医療用医薬品 詳細表示

メマンチン塩酸塩OD錠5mg「日新」/メマンチン塩酸塩OD錠10mg「日新」/メマンチン塩酸塩OD錠15mg「日新」/メマンチン塩酸塩OD錠20mg「日新」

処方せん医薬品

添付文書番号
企業コード
作成又は改訂年月
日本標準商品分類番号
薬効分類名
承認等
一般的名称
2.禁忌(次の患者には投与しないこと)
3.組成・性状
3.1組成
3.2製剤の性状
4.効能又は効果
5.効能又は効果に関連する注意
6.用法及び用量
7.用法及び用量に関連する注意
8.重要な基本的注意
9.特定の背景を有する患者に関する注意
9.1合併症・既往歴等のある患者
9.2腎機能障害患者
9.3肝機能障害患者
9.5妊婦
9.6授乳婦
9.7小児等
10.相互作用
10.2併用注意(併用に注意すること)
11.副作用
11.1重大な副作用
11.2その他の副作用
13.過量投与
14.適用上の注意
15.その他の注意
15.2非臨床試験に基づく情報
16.薬物動態
16.1血中濃度
16.3分布
16.5排泄
16.6特定の背景を有する患者
16.7薬物相互作用
16.8その他
18.薬効薬理
18.1作用機序
19.有効成分に関する理化学的知見
20.取扱い上の注意
22.包装
23.主要文献
24.文献請求先及び問い合わせ先
26.製造販売業者等

メマンチン塩酸塩OD錠5mg「日新」/メマンチン塩酸塩OD錠10mg「日新」/メマンチン塩酸塩OD錠15mg「日新」/メマンチン塩酸塩OD錠20mg「日新」

添付文書番号

1190018F4219_1_03

企業コード

530113

作成又は改訂年月

2024年1月改訂(第1版)

日本標準商品分類番号

87119

薬効分類名

NMDA受容体拮抗 アルツハイマー型認知症治療剤

承認等

メマンチン塩酸塩OD錠5mg「日新」

販売名コード

YJコード

1190018F4219

販売名英語表記

Memantine Hydrochloride OD Tablets 5mg “NISSIN”

販売名ひらがな

めまんちんえんさんえんODじょう5mg「にっしん」

承認番号等

承認番号

30200AMX00079

販売開始年月

2020年6月

貯法・有効期間

貯法

室温保存

有効期間

3年

メマンチン塩酸塩OD錠10mg「日新」

販売名コード

YJコード

1190018F5215

販売名英語表記

Memantine Hydrochloride OD Tablets 10mg “NISSIN”

販売名ひらがな

めまんちんえんさんえんODじょう10mg「にっしん」

承認番号等

承認番号

30200AMX00080

販売開始年月

2020年6月

貯法・有効期間

貯法

室温保存

有効期間

3年

メマンチン塩酸塩OD錠15mg「日新」

販売名コード

YJコード

1190018F7064

販売名英語表記

Memantine Hydrochloride OD Tablets 15mg “NISSIN”

販売名ひらがな

めまんちんえんさんえんODじょう15mg「にっしん」

承認番号等

承認番号

30200AMX00081

販売開始年月

2020年6月

貯法・有効期間

貯法

室温保存

有効期間

3年

メマンチン塩酸塩OD錠20mg「日新」

販売名コード

YJコード

1190018F6211

販売名英語表記

Memantine Hydrochloride OD Tablets 20mg “NISSIN”

販売名ひらがな

めまんちんえんさんえんODじょう20mg「にっしん」

承認番号等

承認番号

30200AMX00082

販売開始年月

2020年6月

貯法・有効期間

貯法

室温保存

有効期間

3年

一般的名称

メマンチン塩酸塩

2. 禁忌(次の患者には投与しないこと)

