医療用医薬品 詳細表示

クエチアピン錠25mg「日新」/クエチアピン錠100mg「日新」/クエチアピン錠200mg「日新」

処方せん医薬品

添付文書番号
企業コード
作成又は改訂年月
日本標準商品分類番号
薬効分類名
承認等
一般的名称
1.警告
2.禁忌(次の患者には投与しないこと)
3.組成・性状
3.1組成
3.2製剤の性状
4.効能又は効果
6.用法及び用量
7.用法及び用量に関連する注意
8.重要な基本的注意
9.特定の背景を有する患者に関する注意
9.1合併症・既往歴等のある患者
9.3肝機能障害患者
9.5妊婦
9.6授乳婦
9.7小児等
9.8高齢者
10.相互作用
10.1併用禁忌(併用しないこと)
10.2併用注意(併用に注意すること)
11.副作用
11.1重大な副作用
11.2その他の副作用
13.過量投与
14.適用上の注意
15.その他の注意
15.1臨床使用に基づく情報
15.2非臨床試験に基づく情報
16.薬物動態
16.1血中濃度
16.4代謝
16.6特定の背景を有する患者
16.7薬物相互作用
16.8その他
18.薬効薬理
18.1作用機序
19.有効成分に関する理化学的知見
22.包装
23.主要文献
24.文献請求先及び問い合わせ先
26.製造販売業者等

クエチアピン錠25mg「日新」/クエチアピン錠100mg「日新」/クエチアピン錠200mg「日新」

添付文書番号

1179042F1178_2_02

企業コード

530113

作成又は改訂年月

2024年10月改訂(第2版)
2024年1月作成(第1版)

日本標準商品分類番号

871179

薬効分類名

抗精神病剤

承認等

クエチアピン錠25mg「日新」

販売名コード

YJコード

1179042F1178

販売名英語表記

Quetiapine Tablets 25mg “NISSIN”

販売名ひらがな

くえちあぴんじょう25mg「にっしん」

承認番号等

承認番号

22400AMX01082

販売開始年月

2012年12月

貯法・有効期間

貯法

室温保存

有効期間

3年

基準名

日本薬局方

クエチアピンフマル酸塩錠

クエチアピン錠100mg「日新」

販売名コード

YJコード

1179042F2174

販売名英語表記

Quetiapine Tablets 100mg “NISSIN”

販売名ひらがな

くえちあぴんじょう100mg「にっしん」

承認番号等

承認番号

22400AMX01081

販売開始年月

2012年12月

貯法・有効期間

貯法

室温保存

有効期間

3年

基準名

日本薬局方

クエチアピンフマル酸塩錠

クエチアピン錠200mg「日新」

販売名コード

YJコード

1179042F3170

販売名英語表記

Quetiapine Tablets 200mg “NISSIN”

販売名ひらがな

くえちあぴんじょう200mg「にっしん」

承認番号等

承認番号

22400AMX01080

販売開始年月

2012年12月

貯法・有効期間

貯法

室温保存

有効期間

3年

基準名

日本薬局方

クエチアピンフマル酸塩錠

一般的名称

クエチアピンフマル酸塩

1. 警告

  1. 1.1 著しい血糖値の上昇から、糖尿病性ケトアシドーシス、糖尿病性昏睡等の重大な副作用が発現し、死亡に至る場合があるので、本剤投与中は、血糖値の測定等の観察を十分に行うこと。,,,,,
  2. 1.2 投与にあたっては、あらかじめ上記副作用が発現する場合があることを、患者及びその家族に十分に説明し、口渇、多飲、多尿、頻尿等の異常に注意し、このような症状があらわれた場合には、直ちに投与を中断し、医師の診察を受けるよう、指導すること。,,,,

2. 禁忌(次の患者には投与しないこと)

  1. 2.1 昏睡状態の患者[昏睡状態を悪化させるおそれがある。]
  2. 2.2 バルビツール酸誘導体等の中枢神経抑制剤の強い影響下にある患者[中枢神経抑制作用が増強される。]
  3. 2.3 アドレナリンを投与中の患者(アドレナリンをアナフィラキシーの救急治療、又は歯科領域における浸潤麻酔もしくは伝達麻酔に使用する場合を除く),
  4. 2.4 本剤の成分に対し過敏症の既往歴のある患者
  5. 2.5 糖尿病の患者、糖尿病の既往歴のある患者,

