医療用医薬品 詳細表示

セフタジジム静注用0.5g「NP」/セフタジジム静注用1g「NP」

処方せん医薬品

添付文書番号
企業コード
作成又は改訂年月
日本標準商品分類番号
薬効分類名
承認等
一般的名称
2.禁忌(次の患者には投与しないこと)
3.組成・性状
3.1組成
3.2製剤の性状
4.効能・効果
5.効能・効果に関連する注意
6.用法・用量
7.用法・用量に関連する注意
8.重要な基本的注意
9.特定の背景を有する患者に関する注意
9.1合併症・既往歴等のある患者
9.2腎機能障害患者
9.5妊婦
9.6授乳婦
9.8高齢者
10.相互作用
10.2併用注意(併用に注意すること)
11.副作用
11.1重大な副作用
11.2その他の副作用
12.臨床検査結果に及ぼす影響
13.過量投与
14.適用上の注意
16.薬物動態
16.1血中濃度
16.3分布
16.5排泄
18.薬効薬理
18.1作用機序
19.有効成分に関する理化学的知見
20.取扱い上の注意
22.包装
23.主要文献
24.文献請求先及び問い合わせ先
26.製造販売業者等

セフタジジム静注用0.5g「NP」/セフタジジム静注用1g「NP」

添付文書番号

6132418F1122_3_09

企業コード

530100

作成又は改訂年月

2023年11月改訂(第1版)

日本標準商品分類番号

876132

薬効分類名

セフェム系抗生物質製剤

承認等

セフタジジム静注用0.5g「NP」

販売名コード

YJコード

6132418F1122

販売名英語表記

Ceftazidime for Intravenous

販売名ひらがな

せふたじじむじょうちゅうよう0.5g「NP」

承認番号等

承認番号

22300AMX00282

販売開始年月

2012年1月

貯法・有効期間

貯法

室温保存

有効期間

2年

基準名

日本薬局方

注射用セフタジジム

セフタジジム静注用1g「NP」

販売名コード

YJコード

6132418F2110

販売名英語表記

Ceftazidime for Intravenous

販売名ひらがな

せふたじじむじょうちゅうよう1g「NP」

承認番号等

承認番号

21800AMZ10146

販売開始年月

2007年7月

貯法・有効期間

貯法

室温保存

有効期間

2年

基準名

日本薬局方

注射用セフタジジム

一般的名称

注射用セフタジジム

2. 禁忌(次の患者には投与しないこと)

本剤の成分に対し過敏症の既往歴のある患者

3. 組成・性状

3.1 組成

セフタジジム静注用0.5g「NP」

有効成分1バイアル中
日本薬局方 セフタジジム水和物   0.5g(力価)
添加剤1バイアル中
乾燥炭酸ナトリウム   0.06g

セフタジジム静注用1g「NP」

有効成分1バイアル中
日本薬局方 セフタジジム水和物   1g(力価)
添加剤1バイアル中
乾燥炭酸ナトリウム   0.116g

3.2 製剤の性状

セフタジジム静注用0.5g「NP」

性状白色~淡黄白色の粉末

セフタジジム静注用1g「NP」

性状白色~淡黄白色の粉末

4. 効能・効果

  • 〈適応菌種〉

    本剤に感性のブドウ球菌属、レンサ球菌属、肺炎球菌、大腸菌、シトロバクター属、クレブシエラ属、エンテロバクター属、セラチア属、プロテウス属、モルガネラ・モルガニー、プロビデンシア属、インフルエンザ菌、シュードモナス属、緑膿菌、バークホルデリア・セパシア、ステノトロホモナス(ザントモナス)・マルトフィリア、アシネトバクター属、ペプトストレプトコッカス属、バクテロイデス属、プレボテラ属(プレボテラ・ビビアを除く)

  • 〈適応症〉

    敗血症、感染性心内膜炎、外傷・熱傷及び手術創等の二次感染、咽頭・喉頭炎、扁桃炎(扁桃周囲炎、扁桃周囲膿瘍を含む)、急性気管支炎、肺炎、肺膿瘍、膿胸、慢性呼吸器病変の二次感染、膀胱炎、腎盂腎炎、前立腺炎(急性症、慢性症)、腹膜炎、胆嚢炎、胆管炎、肝膿瘍、バルトリン腺炎、子宮内感染、子宮付属器炎、子宮旁結合織炎、化膿性髄膜炎、中耳炎、副鼻腔炎