本剤の成分に対し過敏症の既往歴のある患者

3. 組成・性状

3.1 組成

メマンチン塩酸塩OD錠5mg「日新」

有効成分1錠中
メマンチン塩酸塩   5mg
添加剤D-マンニトール、ヒドロキシプロピルセルロース、メタクリル酸コポリマーLD、ラウリル硫酸ナトリウム、ポリソルベート80、クエン酸トリエチル、タルク、アスパルテーム(L-フェニルアラニン化合物)、ステアリン酸マグネシウム、三二酸化鉄、軽質無水ケイ酸、メタケイ酸アルミン酸マグネシウム、その他3成分

メマンチン塩酸塩OD錠10mg「日新」

有効成分1錠中
メマンチン塩酸塩   10mg
添加剤D-マンニトール、ヒドロキシプロピルセルロース、メタクリル酸コポリマーLD、ラウリル硫酸ナトリウム、ポリソルベート80、クエン酸トリエチル、タルク、アスパルテーム(L-フェニルアラニン化合物)、ステアリン酸マグネシウム、黄色三二酸化鉄、軽質無水ケイ酸、メタケイ酸アルミン酸マグネシウム、その他3成分

メマンチン塩酸塩OD錠15mg「日新」

有効成分1錠中
メマンチン塩酸塩   15mg
添加剤D-マンニトール、ヒドロキシプロピルセルロース、メタクリル酸コポリマーLD、ラウリル硫酸ナトリウム、ポリソルベート80、クエン酸トリエチル、タルク、アスパルテーム(L-フェニルアラニン化合物)、ステアリン酸マグネシウム、軽質無水ケイ酸、メタケイ酸アルミン酸マグネシウム、その他3成分

メマンチン塩酸塩OD錠20mg「日新」

有効成分1錠中
メマンチン塩酸塩   20mg
添加剤D-マンニトール、ヒドロキシプロピルセルロース、メタクリル酸コポリマーLD、ラウリル硫酸ナトリウム、ポリソルベート80、クエン酸トリエチル、タルク、アスパルテーム(L-フェニルアラニン化合物)、ステアリン酸マグネシウム、軽質無水ケイ酸、メタケイ酸アルミン酸マグネシウム、その他3成分

3.2 製剤の性状

メマンチン塩酸塩OD錠5mg「日新」

外形
大きさ錠径6.1mm
錠厚3.2mm
重量77mg
性状淡赤白色の素錠
本体表示表面メマンチン OD5
裏面メマンチン NS5

メマンチン塩酸塩OD錠10mg「日新」

外形
大きさ錠径7.6mm
錠厚3.6mm
重量150mg
性状淡黄白色の素錠
本体表示表面メマンチン OD10 NS
裏面メマンチン OD10 NS

メマンチン塩酸塩OD錠15mg「日新」

外形
大きさ錠径8.1mm
錠厚4.5mm
重量210mg
性状白色~微黄白色の素錠
本体表示表面メマンチン OD15 NS
裏面メマンチン OD15 NS

メマンチン塩酸塩OD錠20mg「日新」

外形
大きさ錠径9.1mm
錠厚4.9mm
重量280mg
性状白色~微黄白色の割線入りの素錠
本体表示表面メマンチン OD20 NS
裏面メマンチン OD20 NS

4. 効能又は効果

中等度及び高度アルツハイマー型認知症における認知症症状の進行抑制

5. 効能又は効果に関連する注意

  1. 5.1 アルツハイマー型認知症と診断された患者にのみ使用すること。
  2. 5.2 本剤がアルツハイマー型認知症の病態そのものの進行を抑制するという成績は得られていない。
  3. 5.3 アルツハイマー型認知症以外の認知症性疾患において本剤の有効性は確認されていない。
  4. 5.4 他の認知症性疾患との鑑別診断に留意すること。

6. 用法及び用量

通常、成人にはメマンチン塩酸塩として1日1回5mgから開始し、1週間に5mgずつ増量し、維持量として1日1回20mgを経口投与する。

7. 用法及び用量に関連する注意

  1. 7.1 1日1回5mgからの漸増投与は、副作用の発現を抑える目的であるので、維持量まで増量すること。
  2. 7.2 高度の腎機能障害(クレアチニンクリアランス値:30mL/min未満)のある患者には、患者の状態を観察しながら慎重に投与し、維持量は1日1回10mgとすること。,
  3. 7.3 医療従事者、家族等の管理の下で投与すること。