3. 組成・性状

3.1 組成

クエチアピン錠25mg「日新」

有効成分1錠中
日本薬局方クエチアピンフマル酸塩   28.78mg
(クエチアピンとして   25mg )
添加剤乳糖水和物、リン酸水素カルシウム水和物、結晶セルロース、デンプングリコール酸ナトリウム、ポビドン、ステアリン酸マグネシウム、ヒプロメロース、マクロゴール、酸化チタン、黄色三二酸化鉄、三二酸化鉄、カルナウバロウ

クエチアピン錠100mg「日新」

有効成分1錠中
日本薬局方クエチアピンフマル酸塩   115.13mg
(クエチアピンとして   100mg )
添加剤乳糖水和物、リン酸水素カルシウム水和物、結晶セルロース、デンプングリコール酸ナトリウム、ポビドン、ステアリン酸マグネシウム、ヒプロメロース、マクロゴール、酸化チタン、黄色三二酸化鉄、カルナウバロウ

クエチアピン錠200mg「日新」

有効成分1錠中
日本薬局方クエチアピンフマル酸塩   230.26mg
(クエチアピンとして   200mg )
添加剤乳糖水和物、リン酸水素カルシウム水和物、結晶セルロース、デンプングリコール酸ナトリウム、ポビドン、ステアリン酸マグネシウム、ヒプロメロース、マクロゴール、酸化チタン、カルナウバロウ

3.2 製剤の性状

クエチアピン錠25mg「日新」

外形
大きさ錠径6.1mm
錠厚3.2mm
重量103mg
識別コードNS 179
性状薄い黄みの赤色のフィルムコーティング錠

クエチアピン錠100mg「日新」

外形
大きさ錠径8.1mm
錠厚4.1mm
重量205mg
識別コードNS 175
性状薄い黄色のフィルムコーティング錠

クエチアピン錠200mg「日新」

外形
大きさ錠径10.1mm
錠厚5.3mm
重量408mg
識別コードNS 176
性状白色のフィルムコーティング錠

4. 効能又は効果

統合失調症

6. 用法及び用量

通常、成人にはクエチアピンとして1回25mg、1日2又は3回より投与を開始し、患者の状態に応じて徐々に増量する。通常、1日投与量は150~600mgとし、2又は3回に分けて経口投与する。なお、投与量は年齢・症状により適宜増減する。ただし、1日量として750mgを超えないこと。

7. 用法及び用量に関連する注意

  1. 7.1 肝機能障害患者には、少量(例えば1回25mg1日1回)から投与を開始し、1日増量幅を25~50mgにするなど患者の状態を観察しながら慎重に投与すること。,
  2. 7.2 高齢者には、少量(例えば1回25mg1日1回)から投与を開始し、1日増量幅を25~50mgにするなど患者の状態を観察しながら慎重に投与すること。,