5. 効能・効果に関連する注意

  • 〈咽頭・喉頭炎、扁桃炎(扁桃周囲炎、扁桃周囲膿瘍を含む)、急性気管支炎、中耳炎、副鼻腔炎〉

    「抗微生物薬適正使用の手引き」1)を参照し、抗菌薬投与の必要性を判断した上で、本剤の投与が適切と判断される場合に投与すること。

6. 用法・用量

通常、成人には1日1~2g(力価)を2回に分割し静脈内に注射する。なお、難治性又は重症感染症には症状に応じて1日量を4g(力価)まで増量し、2~4回に分割投与する。
通常、小児には1日40~100mg(力価)/kgを2~4回に分割し静脈内に注射する。なお、難治性又は重症感染症には症状に応じて1日量を150mg(力価)/kgまで増量し、2~4回に分割投与する。
通常、未熟児・新生児の生後0から3日齢には1回20mg(力価)/kgを1日2~3回、また、生後4日齢以降には1回20mg(力価)/kgを1日3~4回静脈内に注射する。なお、難治性又は重症感染症には、症状に応じて1日量を150mg(力価)/kgまで増量し、2~4回に分割投与する。
静脈内注射に際しては、日局注射用水、日局生理食塩液又は日局ブドウ糖注射液に溶解し、緩徐に投与する。
なお、本剤は糖液、電解質液又はアミノ酸製剤等の補液に加えて30分~2時間かけて点滴静注することもできる。

7. 用法・用量に関連する注意

腎機能障害患者では、血中濃度半減期の延長及び尿中排泄率の低下が認められ、血中濃度が増大するので、腎機能障害の程度に応じて投与量、投与間隔の調節が必要である。,,,
下表に投与法の一例を示す2)(外国人データ)。

腎機能検査値

投与法

クレアチニン
クリアランス
(mL/min)

血清クレアチニン
(mg/dL)

1回投与量
[g(力価)]

投与間隔
(時間)

50~31

1.7~2.3

1.0

12

30~16

2.3~4.0

1.0

24

15~6

4.0~5.6

0.5

24

<5

>5.6

0.5

48

8. 重要な基本的注意

  1. 8.1 本剤の使用にあたっては、耐性菌の発現等を防ぐため、原則として感受性を確認し、疾病の治療上必要な最小限の期間の投与にとどめること。
  2. 8.2 本剤によるショック、アナフィラキシーの発生を確実に予知できる方法がないので、次の措置をとること。,
    1. 8.2.1 事前に既往歴等について十分な問診を行うこと。なお、抗生物質等によるアレルギー歴は必ず確認すること。
    2. 8.2.2 投与に際しては、必ずショック等に対する救急処置のとれる準備をしておくこと。
    3. 8.2.3 投与開始から投与終了後まで、患者を安静の状態に保たせ、十分な観察を行うこと。特に、投与開始直後は注意深く観察すること。
  3. 8.3 本剤の投与に際しては定期的に腎機能検査を行うなど観察を十分に行うこと。また、定期的に肝機能、血液等の検査を行うことが望ましい。,,,,

9. 特定の背景を有する患者に関する注意

9.1 合併症・既往歴等のある患者

  1. 9.1.1 セフェム系又はペニシリン系抗生物質に対し過敏症の既往歴のある患者(ただし、本剤に対し過敏症の既往歴のある患者には投与しないこと)

    ,

  2. 9.1.2 本人又は両親、兄弟に気管支喘息、発疹、蕁麻疹等のアレルギー症状を起こしやすい体質を有する患者
  3. 9.1.3 経口摂取の不良な患者又は非経口栄養の患者、全身状態の悪い患者