8. 重要な基本的注意

  1. 8.1 投与開始初期においてめまい、傾眠が認められることがある。また、これらの症状により転倒等を伴うことがあるため、十分に注意すること。
  2. 8.2 通常、中等度及び高度アルツハイマー型認知症では、自動車の運転等危険を伴う機械の操作能力が低下することがある。また、本剤により、めまい、傾眠等があらわれることがあるので、本剤投与中の患者には自動車の運転等危険を伴う機械の操作に従事させないよう注意すること。
  3. 8.3 本剤投与により効果が認められない場合、漫然と投与しないこと。

9. 特定の背景を有する患者に関する注意

9.1 合併症・既往歴等のある患者

  1. 9.1.1 てんかん又は痙攣の既往のある患者

    発作を誘発又は悪化させることがある。

  2. 9.1.2 尿pHを上昇させる因子(尿細管性アシドーシス、重症の尿路感染等)を有する患者

    尿のアルカリ化により本剤の尿中排泄率が低下し、本剤の血中濃度が上昇するおそれがある。,

9.2 腎機能障害患者

本剤は腎排泄型の薬剤であり、排泄が遅延する。

  1. 9.2.1 高度の腎機能障害(クレアチニンクリアランス値:30mL/min未満)のある患者

9.3 肝機能障害患者

  1. 9.3.1 高度の肝機能障害(Child-Pugh分類C)のある患者

    臨床試験では除外されている。

9.5 妊婦

妊婦又は妊娠している可能性のある女性には、治療上の有益性が危険性を上回ると判断される場合にのみ投与すること。動物実験(ウサギ)で胎児への移行が認められている。また、動物実験(ラット)で胎児及び出生児の体重増加抑制が認められている。

9.6 授乳婦

治療上の有益性及び母乳栄養の有益性を考慮し、授乳の継続又は中止を検討すること。動物実験(ラット)で、乳汁中への移行が認められている。

9.7 小児等

小児等を対象とした臨床試験は実施していない。

10. 相互作用

    10.2 併用注意(併用に注意すること)

    薬剤名等臨床症状・措置方法機序・危険因子

    ドパミン作動薬

    • レボドパ等

    ドパミン作動薬の作用を増強させるおそれがある。

    本剤のNMDA(N-メチル-D-アスパラギン酸)受容体拮抗作用が、ドパミン遊離を促進させる可能性がある。

    ヒドロクロロチアジド

    ヒドロクロロチアジドの血中濃度を低下させる。

    機序は不明である。

    腎尿細管分泌(カチオン輸送系)により排泄される薬剤

    • シメチジン等

    本剤の血中濃度が上昇するおそれがある。

    本剤は一部が尿細管分泌(カチオン輸送系)により排泄されるため、同じ輸送系を介する薬剤と競合する可能性がある。

    尿アルカリ化を起こす薬剤1)

    • アセタゾラミド等

    ,

    本剤の血中濃度が上昇するおそれがある。

    尿のアルカリ化により、本剤の尿中排泄率が低下するため。

    NMDA受容体拮抗作用を有する薬剤

    • アマンタジン塩酸塩、
      デキストロメトルファン臭化水素酸塩水和物等

    相互に作用を増強させるおそれがある。

    両薬剤ともNMDA受容体拮抗作用を有するため。

    11. 副作用

    次の副作用があらわれることがあるので、観察を十分に行い、異常が認められた場合には投与を中止するなど適切な処置を行うこと。

    11.1 重大な副作用

    1. 11.1.1 痙攣(0.3%)
    2. 11.1.2 失神(頻度不明)、意識消失(頻度不明)
    3. 11.1.3 精神症状

      激越(0.2%)、攻撃性(0.1%)、妄想(0.1%)、幻覚(頻度不明)、錯乱(頻度不明)、せん妄(頻度不明)等があらわれることがある。

    4. 11.1.4 肝機能障害(頻度不明)、黄疸(頻度不明)