8. 重要な基本的注意

  1. 8.1 本剤の投与により、著しい血糖値の上昇から、糖尿病性ケトアシドーシス、糖尿病性昏睡等の致命的な経過をたどることがあるので、本剤投与中は、血糖値の測定や口渇、多飲、多尿、頻尿等の観察を十分に行うこと。特に、高血糖、肥満等の糖尿病の危険因子を有する患者では、血糖値が上昇し、代謝状態を急激に悪化させるおそれがある。,,,,
  2. 8.2 本剤の投与により、低血糖があらわれることがあるので、本剤投与中は、脱力感、倦怠感、冷汗、振戦、傾眠、意識障害等の低血糖症状に注意するとともに、血糖値の測定等の観察を十分に行うこと。,
  3. 8.3 本剤の投与に際し、あらかじめ上記8.1及び8.2の副作用が発現する場合があることを、患者及びその家族に十分に説明し、高血糖症状(口渇、多飲、多尿、頻尿等)、低血糖症状(脱力感、倦怠感、冷汗、振戦、傾眠、意識障害等)に注意し、このような症状があらわれた場合には、直ちに投与を中断し、医師の診察を受けるよう、指導すること。,,,,,,
  4. 8.4 本剤の投与により体重増加を来すことがあるので、肥満に注意し、肥満の徴候があらわれた場合は、食事療法、運動療法等の適切な処置を行うこと。
  5. 8.5 本剤は、特に治療開始初期に起立性低血圧を起こすことがあるので、立ちくらみ、めまい等の低血圧症状があらわれた場合には減量等、適切な処置を行うこと。,
  6. 8.6 本剤は主として中枢神経系に作用するため、眠気、注意力・集中力・反射運動能力等の低下が起こることがあるので、本剤投与中の患者には自動車の運転等危険を伴う機械の操作に従事させないように注意すること。
  7. 8.7 前治療薬からの切り替えの際、精神症状が悪化する可能性があるので観察を十分行いながら前治療薬の用量を減らしつつ、本薬を徐々に増量することが望ましい。また、症状の悪化が認められた場合には、他の治療法に切り替えるなど適切な処置を行うこと。
  8. 8.8 投与量の急激な減少ないし投与の中止により、不眠、悪心、頭痛、下痢、嘔吐等の離脱症状があらわれることがある。投与を中止する場合には、徐々に減量するなど慎重に行うこと。
  9. 8.9 無顆粒球症、白血球減少があらわれることがあるので、血液検査を行うなど、観察を十分に行い、異常が認められた場合には投与を中止するなど適切な処置を行うこと。

9. 特定の背景を有する患者に関する注意

9.1 合併症・既往歴等のある患者

  1. 9.1.1 心・血管疾患、脳血管障害、低血圧又はそれらの疑いのある患者

    投与初期に一過性の血圧降下があらわれることがある。,

  2. 9.1.2 てんかん等の痙攣性疾患、又はこれらの既往歴のある患者

    痙攣閾値を低下させるおそれがある。

  3. 9.1.3 不整脈又はその既往歴のある患者、先天性QT延長症候群の患者

    QT間隔が延長する可能性がある。

  4. 9.1.4 自殺企図の既往及び自殺念慮を有する患者

    症状を悪化させるおそれがある。

  5. 9.1.5 糖尿病の家族歴、高血糖あるいは肥満等の糖尿病の危険因子を有する患者

    ,,,,

  6. 9.1.6 不動状態、長期臥床、肥満、脱水状態等の危険因子を有する患者

    肺塞栓症、静脈血栓症等の血栓塞栓症が報告されている。

9.3 肝機能障害患者

本剤は主に肝臓により代謝されるため、クリアランスが減少し、血漿中濃度が上昇することがある。,

9.5 妊婦

妊婦又は妊娠している可能性のある女性には、治療上の有益性が危険性を上回ると判断される場合にのみ投与すること。動物実験(ラット及びウサギ)で胎児への移行が報告されている。また、妊娠後期に抗精神病薬が投与されている場合、新生児に哺乳障害、傾眠、呼吸障害、振戦、筋緊張低下、易刺激性等の離脱症状や錐体外路症状があらわれたとの報告がある。

9.6 授乳婦

治療上の有益性及び母乳栄養の有益性を考慮し、授乳の継続又は中止を検討すること。ヒトで母乳中へ移行することが報告されている。

9.7 小児等

小児等を対象とした有効性及び安全性を指標とした臨床試験は実施していない。

9.8 高齢者

非高齢者に比べてクエチアピンの経口クリアランスが30~50%低く、AUCは約1.5倍であり、高い血漿中濃度が持続する傾向が認められている。また、海外臨床試験において非高齢者と比較し、起立性低血圧の発現頻度が増加する傾向が認められている。,,,

10. 相互作用

  • 本剤の代謝に関与する主なP450酵素はCYP3A4である。

10.1 併用禁忌(併用しないこと)

薬剤名等臨床症状・措置方法機序・危険因子
  • アドレナリン
    (アナフィラキシーの救急治療、又は歯科領域における浸潤麻酔もしくは伝達麻酔に使用する場合を除く)
  • (ボスミン)
  • ,