    観察を十分に行うこと。ビタミンK欠乏症状があらわれることがある。

9.2 腎機能障害患者

  1. 9.2.1 高度の腎障害のある患者

    投与量を減ずるか、投与間隔をあけて使用すること。血中濃度が持続する。,,,

9.5 妊婦

妊婦又は妊娠している可能性のある女性には、治療上の有益性が危険性を上回ると判断される場合にのみ投与すること。

9.6 授乳婦

治療上の有益性及び母乳栄養の有益性を考慮し、授乳の継続又は中止を検討すること。ヒト母乳中への移行が報告されている。

9.8 高齢者

次の点に注意し、患者の状態を観察しながら慎重に投与すること。

  1. 9.8.1 生理機能が低下していることが多く副作用が発現しやすい。
  2. 9.8.2 ビタミンK欠乏による出血傾向があらわれることがある。

10. 相互作用

    10.2 併用注意(併用に注意すること)

    薬剤名等臨床症状・措置方法機序・危険因子

    利尿剤

    • フロセミド等

    動物実験(ラット)でフロセミド等の利尿剤との併用により腎障害が増強されることが報告されている。
    腎機能に注意する。

    機序は不明であるが、フロセミド投与による利尿のためレニン-アンジオテンシン系の賦活又は利尿剤による脱水等で尿細管細胞へのセフェム系抗生物質の取り込みが亢進し、腎毒性を発揮すると考えられている。
    危険因子:高度の腎障害

    経口避妊薬

    経口避妊薬の効果が減弱するおそれがある。

    腸内細菌叢を変化させ、経口避妊薬の腸肝循環による再吸収を抑制すると考えられている。

    11. 副作用

    次の副作用があらわれることがあるので、観察を十分に行い、異常が認められた場合には投与を中止するなど適切な処置を行うこと。

    11.1 重大な副作用

    1. 11.1.1 ショック、アナフィラキシー(各0.1%未満)

      不快感、口内異常感、喘鳴、眩暈、便意、耳鳴、発汗、気管支痙攣、呼吸困難、顔面潮紅、血管性浮腫等があらわれた場合には投与を中止し適切な処置を行うこと。,

    2. 11.1.2 急性腎障害等の重篤な腎障害(頻度不明)

      ,,

    3. 11.1.3 汎血球減少、無顆粒球症、血小板減少(各0.1%未満)、溶血性貧血(頻度不明)

    4. 11.1.4 偽膜性大腸炎等の血便を伴う重篤な大腸炎(頻度不明)

      腹痛、頻回の下痢があらわれた場合には投与を中止し適切な処置を行うこと。

    5. 11.1.5 中毒性表皮壊死融解症(Toxic Epidermal Necrolysis:TEN)、皮膚粘膜眼症候群(Stevens-Johnson症候群)(いずれも頻度不明)
    6. 11.1.6 間質性肺炎、PIE症候群(いずれも頻度不明)

      発熱、咳嗽、呼吸困難、胸部X線異常、好酸球増多等を伴う間質性肺炎、PIE症候群等があらわれることがあるので、このような症状があらわれた場合には投与を中止し、副腎皮質ホルモン剤の投与等の適切な処置を行うこと。

    7. 11.1.7 肝炎、肝機能障害、黄疸(いずれも頻度不明)

      AST、ALT、γ-GTP等の著しい上昇を伴う急性肝炎、肝機能障害や黄疸があらわれることがある。

    8. 11.1.8 精神神経症状(頻度不明)

      脳症、昏睡、意識障害、痙攣、振戦、ミオクローヌス等の精神・神経症状があらわれることがある。特に、腎機能障害患者で減量を行わなかった場合にあらわれやすい。,

    11.2 その他の副作用

    0.1%~1.8%

    0.1%未満

    頻度不明

    過敏症

    発疹、発熱

    蕁麻疹、紅斑、そう痒

    血液

    顆粒球減少、好酸球増多

    貧血、血小板増多

    リンパ球増多

    肝臓

    AST、ALT、Al-P、LDH、γ-GTP等の上昇

    黄疸、ビリルビン等の上昇

    腎臓

    BUN等の上昇

    クレアチニン等の上昇

    消化器

    下痢

    悪心、嘔吐、腹痛、食欲不振

    菌交代症

    口内炎、カンジダ症

    ビタミン欠乏症

    ビタミンK欠乏症状(低プロトロンビン血症、出血傾向等)、ビタミンB群欠乏症状(舌炎、口内炎、食欲不振、神経炎等)

