP」

      1g(力価)×10バイアル

    • セフメタゾールNa静注用2g「NP」

      2g(力価)×10バイアル

    • セフメタゾールナトリウム点滴静注用バッグ1g「NP」

      1g(力価)キット×10[溶解液:日本薬局方 生理食塩液100mL、プラスチックバッグ]

    • セフメタゾールナトリウム点滴静注用バッグ2g「NP」

      2g(力価)キット×10[溶解液:日本薬局方 生理食塩液100mL、プラスチックバッグ]

    23. 主要文献

    1) 厚生労働省健康局結核感染症課編:抗微生物薬適正使用の手引き(L20201195)

    2) 河田幸道:感染症学雑誌.1979;53(2):66-74(L20220394)

    3) 松本慶蔵 他:日本化学療法学会雑誌(Chemotherapy).1978;26(S-5):368-374(L20220395)

    4) 中富昌夫 他:日本化学療法学会雑誌(Chemotherapy).1978;26(S-5):350-367(L20220396)

    5) 葛西洋一 他:日本化学療法学会雑誌(Chemotherapy).1979;27(2):275-282(L20220397)

    6) 志村秀彦 他:日本化学療法学会雑誌(Chemotherapy).1982;30(10):1115-1134(L20220398)

    7) 二之宮景光:外科診療.1978;20(12):1639-1647(L20220399)

    8) 平林光司 他:産婦人科の世界.1979;31(1):129-135(L20220400)

    9) 久保田武美 他:日本産婦人科学会・関東連合地方部会会報.1982;第36号:45-46(L20220401)

    10) 南 良尚 他:Jpn J Antibiot.1982;35(5):1308-1321(L20220402)

    11) 藤巻 豊 他:耳鼻咽喉科臨床.1982;75(11):2235-2247(L20220403)

    12) 加藤弘直 他:日本口腔科学会雑誌.1982;31(2):216-226(L20220404)

    13) 高瀬善次郎 他:日本化学療法学会雑誌(Chemotherapy).1978;26(S-5):566-574(L20220405)

    14) 高本 均 他:日本化学療法学会雑誌(Chemotherapy).1978;26(S-5):501-514(L20220406)

    15) 五島瑳智子:感染症学雑誌.1979;53(2):52-65(L20220410)

    16) 大川光央 他:日本化学療法学会雑誌(Chemotherapy).1979;27(1):78-86(L20220407)

    17) 五島瑳智子 他:日本化学療法学会雑誌(Chemotherapy).1978;26(S-5):1-20(L20220409)

    18) 三橋 進 他:日本化学療法学会雑誌(Chemotherapy).1978;26(S-5):21-26(L20220411)

    19) 菅原眞一 他:日本化学療法学会雑誌(Chemotherapy).1978;26(S-5):81-98(L20220412)

    20) 鈴木祥一郎 他:日本化学療法学会雑誌(Chemotherapy).1978;26(S-5):33-39(L20220413)

    21) 笹津備規 他:日本化学療法学会雑誌(Chemotherapy).1982;30(11):1313-1318(L20220414)

    24. 文献請求先及び問い合わせ先

    ニプロ株式会社 医薬品情報室

    〒566-8510 大阪府摂津市千里丘新町3番26号

    TEL 0120-226-898
    FAX 050-3535-8939

    26. 製造販売業者等

    26.1 製造販売元

    ニプロ株式会社

    大阪府摂津市千里丘新町3番26号

    〒100-0013 東京都千代田区霞が関3-3-2 新霞が関ビル

    画面を閉じる

    Copyright © Pharmaceuticals and Medical Devices Agency, All Rights reserved.