      AST、ALT、ALP、ビリルビン等の上昇を伴う肝機能障害があらわれることがある。

    5. 11.1.5 横紋筋融解症(頻度不明)

      筋肉痛、脱力感、CK上昇、血中及び尿中ミオグロビン上昇等があらわれることがある。また、横紋筋融解症による急性腎障害の発症に注意すること。

    6. 11.1.6 完全房室ブロック、高度な洞徐脈等の徐脈性不整脈(頻度不明)

    11.2 その他の副作用

    1~5%未満

    1%未満

    頻度不明

    過敏症

    発疹

    顔面浮腫、眼瞼浮腫

    精神神経系

    めまい、頭痛

    傾眠、不眠、徘徊、不穏、易怒性、不安

    歩行障害、不随意運動(振戦、チック、ジスキネジー等)、活動性低下、鎮静

    腎臓

    頻尿、尿失禁、尿潜血、BUN上昇

    肝臓

    肝機能異常

    消化器

    便秘、食欲不振

    消化管潰瘍、悪心、嘔吐、下痢、便失禁

    循環器

    血圧上昇

    血圧低下、上室性期外収縮

    その他

    血糖値上昇、転倒、浮腫、体重減少、CK上昇

    貧血、倦怠感、発熱、コレステロール上昇、トリグリセリド上昇

    脱力感

    13. 過量投与

    1. 13.1 症状

      メマンチン塩酸塩400mg服用患者において、不穏、幻視、痙攣、傾眠、昏迷、意識消失等があらわれ、また、メマンチン塩酸塩2,000mg服用患者において、昏睡、複視及び激越があらわれ、それぞれ回復したとの報告がある(外国人における報告)。

    2. 13.2 処置

      尿の酸性化により、僅かに排泄が促進したとの報告がある。

    14. 適用上の注意

    14.1 薬剤交付時の注意

    1. 14.1.1 PTP包装の薬剤はPTPシートから取り出して服用するよう指導すること。PTPシートの誤飲により、硬い鋭角部が食道粘膜へ刺入し、更には穿孔をおこして縦隔洞炎等の重篤な合併症を併発することがある。
    2. 14.1.2 舌の上にのせて唾液を浸潤させると崩壊するため、水なしで服用可能である。また、水で服用することもできる。
    3. 14.1.3 寝たままの状態では、水なしで服用させないこと。

    15. その他の注意

    15.2 非臨床試験に基づく情報

    ラットの高用量投与実験(メマンチン塩酸塩100mg/kg単回経口投与、25mg/kg/日以上14日間反復経口投与、又は100mg/kg/日14日間混餌投与)において、脳梁膨大皮質及び帯状回皮質に神経細胞の空胞化又は壊死が認められた。

    16. 薬物動態

    16.1 血中濃度

    1. 16.1.1 生物学的同等性試験
    • 〈メマンチン塩酸塩OD錠20mg「日新」〉

      メマンチン塩酸塩OD錠20mg「日新」とメマリーOD錠20mgを、クロスオーバー法によりそれぞれ1錠(メマンチン塩酸塩として20mg)健康成人男子に絶食時単回経口投与(水で服用及び水なしで服用)して血漿中未変化体濃度を測定し、得られた薬物動態パラメータ(AUC、Cmax)について90%信頼区間法にて統計解析を行った結果、log(0.80)~log(1.25)の範囲内であり、両製剤の生物学的同等性が確認された2)

    • (1)水で服用
    • 判定パラメータ

      参考パラメータ

      AUC0-240
      (ng・hr/mL)

      Cmax
      (ng/mL)

      Tmax
      (hr)

      T1/2
      (hr)

      メマンチン塩酸塩OD錠20mg「日新」

      2201.763
      ±293.159

      26.795
      ±4.056

      6.4
      ±2.0

      60.51
      ±7.84

      メマリーOD錠20mg

      2165.192
      ±290.650

      26.290
      ±4.254

      5.9
      ±1.9

      61.82
      ±8.13

      (Mean±S.D., n=19)