    その他

    めまい、頭痛、味覚障害、口渇感

    しびれ

    12. 臨床検査結果に及ぼす影響

    1. 12.1 テステープ反応を除くベネディクト試薬、フェーリング試薬による尿糖検査では偽陽性を呈することがあるので注意すること。
    2. 12.2 直接クームス試験陽性を呈することがあるので注意すること。

    13. 過量投与

    1. 13.1 症状

      大脳刺激により、痙攣、意識障害等の精神・神経症状を起こすことがある。

    2. 13.2 処置

      本剤の血中濃度は透析により下げることができる。

    14. 適用上の注意

    14.1 薬剤調製時の注意

    1. 14.1.1 注射液の調製法

      本剤には溶解補助剤として日局乾燥炭酸ナトリウムが配合されているため溶解時に炭酸ガスが発生しバイアル内が陽圧となるので、次のように2段階で調製する。下記溶解液量をバイアルに注入溶解し静脈内投与に際しては下記投与液量に希釈し投与する。溶解にあたっては外箱裏面記載の〔セフタジジム静注用0.5g「NP」及びセフタジジム静注用1g「NP」の溶解方法〕を読んで行うこと。点滴静注を行う場合、注射用水を用いると溶液が等張とならないため用いないこと。

    本剤

    溶解液

    溶解液量

    投与液量

    0.5g

    日局注射用水
    日局生理食塩液
    5%日局ブドウ糖注射液

    3mL

    10mL

    1g

    5mL

    20mL

    1. 14.1.2 配合時

      配合変化データを参照すること。次の注射剤と混合後、配合変化を起こすことが確認されているので注意すること。

      1. (1) バンコマイシン塩酸塩、ガベキサートメシル酸塩、ブロムヘキシン塩酸塩、ベタメタゾンリン酸エステルナトリウム、カンレノ酸カリウム、ジピリダモールと配合すると白濁・沈殿を生じることがあるため、混注しないこと。
      2. (2) フルオロウラシル、テガフール、アミノフィリン水和物と配合すると時間の経過とともに本剤の力価が低下することがあるため、速やかに使用すること。
      3. (3) 本剤の安定性が低下するため、炭酸水素ナトリウム注射液を溶解や希釈に用いないこと。
    2. 14.1.3 調製後

      調製後は速やかに使用すること。なお、やむをえず保存を必要とする場合でも室温保存で6時間、冷蔵庫保存で72時間以内に使用すること。

    14.2 薬剤投与時の注意

    1. 14.2.1 両頭針付き溶解剤(ハーフキット)に溶解して使用する場合は、薬剤溶解後に炭酸ガスが発生し、点滴筒内の液面が下がることがあるので、あらかじめ点滴筒の2/3まで薬液を溜めた後、点滴を開始すること。点滴開始時に液面が低い場合、チューブ内にエアーが入ることがある。
    2. 14.2.2 静脈内大量投与により血管痛、血栓性静脈炎等を起こすことがあるので、これを予防するため注射液の調製、注射部位、注射方法等について十分に注意し、その注射速度はできるだけ遅くすること。

    16. 薬物動態

    16.1 血中濃度

    1. 16.1.1 健康成人及び小児(腎機能正常)

      健康成人に0.5g及び1g(力価)を静脈内投与するとき、最高血中濃度はそれぞれ85.8μg/mL、190μg/mLに達し、血中消失半減期は共に1.6時間であった。点滴静注による投与でも投与量依存性の血中濃度が得られ、半減期は1.4~1.9時間であった。
      腎機能正常小児患者に10~40mg(力価)/kgを点滴静注するとき、投与量依存性の血中濃度が認められ、半減期は約1.2時間であった3)

    2. 16.1.2 未熟児及び新生児患者

      静注あるいは点滴静注して得られた血中濃度は表1、2のとおりである4)

      表1 未熟児患者におけるセフタジジム水和物静注時又は点滴静注時の血中濃度

      投与量

      パラメータ

      静注(日齢)

      点滴静注(日齢)

      0-3

      4-7

      8-31

      0-3

      4-7

      11

      10(mg/kg) 1)