アドレナリンの作用を逆転させ、重篤な血圧降下を起こすことがある。

アドレナリンはアドレナリン作動性α、β-受容体の刺激剤であり、本剤のα-受容体遮断作用により、β-受容体の刺激作用が優位となり、血圧降下作用が増強される。

10.2 併用注意(併用に注意すること)

薬剤名等臨床症状・措置方法機序・危険因子
  • 中枢神経抑制剤
  • アルコール

中枢神経抑制作用が増強することがあるので、個々の患者の症状及び忍容性に注意し、慎重に投与すること。

薬力学的相互作用を起こすことがある。

  • CYP3A4誘導作用を有する薬剤1)
    • フェニトイン
    • カルバマゼピン
    • バルビツール酸誘導体
    • リファンピシン

本剤の作用が減弱することがある。

本剤の主要代謝酵素であるCYP3A4の誘導により、本剤のクリアランスが増加することがある。

  • 強いCYP3A4阻害作用を有する薬剤
    • イトラコナゾール

本剤の作用を増強するおそれがあるので、個々の患者の症状及び忍容性に注意し、本剤を減量するなどして慎重に投与すること。
併用により本剤の血漿中濃度が高値となり、QT間隔が延長するおそれがある。

本剤の主要代謝酵素であるCYP3A4を強く阻害するため、血漿中濃度が上昇する可能性がある。

  • CYP3A4阻害作用を有する薬剤
    • エリスロマイシン

本剤の作用を増強するおそれがあるので、個々の患者の症状及び忍容性に注意し、慎重に投与すること。

本剤の主要代謝酵素であるCYP3A4を阻害するため、血漿中濃度が上昇する可能性がある。

  • QT延長を起こすことが知られている薬剤

QT延長があらわれるおそれがある。

併用によりQT延長作用が相加的に増加するおそれがある。

アドレナリン含有歯科麻酔剤

  • リドカイン・アドレナリン

重篤な血圧降下を起こすことがある。

アドレナリンはアドレナリン作動性α、β-受容体の刺激剤であり、本剤のα-受容体遮断作用により、β-受容体の刺激作用が優位となり、血圧降下作用が増強されるおそれがある。

1) これらの薬剤を投与中止する場合には、本剤の減量を要することがある。

11. 副作用

次の副作用があらわれることがあるので、観察を十分に行い、異常が認められた場合には投与を中止するなど適切な処置を行うこと。

11.1 重大な副作用

  1. 11.1.1 高血糖、糖尿病性ケトアシドーシス、糖尿病性昏睡(いずれも頻度不明)

    死亡に至るなどの致命的な経過をたどることがあるので、血糖値の測定や、口渇、多飲、多尿、頻尿等の観察を十分に行い、異常が認められた場合には、投与を中止し、インスリン製剤の投与を行うなど、適切な処置を行うこと。,,,,,

  2. 11.1.2 低血糖(頻度不明)

    脱力感、倦怠感、冷汗、振戦、傾眠、意識障害等の低血糖症状が認められた場合には、投与を中止し適切な処置を行うこと。,

  3. 11.1.3 悪性症候群(Syndrome malin)(0.2%)

    無動緘黙、強度の筋強剛、嚥下困難、頻脈、血圧の変動、発汗等が発現し、それにひきつづき発熱がみられる場合は、投与を中止し、体冷却、水分補給等の全身管理とともに適切な処置を行うこと。本症発症時には、白血球の増加やCKの上昇がみられることが多く、また、ミオグロビン尿を伴う腎機能低下がみられることがある。
    なお、高熱が持続し、意識障害、呼吸困難、循環虚脱、脱水症状、急性腎障害へと移行し、死亡した例が報告されている。

  4. 11.1.4 横紋筋融解症(頻度不明)

    筋肉痛、脱力感、CK上昇、血中及び尿中ミオグロビン上昇等が認められた場合には投与を中止し、適切な処置を行うこと。横紋筋融解症による急性腎障害の発症に注意すること。

  5. 11.1.5 痙攣(頻度不明)
  6. 11.1.6 無顆粒球症、白血球減少(いずれも頻度不明)

