医療用医薬品 詳細表示

ユビデカレノン錠10mg「日新」

添付文書番号

2119003F2634_1_03

企業コード

530113

作成又は改訂年月

2024年1月改訂(第1版)

日本標準商品分類番号

872119

薬効分類名

代謝性強心剤

承認等

ユビデカレノン錠10mg「日新」

販売名コード

YJコード

2119003F2634

販売名英語表記

Ubidecarenone Tablets 10mg “NISSIN”

販売名ひらがな

ゆびでかれのんじょう10mg「にっしん」

承認番号等

承認番号

22500AMX01168000

販売開始年月

1981年9月

貯法・有効期間

貯法

室温保存

有効期間

3年

一般的名称

ユビデカレノン

3. 組成・性状

3.1 組成

ユビデカレノン錠10mg「日新」

有効成分1錠中
日本薬局方ユビデカレノン   10mg
添加剤結晶セルロース、乳糖水和物、トウモロコシデンプン、ヒドロキシプロピルセルロース、カルメロースカルシウム、ステアリン酸マグネシウム

3.2 製剤の性状

ユビデカレノン錠10mg「日新」

外形
大きさ錠径6.0mm
錠厚3.2mm
重量100mg
識別コードNS 278
性状淡黄色で片面中央に割線のある裸錠

4. 効能又は効果

基礎治療施行中の軽度及び中等度のうっ血性心不全症状

6. 用法及び用量

ユビデカレノンとして通常成人は1回10mgを1日3回食後に経口投与する。

9. 特定の背景を有する患者に関する注意

9.5 妊婦

妊婦又は妊娠している可能性のある女性には治療上の有益性が危険性を上回ると判断される場合にのみ投与すること。

9.6 授乳婦

治療上の有益性及び母乳栄養の有益性を考慮し、授乳の継続又は中止を検討すること。

9.7 小児等

小児等を対象とした臨床試験は実施していない。

11. 副作用

次の副作用があらわれることがあるので、観察を十分に行い、異常が認められた場合には投与を中止するなど適切な処置を行うこと。

11.2 その他の副作用

0.1~5%未満

消化器

胃部不快感、食欲減退、吐気、下痢

過敏症

発疹

発現頻度は副作用発生頻度調査結果に基づく。

14. 適用上の注意

14.1 薬剤交付時の注意

PTP包装の薬剤はPTPシートから取り出して服用するよう指導すること。PTPシートの誤飲により、硬い鋭角部が食道粘膜へ刺入し、更には穿孔をおこして縦隔洞炎等の重篤な合併症を併発することがある。

16. 薬物動態

16.8 その他

ユビデカレノン錠10mg「日新」の生物学的同等性に関しては、カルビキノン錠(昭和53年承認、販売名変更前製剤)の承認申請時添付資料により評価された。

18. 薬効薬理

18.1 作用機序

ユビデカレノンはミトコンドリアの電子伝達系におけるコハク酸脱水素酵素の補酵素(補酵素Q10)である。心疾患時の低下を補うことにより、虚血下の酸素利用効率の改善や低下したATP合成能の改善が示唆されている1)

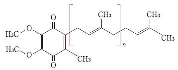
19. 有効成分に関する理化学的知見

一般的名称

ユビデカレノン(Ubidecarenone)

化学名

(2E,6E,10E,14E,18E,22E,26E,30E,34E,38E)-2-(3,7,11,15,19,23,27,31,35,39-Decamethyltetraconta-2,6,10,14,18,22,26,30,34,38-decaen-1-yl)-5,6-dimethoxy-3-methyl-1,4-benzoquinone

分子式

C59H90O4

分子量

863.34

性状

黄色~橙色の結晶性の粉末で、におい及び味はない。ジエチルエーテルに溶けやすく、エタノール(99.5)に極めて溶けにくく、水にほとんど溶けない。光によって徐々に分解し、着色が強くなる。

化学構造式

融点

約48℃

20. 取扱い上の注意

  1. 20.1 本剤は有効成分であるユビデカレノンの融点(約48℃)以上になると、まだら変色を起こすことがあるので、保管温度には注意すること。
  2. 20.2 外箱開封後は遮光して保存すること。

22. 包装

100錠[10錠(PTP)×10]

24. 文献請求先及び問い合わせ先

日新製薬株式会社 安全管理部

〒994-0069 山形県天童市清池東二丁目3番1号

TEL 023-655-2131 FAX 023-655-3419
E-mail:d-info@yg-nissin.co.jp

26. 製造販売業者等

26.1 製造販売元

日新製薬株式会社

山形県天童市清池東二丁目3番1号

〒100-0013 東京都千代田区霞が関3-3-2 新霞が関ビル

画面を閉じる

Copyright © Pharmaceuticals and Medical Devices Agency, All Rights reserved.