      T1/2(hr)

      3.21

      3.08

      2.79

      Cmax(μg/mL)

      42.9

      51.2

      39.2

      AUC(hr・μg/mL)

      184

      167

      138

      20(mg/kg)

      T1/2(hr)

      4.10

      3.72

      2.75

      4.20

      3.20

      2.75

      Cmax(μg/mL)

      72.1

      115.1

      80.4

      AUC(hr・μg/mL)

      346

      265

      229

      -:データなし

      表2 新生児患者におけるセフタジジム水和物静注時又は点滴静注時の血中濃度

      投与量

      パラメータ

      静注(日齢)

      点滴静注(日齢)

      0-3

      4-7

      8-30

      0-3

      4-7

      8-27

      10(mg/kg) 1)

      T1/2(hr)

      3.17

      2.52

      2.22

      Cmax(μg/mL)

      34.9

      42.2

      36.7

      AUC(hr・μg/mL)

      148

      120

      119

      20(mg/kg)

      T1/2(hr)

      3.32

      2.70

      2.65

      2.96
      (30min)
      3.99
      (60min)

      2.98
      (30min)
      2.49
      (60min)

      2.25
      (30min)
      1.71
      (60min)

      Cmax(μg/mL)

      68.1

      109.6

      120.0

      AUC(hr・μg/mL)

      256

      222

      226

      -:データなし

      1) 本剤の未熟児・新生児に対する承認用量は、「通常、未熟児・新生児の生後0から3日齢には1回20mg(力価)/kgを1日2~3回、また、生後4日齢以降には1回20mg(力価)/kgを1日3~4回静脈内に注射する。なお、難治性又は重症感染症には、症状に応じて1日量を150mg(力価)/kgまで増量し、2~4回に分割投与する。」である。

    16.3 分布

    1. 16.3.1 血清蛋白結合率

      In vitroでのヒト血清蛋白結合率は約20%であった5)

    2. 16.3.2 体液・組織内移行

      胆石症患者に1g静注した場合の胆汁中濃度は、投与後約2.5時間で平均47.6μg/mL、胆のう壁内濃度は約3時間で平均17.3μg/gであった6)
      また扁桃組織7)、喀痰8)、腹水9)、腹腔内滲出液10)、髄液11)、骨盤死腔液12)、乳癌術後滲出液13)、前立腺14)、子宮、卵巣・卵管12)、羊水、臍帯血15)、中耳粘膜組織・中耳分泌物16)、上顎洞粘膜組織17)等への移行は良好であった。なお乳汁中へもわずかに移行することが認められている18)

    16.5 排泄

    主として腎より排泄され、未変化体のまま大部分が尿中へ排出される。健康成人に1回0.5g、1g静注あるいは1g、2g点滴静注後の尿中排泄率は6時間までに82~85%であった19)

    18. 薬効薬理

    18.1 作用機序

    ペニシリン結合蛋白分画1A、1B、3に対し、高い親和性を示し、細菌の細胞壁合成(細胞壁ペプチドグリカン架橋形成)を阻害する20),21)

    18.2 In vitro抗菌作用

    1. 18.2.1 セフタジジムはグラム陽性菌、陰性菌に幅広い抗菌スペクトラムを有し、特にグラム陰性桿菌の外膜透過性に優れているため、セラチア属及びシュードモナス属、アシネトバクター属等のブドウ糖非発酵グラム陰性桿菌に対し、強い抗菌作用を示す20),22),23)。なお、その他のグラム陰性菌(大腸菌、シトロバクター属、クレブシエラ属、エンテロバクター属、プロテウス属、インフルエンザ菌)、グラム陽性菌(ブドウ球菌属、腸球菌を除くレンサ球菌属、肺炎球菌)、嫌気性菌(ペプトコッカス属、ペプトストレプトコッカス属、バクテロイデス属)にも優れた抗菌力を示す22),24)
    2. 18.2.2 各種細菌の産生するβ-lactamaseに対して安定であり、β-lactamase産生菌にも強い抗菌力を有する22)