  7. 11.1.7 肝機能障害、黄疸(いずれも頻度不明)

    AST、ALT、γ-GTP、Al-Pの上昇等を伴う肝機能障害、黄疸があらわれることがある。

  8. 11.1.8 麻痺性イレウス(頻度不明)

    腸管麻痺(食欲不振、悪心・嘔吐、著しい便秘、腹部の膨満あるいは弛緩及び腸内容物のうっ滞等の症状)を来し、麻痺性イレウスに移行することがあるので、腸管麻痺があらわれた場合には、投与を中止するなど適切な処置を行うこと。

  9. 11.1.9 遅発性ジスキネジア(0.9%)

    口周部等の不随意運動があらわれ、投与中止後も持続することがある。

  10. 11.1.10 肺塞栓症、深部静脈血栓症(いずれも頻度不明)

    肺塞栓症、静脈血栓症等の血栓塞栓症が報告されているので、息切れ、胸痛、四肢の疼痛、浮腫等が認められた場合には、投与を中止するなど適切な処置を行うこと。

  11. 11.1.11 中毒性表皮壊死融解症(Toxic Epidermal Necrolysis:TEN)、皮膚粘膜眼症候群(Stevens-Johnson症候群)、多形紅斑(いずれも頻度不明)

11.2 その他の副作用

5%以上

1~5%未満

1%未満

頻度不明

精神神経系

不眠(19.3%)、易刺激性、傾眠(14.2%)、不安、頭痛、めまい

幻覚の顕在化、健忘、攻撃的反応、昏迷、神経症、妄想の顕在化、リビドー亢進、感情不安定、激越、錯乱、思考異常、自殺企図、人格障害、躁病反応、多幸症、舞踏病様アテトーシス、片頭痛、悪夢、うつ病、独語、衝動行為、自動症

統合失調性反応、協調不能、レストレスレッグス症候群、軽躁、注意力障害、過眠症、自殺念慮、自傷行動、焦躁感、鎮静、意識レベルの低下、せん妄、敵意

錐体外路症状

アカシジア、振戦、構音障害

筋強剛、流涎過多、運動緩慢、歩行障害、ジスキネジア、嚥下障害

ジストニア、眼球回転発作

構語障害、錐体外路障害、パーキンソン症候群

血液

顆粒球減少

白血球数増加、好酸球増加症、貧血、血小板減少

循環器系

頻脈

起立性低血圧、心悸亢進、心電図異常

低血圧、高血圧、徐脈、不整脈、失神

血管拡張、動悸、心電図QT延長

肝臓

AST上昇、ALT上昇、LDH上昇

Al-P上昇、γ-GTP上昇

ビリルビン血症

肝機能検査異常

呼吸器系

去痰困難、鼻炎

咳増加、鼻閉

消化器系

便秘、食欲減退

悪心

食欲亢進、嘔吐、腹痛、下痢、消化不良

鼓腸放屁、消化管障害、吐血、直腸障害、過食、腹部膨満、胃食道逆流性疾患、膵炎、胃炎、胃不快感

瞳孔反射障害

弱視、結膜炎

代謝・内分泌

高プロラクチン血症、T4減少

高コレステロール血症

月経異常、甲状腺疾患、高脂血症、高カリウム血症、肥満症

T3減少、痛風、低ナトリウム血症、水中毒、多飲症、TSH減少、TSH上昇、高トリグリセリド血症、高尿酸血症、尿糖陽性、FT4減少、乳汁漏出症

過敏症

発疹

血管浮腫、そう痒、湿疹

泌尿器系

排尿障害、排尿困難、尿失禁、尿閉、BUN上昇

持続勃起、射精異常、インポテンス、頻尿、膀胱炎、尿蛋白陽性

その他

倦怠感、無力症、CK上昇

口内乾燥、体重増加

多汗、発熱、体重減少、胸痛、筋肉痛、舌麻痺、しびれ感、背部痛、浮腫、ほてり、歯痛

顔面浮腫、頸部硬直、腫瘤、過量投与、骨盤痛、歯牙障害、関節症、滑液包炎、筋無力症、痙縮、悪化反応、偶発外傷、耳の障害、味覚倒錯、ざ瘡、脱毛症、薬剤離脱症候群(不眠、悪心、頭痛、下痢、嘔吐)、口渇、回転性めまい、悪寒、靭帯捻挫、意欲低下、末梢性浮腫、関節痛