    • (2)水なしで服用
    • 判定パラメータ

      参考パラメータ

      AUC0-240
      (ng・hr/mL)

      Cmax
      (ng/mL)

      Tmax
      (hr)

      T1/2
      (hr)

      メマンチン塩酸塩
      OD錠20mg「日新」

      2345.499
      ±476.011

      29.151
      ±6.478

      5.7
      ±1.6

      64.08
      ±11.33

      メマリーOD錠20mg

      2288.865
      ±468.650

      27.797
      ±5.123

      5.7
      ±2.4

      63.76
      ±8.71

      (Mean±S.D., n=18)

    • 血漿中濃度並びにAUC、Cmax等のパラメータは、被験者の選択、体液の採取回数・時間等の試験条件によって異なる可能性がある。

    16.3 分布

    1. 16.3.1 ラット及びウサギにおける移行性

      ラットに14C-標識体を単回経口投与したとき、放射能は主として消化管内容物、陰茎、腎臓、尿路、肝臓、肺、副腎、涙腺、ハーダー氏腺、唾液腺及び脾臓に分布した。
      ラットにメマンチン塩酸塩を混餌投与したとき、脳内メマンチンのAUCは血漿中メマンチンのAUCの18倍以上高かった。
      また、妊娠中のウサギに14C-標識体を単回静脈内投与したとき、放射能は胎児に移行した。授乳期のラットに14C-標識体を単回経口投与したとき、放射能は乳汁に移行した3),

    16.5 排泄

    健康成人男性に、メマンチン塩酸塩5mgを1日3回経口投与し、定常状態に到達した13日目の初回投与時に14C-標識体5mgを経口投与したところ、総放射能の尿中への累積排泄率は投与20日後までに83.2±11.7%であり、糞中への累積排泄率は7日後までに0.54±0.41%であった(外国人データ)。
    また、炭酸水素ナトリウムを併用し、尿pHをアルカリ性状態にした場合には、メマンチンの全身クリアランス(CL/F)は単独投与時と比べて大きく低下したとの報告がある1),4) (外国人データ)。,

    16.6 特定の背景を有する患者

    1. 16.6.1 腎機能障害患者での体内動態

      メマンチン塩酸塩は腎排泄型の薬剤であり、腎機能が低下する程度に応じて、メマンチン塩酸塩のt1/2の延長とAUCの増大が認められている5),

    • メマンチン塩酸塩10mg単回経口投与時の腎機能障害患者及び腎機能正常者での薬物動態パラメータ

      腎機能(Ccr)

      正常者
      (Ccr>80)

      軽度障害患者
      (50≦Ccr≦80)

      中等度障害患者
      (30≦Ccr<50)

      高度障害患者
      (5≦Ccr<30)

      n

      6

      6

      6

      7

      平均Ccr(推定
      値)(mL/min)

      91.1

      62.7

      40.9

      19.1

      Cmax(ng/mL)

      12.66±2.14

      17.25±3.94

      15.76±3.70

      15.83±0.62

      AUC(ng・hr/mL)

      1,046±82

      1,640±180

      2,071±531

      2,437±451

      t1/2(hr)

      61.2±7.5

      83.0±17.0

      100.1±16.3

      124.3±21.0

      CL/F(mL/min)

      133.0±9.6

      85.3±8.8

      70.4±17.0

      58.6±11.3

      CLr(mL/min)

      82.2±19.8

      62.1±10.9

      42.1±9.0

      28.5±12.2

      (mean±SD)

    16.7 薬物相互作用

    健康成人20例にメマンチン塩酸塩を漸増法(メマンチン塩酸塩5mgを3日間、続いて10mgを4日間投与後、20mgを14日間)により1日1回経口投与した後、メマンチン塩酸塩20mgとヒドロクロロチアジド(25mg)・トリアムテレン(50mg)配合剤を7日間併用したとき、ヒドロクロロチアジドのCmax及びAUCは単独投与時の約80%に低下した6) (外国人データ)。