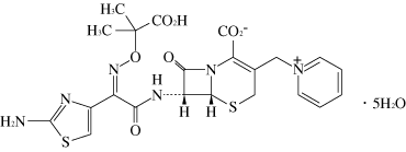
    19. 有効成分に関する理化学的知見

    一般的名称

    セフタジジム水和物(Ceftazidime Hydrate)

    化学名

    (6R,7R)-7-[(Z)-2-(2-Aminothiazol-4-yl)-2-(1-carboxy-1-methylethoxyimino)acetylamino]-3-(pyridinium-1-ylmethyl)-8-oxo-5-thia-1-azabicyclo[4.2.0]oct-2-ene-2-carboxylate pentahydrate

    分子式

    C22H22N6O7S2・5H2O

    分子量

    636.65

    性状

    ・白色~淡黄白色の結晶性の粉末である。
    ・水に溶けにくく、アセトニトリル又はエタノール(95)に極めて溶けにくい。

    化学構造式

    略号

    CAZ

    20. 取扱い上の注意

    外箱開封後は遮光して保存すること。

    22. 包装

    • セフタジジム静注用0.5g「NP」

      0.5g(力価)×10バイアル

    • セフタジジム静注用1g「NP」

      1g(力価)×10バイアル

    23. 主要文献

    1) 厚生労働省健康局結核感染症課編:抗微生物薬適正使用の手引き(L20201195)

    2) Richards DM, et al.:Drugs.1985;29:105-161(L20220755)

    3) 第十八改正日本薬局方解説書. 2021:C-2859-C-2866(L20250024)

    4) 藤井良知ほか:Jpn J Antibiot.1986;39:2048-2067(L20220756)

    5) 奥村和夫ほか:Chemotherapy,31(S-3),188-198(1983)(L20220778)

    6) 花谷勇治ほか:Chemotherapy.1983;31(S-3):683-690(L20220757)

    7) 馬場駿吉ほか:耳鼻と臨床.1988;34:1520-1534(L20220758)

    8) 山口恵三ほか:Chemotherapy.1983;31(S-3):423-433(L20220759)

    9) 中村 孝ほか:Chemotherapy.1983;31(S-3):156-164(L20220760)

    10) 奥沢星二郎ほか:Chemotherapy.1983;31(S-3):673-679(L20220761)

    11) 金 保洙ほか:Jpn J Antibiot.1984;37:363-376(L20220762)

    12) 高瀬善次郎ほか:産婦人科の世界.1984;36:249-263(L20220763)

    13) 花谷勇治ほか:Chemotherapy.1983;31:952-956(L20220764)

    14) 片山泰弘:西日本泌尿器科.1983;45:743-749(L20220765)

    15) 張 南薫ほか:Chemotherapy.1983;31(S-3):772-782(L20220766)

    16) 馬場駿吉ほか:耳鼻と臨床.1989;35:563-579(L20220767)

    17) 馬場駿吉ほか:耳鼻と臨床.1989;35:580-596(L20220768)

    18) 高瀬善次郎ほか:Chemotherapy.1983;31(S-3):802-810(L20220769)

    19) 小山 優ほか:Chemotherapy.1983;31(S-3):146-155(L20220770)

    20) 横田 健ほか:Chemotherapy.1983;31(S-3):17-21(L20220772)

    21) 杉中秀寿ほか:Chemotherapy.1983;31(S-3):119-124(L20220773)

    22) 武田憲三ほか:Chemotherapy.1983;31(S-3):136-145(L20220774)

    23) 小酒井望ほか:Chemotherapy.1983;31(S-3):31-45(L20220775)

    24) 上野一恵ほか:Chemotherapy.1983;31(S-3):69-79(L20220776)

    24. 文献請求先及び問い合わせ先

    ニプロ株式会社 医薬品情報室

    〒566-8510 大阪府摂津市千里丘新町3番26号

    TEL 0120-226-898
    FAX 050-3535-8939

    26. 製造販売業者等

    26.1 製造販売元

    ニプロ株式会社

    大阪府摂津市千里丘新町3番26号

    〒100-0013 東京都千代田区霞が関3-3-2 新霞が関ビル

    画面を閉じる

    Copyright © Pharmaceuticals and Medical Devices Agency, All Rights reserved.