13. 過量投与

  1. 13.1 症状

    主な症状は傾眠、鎮静、頻脈、低血圧等である。まれに昏睡、死亡に至る症例が報告されている。

  2. 13.2 処置

    低血圧の処置を行う場合、アドレナリン、ドパミンは、本剤のα-受容体遮断作用により低血圧を悪化させる可能性があるので投与しないこと。,

14. 適用上の注意

14.1 薬剤交付時の注意

PTP包装の薬剤はPTPシートから取り出して服用するよう指導すること。PTPシートの誤飲により、硬い鋭角部が食道粘膜へ刺入し、更には穿孔をおこして縦隔洞炎等の重篤な合併症を併発することがある。

15. その他の注意

15.1 臨床使用に基づく情報

  1. 15.1.1 本剤による治療中、原因不明の突然死が報告されている。
  2. 15.1.2 国内臨床試験において、本剤と因果関係が不明の心筋梗塞、出血性胃潰瘍が報告されている。また、申請時に用いた外国長期投与試験において、急性腎障害が報告されている。
  3. 15.1.3 *外国で実施された高齢認知症患者を対象とした17の臨床試験において、本剤を含む非定型抗精神病薬投与群はプラセボ投与群と比較して死亡率が1.6~1.7倍高かったとの報告がある。また、外国での疫学調査において、定型抗精神病薬も非定型抗精神病薬と同様に死亡率の上昇に関与するとの報告がある。

15.2 非臨床試験に基づく情報

  1. 15.2.1 イヌで長期大量(100mg/kg/日を6及び12カ月間)経口投与により、コレステロール合成阻害によると考えられる三角状後白内障が認められた。しかし、カニクイザル(最大225mg/kg/日を56週間)及びげっ歯類に投与しても白内障は認められなかった。また、臨床試験においても、本剤と関連した角膜混濁は認められなかった。
  2. 15.2.2 ラットに24カ月間経口投与したがん原性試験において、20mg/kg/日以上の雌の投与群で乳腺腫瘍の発現頻度の上昇が報告されている。これらの腫瘍の所見は、げっ歯類においてプロラクチンと関連した所見として報告されているが1)、ヒトではプロラクチン濃度の上昇と腫瘍形成の関連性は明確にされていない。

16. 薬物動態

16.1 血中濃度

  1. 16.1.1 反復投与(錠剤投与時)
  • (1)統合失調症患者にクエチアピンを1回用量25~100mgの範囲で漸増して1日2回反復経口投与した。100mgの用量で7回反復投与した後の血漿中クエチアピンの薬物動態パラメータは表1のとおりである2)
    非高齢者では、投与約2.6時間後に最高血漿中濃度(平均397ng/mL)に達した。血漿中からのクエチアピンの消失は速やかであり、半減期は3.5時間であった。
  • 表1 統合失調症患者にクエチアピン100mgを1日2回反復投与時の薬物動態パラメータ

    n

    Cmax
    (ng/mL)

    Tmax
    (h)

    AUC0-12h
    (μg・h/mL)

    t1/2
    (h)

    CL/F
    (L/h)

    非高齢者

    12

    397±57

    2.6±0.7

    1.69±0.19

    3.5±0.2

    67.1±7.1

    高齢者

    11

    483±96

    2.9±0.3

    2.59±0.54

    3.6±0.3

    50.9±6.7

    (平均値±標準誤差)

  • (2)外国人統合失調症患者にクエチアピンを1回用量25~250mgの範囲で漸増して1日3回反復経口投与した。1回用量を75mg、150mg及び250mgとしたときの定常状態における薬物動態パラメータは表2のとおりである。血漿中クエチアピン濃度は用量に比例して増加し、男女差は認められなかった3)
  • 表2 外国人統合失調症患者にクエチアピンを1日3回反復投与したときの定常状態における薬物動態パラメータ

