医療用医薬品 詳細表示

ネイサート坐剤

処方せん医薬品以外の医薬品

添付文書番号
企業コード
作成又は改訂年月
日本標準商品分類番号
薬効分類名
承認等
一般的名称
2.禁忌(次の患者には投与しないこと)
3.組成・性状
3.1組成
3.2製剤の性状
4.効能又は効果
5.効能又は効果に関連する注意
6.用法及び用量
7.用法及び用量に関連する注意
9.特定の背景を有する患者に関する注意
9.1合併症・既往歴等のある患者
9.5妊婦
9.7小児等
9.8高齢者
11.副作用
11.2その他の副作用
14.適用上の注意
16.薬物動態
16.1血中濃度
17.臨床成績
17.1有効性及び安全性に関する試験
18.薬効薬理
18.1作用機序
18.2抗炎症作用
18.3鎮痛作用
18.4生物学的同等性試験
19.有効成分に関する理化学的知見
20.取扱い上の注意
22.包装
23.主要文献
24.文献請求先及び問い合わせ先
26.製造販売業者等

ネイサート坐剤

添付文書番号

2559814J1046_1_07

企業コード

530113

作成又は改訂年月

2024年1月改訂(第1版)

日本標準商品分類番号

872559

薬効分類名

痔疾用剤

承認等

ネイサート坐剤

販売名コード

YJコード

2559814J1046

販売名英語表記

Neisat Suppositories

販売名ひらがな

ねいさーとざざい

承認番号等

承認番号

21500AMZ00153000

販売開始年月

2003年7月

貯法・有効期間

貯法

室温保存

有効期間

3年

規制区分

劇薬

一般的名称

ジフルコルトロン吉草酸エステル
リドカイン

2. 禁忌(次の患者には投与しないこと)

  1. 2.1 局所に結核性、化膿性又は梅毒性感染症、ウイルス性疾患のある患者[症状を悪化させることがある。]
  2. 2.2 局所に真菌症(カンジダ症、白癬等)のある患者[症状を悪化させることがある。]
  3. 2.3 本剤の成分に対し過敏症の既往歴のある患者
  4. 2.4 ジフルコルトロン吉草酸エステル、リドカインに対し過敏症の既往歴のある患者

3. 組成・性状

3.1 組成

ネイサート坐剤

有効成分1個中
日本薬局方ジフルコルトロン吉草酸エステル0.2mg
日本薬局方リドカイン40mg  
添加剤軽質無水ケイ酸、ハードファット

3.2 製剤の性状

ネイサート坐剤

外形
大きさ直径9mm
長さ29mm
性状白色~微黄色の坐剤
溶融温度32~36℃
重量1.45g

4. 効能又は効果

痔核に伴う症状(出血、疼痛、腫脹)の緩解

5. 効能又は効果に関連する注意

局所に感染症又は真菌症がある場合には、使用しないことを原則とするが、やむを得ず使用する必要がある場合には、あらかじめ適切な抗菌剤、抗真菌剤による治療を行うか、又はこれらとの併用を考慮すること。

6. 用法及び用量

通常、成人には1回1個を1日2回肛門内に挿入する。

7. 用法及び用量に関連する注意

本剤での治療は対症療法であるため、概ね1週間を目処として使用し、その後の継続投与については、臨床効果及び副作用の程度を考慮しながら慎重に行うこと。

9. 特定の背景を有する患者に関する注意

9.1 合併症・既往歴等のある患者

  1. 9.1.1 他のリドカイン製剤が併用投与される患者

    リドカインの血中濃度が上昇するおそれがある。

9.5 妊婦

妊婦又は妊娠している可能性のある女性には、治療上の有益性が危険性を上回ると判断される場合にのみ投与すること。また、大量又は長期にわたる使用を避けること。

9.7 小児等

  1. 9.7.1 小児等を対象とした臨床試験は実施していない。
  2. 9.7.2 ステロイド剤の大量又は長期の使用により発育障害をきたすという報告がある。

9.8 高齢者

患者の状態を十分に観察しながら使用すること。一般に副作用があらわれやすい。

11. 副作用

次の副作用があらわれることがあるので、観察を十分に行い、異常が認められた場合には投与を中止するなど適切な処置を行うこと。

11.2 その他の副作用

0.1~1%未満

頻度不明

皮膚の感染症

皮膚及び陰部の真菌症(カンジダ症、白癬等)、ウイルス性及び細菌性感染症

過敏症

そう痒感、皮膚刺激感、下痢

下垂体・副腎皮質系機能

大量又は長期使用による下垂体・副腎皮質系機能の抑制

長期連用

長期連用による全身投与の場合と同様な症状

消化器

鼓腸放屁

14. 適用上の注意

14.1 薬剤交付時の注意

本剤は直腸投与にのみ使用するよう指導すること。

16. 薬物動態

16.1 血中濃度

  1. 16.1.1 生物学的同等性試験

    ネイサート坐剤とネリプロクト坐剤を、クロスオーバー法によりそれぞれ1個(ジフルコルトロン吉草酸エステルとして0.2mg、リドカインとして40mg)健康成人男子に絶食時単回肛門内投与してリドカインの血漿中濃度を測定し、得られた薬物動態パラメータ(AUC、Cmax)について90%信頼区間法にて統計解析を行った結果、log(0.8)~log(1.25)の範囲内であり、両製剤の生物学的同等性が確認された1)

  • 判定パラメータ

    参考パラメータ

    AUC0-12
    (ng・hr/mL)

    Cmax
    (ng/mL)

    Tmax
    (hr)