    16.8 その他

    • 〈メマンチン塩酸塩OD錠5mg「日新」〉

      メマンチン塩酸塩OD錠5mg「日新」は、「含量が異なる経口固形製剤の生物学的同等性試験ガイドライン(平成24年2月29日 薬食審査発0229第10号)」に基づき、メマンチン塩酸塩OD錠20mg「日新」を標準製剤としたとき、溶出挙動が同等と判断され、生物学的に同等とみなされた7)

    • 〈メマンチン塩酸塩OD錠10mg「日新」〉

      メマンチン塩酸塩OD錠10mg「日新」は、「含量が異なる経口固形製剤の生物学的同等性試験ガイドライン(平成24年2月29日 薬食審査発0229第10号)」に基づき、メマンチン塩酸塩OD錠20mg「日新」を標準製剤としたとき、溶出挙動が同等と判断され、生物学的に同等とみなされた8)

    • 〈メマンチン塩酸塩OD錠15mg「日新」〉

      メマンチン塩酸塩OD錠15mg「日新」は、「含量が異なる経口固形製剤の生物学的同等性試験ガイドライン(平成24年2月29日 薬食審査発0229第10号)」に基づき、メマンチン塩酸塩OD錠20mg「日新」を標準製剤としたとき、溶出挙動が同等と判断され、生物学的に同等とみなされた9)

    18. 薬効薬理

    18.1 作用機序

    メマンチン塩酸塩はNMDA型グルタミン酸受容体の非競合的拮抗薬である。チャネルのMg2+結合部位と相互作用し、正常な機能を保持しつつ、過度の活性化を抑制する10)

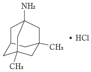
    19. 有効成分に関する理化学的知見

    一般的名称

    メマンチン塩酸塩(Memantine Hydrochloride)

    化学名

    3,5-Dimethyltricyclo[3.3.1.13,7]dec-1-ylamine monohydrochloride

    分子式

    C12H21N・HCl

    分子量

    215.76

    性状

    白色の粉末である。ギ酸又はエタノール(99.5)に溶けやすく、水にやや溶けやすい。

    化学構造式

    20. 取扱い上の注意

    1. 20.1 アルミピロー又はプラスチックボトル開封後は湿気を避けて保存すること。
    2. 20.2 製剤の特性上、吸湿により錠剤表面がざらつくことがある。
    3. 20.3 5mg錠、10mg錠は、それぞれ錠剤表面に使用色素による赤色、黄色の斑点がみられることがある。

    22. 包装

    • 〈メマンチン塩酸塩OD錠5mg「日新」〉

      14錠[14錠(PTP)×1、乾燥剤入り]
      56錠[14錠(PTP)×4、乾燥剤入り]
      100錠[バラ、乾燥剤入り]

    • 〈メマンチン塩酸塩OD錠10mg「日新」〉

      14錠[14錠(PTP)×1、乾燥剤入り]
      56錠[14錠(PTP)×4、乾燥剤入り]
      100錠[バラ、乾燥剤入り]

    • 〈メマンチン塩酸塩OD錠15mg「日新」〉

      14錠[14錠(PTP)×1、乾燥剤入り]

    • 〈メマンチン塩酸塩OD錠20mg「日新」〉

      56錠[14錠(PTP)×4、乾燥剤入り]
      100錠[バラ、乾燥剤入り]

    24. 文献請求先及び問い合わせ先

    日新製薬株式会社 安全管理部

    〒994-0069 山形県天童市清池東二丁目3番1号

    TEL 023-655-2131 FAX 023-655-3419
    E-mail:d-info@yg-nissin.co.jp

    26. 製造販売業者等

    26.1 製造販売元

    日新製薬株式会社

    山形県天童市清池東二丁目3番1号

    〒100-0013 東京都千代田区霞が関3-3-2 新霞が関ビル

    画面を閉じる

    Copyright © Pharmaceuticals and Medical Devices Agency, All Rights reserved.