    用量

    Cmax
    (ng/mL)

    Tmax
    (h)a)

    AUC0-8h
    (μg・h/mL)

    t1/2
    (h)

    CL/F
    (L/h)

    75mg tid


    277± 54
    294± 41

    1.0(0.5-3.0)
    1.0(0.5-3.0)

    1.07±0.19
    1.20±0.17

    2.7±0.1b)
    3.4±0.3b)

    89±12
    86±16

    150mg tid


    625±121
    572± 63

    1.0(0.5-4.0)
    1.5(0.5-4.0)

    2.30±0.33
    2.41±0.34

    3.0±0.3b)
    4.4±0.8b)

    78±10
    73±8

    250mg tid


    778±108
    879±72

    1.5(0.5-4.0)
    1.5(1.0-3.0)

    3.38±0.46
    4.08±0.53

    5.8±0.3c)
    6.6±0.8c)

    87±10
    72±9

    (平均値±標準誤差、n=11~13)

    a)中央値(範囲)、b)投与後3~8時間の半減期、c)終末相の半減期

  1. 16.1.2 生物学的同等性試験
  • 〈クエチアピン錠25mg「日新」〉
  • クエチアピン錠25mg「日新」とセロクエル25mg錠を、クロスオーバー法によりそれぞれ1錠(クエチアピンとして25mg)健康成人男子に絶食時単回経口投与して血漿中未変化体濃度を測定し、得られた薬物動態パラメータ(AUC、Cmax)について90%信頼区間法にて統計解析を行った結果、log(0.80)~log(1.25)の範囲内であり、両製剤の生物学的同等性が確認された4)
  • 表3 薬物動態パラメータ(生物学的同等性、錠25mg)

    判定パラメータ

    参考パラメータ

    AUC0-24
    (ng・hr/mL)

    Cmax
    (ng/mL)

    Tmax
    (hr)

    T1/2
    (hr)

    クエチアピン錠
    25mg「日新」

    197.83±92.96

    69.23±42.43

    0.9±0.3

    3.0±0.5

    セロクエル25mg錠

    196.22±77.64

    63.63±31.15

    1.0±0.4

    3.2±0.5

    (Mean±S.D.,n=19)

  • 図1 血漿中濃度(生物学的同等性、錠25mg)
    血漿中濃度並びにAUC、Cmax等のパラメータは、被験者の選択、体液の採取回数・時間等の試験条件によって異なる可能性がある。
  • 〈クエチアピン錠100mg「日新」〉
  • クエチアピン錠100mg「日新」とセロクエル100mg錠を、クロスオーバー法によりそれぞれ1錠(クエチアピンとして100mg)健康成人男子に絶食時単回経口投与して血漿中未変化体濃度を測定し、得られた薬物動態パラメータ(AUC、Cmax)について90%信頼区間法にて統計解析を行った結果、log(0.80)~log(1.25)の範囲内であり、両製剤の生物学的同等性が確認された5)
    表4 薬物動態パラメータ(生物学的同等性、錠100mg)

    判定パラメータ

    参考パラメータ

    AUC0-24
    (ng・hr/mL)

    Cmax
    (ng/mL)

    Tmax
    (hr)

    T1/2
    (hr)

    クエチアピン錠
    100mg「日新」

    826.28±367.87

    267.96±132.48

    1.2±0.9

    3.7±0.8

    セロクエル100mg錠

    813.32±346.46

    272.21±155.67

    0.9±0.3

    3.6±0.8

    (Mean±S.D.,n=24)

  • 図2 血漿中濃度(生物学的同等性、錠100mg)
    血漿中濃度並びにAUC、Cmax等のパラメータは、被験者の選択、体液の採取回数・時間等の試験条件によって異なる可能性がある。

16.4 代謝

  1. 16.4.1 クエチアピンは複数の経路で広範囲に代謝され、クエチアピンの代謝に関与する主なP450酵素はCYP3A4であった6)in vitro)。

16.6 特定の背景を有する患者

  1. 16.6.1 肝機能障害患者

    肝機能障害患者(アルコール性肝硬変)にクエチアピン25mgを単回経口投与したところ、クエチアピンのCmax及びAUCinfは健康成人よりも高く(約1.5倍)、t1/2は健康成人よりも長かった(約1.8倍)7) (外国人データ)。(錠剤投与時のデータ),

    表5 外国人肝機能障害患者にクエチアピン25mgを単回投与したときの薬物動態パラメータ

    被験者

    Cmax
    (ng/mL)

    Tmax
    (h)a)

    AUCinf
    (μg・h/mL)

    t1/2
    (h)

    CL/F
    (L/h)

    肝機能障害患者

    78.5±14.4

    1.0(0.5-1.5)

    0.386±0.077

    5.5±1.0

    79.4±10.7

    健康成人

    53.0± 3.5

    1.25(0.6-3.0)

    0.248±0.020

    3.1±0.2

    105±8

    (平均値±標準誤差、n=8)

    a)中央値(範囲)

  2. 16.6.2 高齢者

    高齢者における血漿中濃度は非高齢者よりも高く推移し、高齢者のAUC0-12h(平均2.59μg・h/mL)は非高齢者(平均1.69μg・h/mL)の約1.5倍であった8),,

16.7 薬物相互作用

  1. 16.7.1 フェニトイン(CYP3A誘導剤)

    外国人におけるフェニトイン併用投与例において、クエチアピンの経口クリアランスが約5倍に増加し、Cmax及びAUCはそれぞれ66%及び80%低下した9)

  2. 16.7.2 ケトコナゾール(CYP3Aの強い阻害剤)

    外国人に強いCYP3A4阻害剤であるケトコナゾール(経口剤:国内未発売)を併用投与したとき、クエチアピンのCmax及びAUCはそれぞれ単独投与の3.35倍及び6.22倍であった9)

16.8 その他

  • 〈クエチアピン錠200mg「日新」〉

    クエチアピン錠200mg「日新」は、「含量が異なる経口固形製剤の生物学的同等性試験ガイドライン(平成18年11月24日 薬食審査発第1124004号)」に基づき、クエチアピン錠100mg「日新」を標準製剤としたとき、溶出挙動が同等と判断され、生物学的に同等とみなされた10)

18. 薬効薬理

18.1 作用機序

クエチアピンフマル酸塩はセロトニン・ドパミン受容体遮断薬である。定型抗精神病薬と同じくD2受容体拮抗作用をあらわすと共に、陰性症状に関与すると考えられるセロトニン5-HT2A受容体拮抗作用が加わることで、陰性症状にも効果を示す。非定型抗精神病薬とも呼ぶ11)

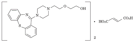
19. 有効成分に関する理化学的知見

一般的名称

クエチアピンフマル酸塩(Quetiapine Fumarate)

化学名

2-[2-(4-Dibenzo[b,f][1,4]thiazepin-11-ylpiperazin-1-yl)ethoxy]ethanol hemifumarate

分子式

(C21H25N3O2S)2・C4H4O4

分子量

883.09

性状

白色の粉末である。メタノールにやや溶けにくく、水又はエタノール(99.5)に溶けにくい。

化学構造式

22. 包装

  • 〈クエチアピン錠25mg「日新」〉

    100錠[10錠(PTP)×10]
    500錠[バラ]

  • 〈クエチアピン錠100mg「日新」〉

    100錠[10錠(PTP)×10]
    500錠[バラ]

  • 〈クエチアピン錠200mg「日新」〉

    100錠[10錠(PTP)×10]

24. 文献請求先及び問い合わせ先

共創未来ファーマ株式会社 お客様相談室

*〒155-8655 東京都世田谷区代沢4-43-11

TEL 050-3383-3846

26. 製造販売業者等

26.1 製造販売元

日新製薬株式会社

山形県天童市清池東二丁目3番1号

26.2 販売元

共創未来ファーマ株式会社

東京都品川区広町1-4-4

〒100-0013 東京都千代田区霞が関3-3-2 新霞が関ビル

画面を閉じる

Copyright © Pharmaceuticals and Medical Devices Agency, All Rights reserved.