    T1/2
    (hr)

    ネイサート坐剤

    529.87±156.19

    100.72±26.96

    2.95±0.76

    2.30±0.57

    ネリプロクト坐剤

    553.99±204.79

    101.27±29.91

    3.05±0.83

    2.25±0.76

    (Mean±S.D., n=10)

  • 血漿中濃度並びにAUC、Cmax等のパラメータは、被験者の選択、体液の採取回数・時間等の試験条件によって異なる可能性がある。

17. 臨床成績

17.1 有効性及び安全性に関する試験

  1. 17.1.1 国内後期第Ⅱ相臨床試験

    内痔核及び内外痔核患者を対象にジフルコルトロン吉草酸エステル0.2mg・リドカイン40mg坐剤(以下、DFV0.2mg・LID40mg坐剤)、ジフルコルトロン吉草酸エステル倍量坐剤、リドカイン坐剤及びプラセボ坐剤をそれぞれ1回1個、1日2回、2週間連続投与した二重盲検比較試験の結果は以下のとおりである2)
    全般改善度における改善率(改善以上)は、DFV0.2mg・LID40mg坐剤投与群69.0%(40/58例)、ジフルコルトロン吉草酸エステル倍量坐剤投与群45.5%(25/55例)、リドカイン坐剤投与群52.9%(27/51例)、プラセボ坐剤投与群60.7%(34/56例)であった。
    副作用発現頻度はDFV0.2mg・LID40mg坐剤投与群で1.5%(1/67例)であった。発現した副作用は下痢1例であった。

  2. 17.1.2 国内追加第Ⅱ相臨床試験

    内痔核及び内外痔核患者を対象にDFV0.2mg・LID40mg坐剤及びジフルコルトロン吉草酸エステル半量坐剤をそれぞれ1回1個、1日2回、2週間連続投与した二重盲検比較試験の結果は以下のとおりである3)
    全般改善度における改善率(改善以上)は、DFV0.2mg・LID40mg坐剤投与群で69.5%(73/105例)、ジフルコルトロン吉草酸エステル半量坐剤投与群で61.5%(67/109例)であった。
    副作用発現頻度はDFV0.2mg・LID40mg坐剤投与群で1.9%(2/107例)であった。発現した副作用は痒感、頭痛・微熱が各1例であった。

  3. 17.1.3 国内第Ⅲ相比較臨床試験

    内痔核及び内外痔核及び裂肛患者を対象にDFV0.2mg・LID40mg坐剤及びカプロン酸ヒドロコルチゾン・塩酸ジブカイン・ヘキサクロロフェン・ウンデシル酸クレミゾール坐薬をそれぞれ1回1個、1日2回、2週間連続投与した二重盲検比較試験の結果は以下のとおりである4)
    全般改善度における改善率(改善以上)は、DFV0.2mg・LID40mg坐剤投与群で67.4%(87/129例)、カプロン酸ヒドロコルチゾン・塩酸ジブカイン・ヘキサクロロフェン・ウンデシル酸クレミゾール坐薬投与群で61.7%(82/133例)であった。
    副作用発現頻度はDFV0.2mg・LID40mg坐剤投与群で2.9%(4/140例)であった。発現した副作用は腹部膨満感、薬疹、かゆみ、刺激感が各1例であった。

  4. 17.1.4 国内第Ⅲ相比較臨床試験

    内痔核及び内外痔核患者を対象にDFV0.2mg・LID40mg坐剤及びトリベノシド・リドカイン坐剤をそれぞれ1回1個、1日2回、2週間連続投与した群間比較試験の結果は以下のとおりである5)
    全般改善度における改善率(改善以上)は、DFV0.2mg・LID40mg坐剤投与群で65.0%(67/103例)、トリベノシド・リドカイン坐剤投与群で64.0%(64/100例)であった。
    DFV0.2mg・LID40mg坐剤投与群で副作用の発現はなかった。

18. 薬効薬理

18.1 作用機序

  1. 18.1.1 ジフルコルトロン吉草酸エステル

    合成副腎皮質ホルモンで、糖質コルチコイドと同じ機序により抗炎症作用及び免疫抑制作用を発現する。糖質コルチコイドの抗炎症作用の機序は多岐にわたるが、結局は起炎物質の生合成抑制と炎症細胞の遊走抑制による6)

  2. 18.1.2 リドカイン

    神経細胞膜のNa+チャネルを抑制することによって神経の活動電位発生を抑制するという局所麻酔薬共通の作用により、知覚神経の求心性伝導を抑制する7)

18.2 抗炎症作用

DFV0.2mg・LID40mg坐剤は、クロトン油誘発痔疾モデル(ラット)、擦過刺激痔疾モデル(ラット)のいずれにおいても、ヒドロコルチゾンカプロン酸エステルを含有する痔疾用剤と同等ないしはより強力な抗炎症作用を示した。また、ヒドロコルチゾン含有痔疾用剤及び副腎皮質ホルモンを含有しない痔疾用剤に比し抗炎症作用が強力であった8)

18.3 鎮痛作用

DFV0.2mg・LID40mg坐剤は、カラゲニン・カオリン足蹠浮腫(ラット)において、疼痛に対しリドカインによる速効性の鎮痛効果とジフルコルトロン吉草酸エステルによる炎症痛の経時的な軽減が認められた8)

18.4 生物学的同等性試験

  • 抗炎症作用

    ネイサート坐剤とネリプロクト坐剤について、クロトン油混合起炎剤誘発痔疾モデル(ラット)及び擦過刺激痔疾モデル(ラット)を用いて抗炎症効果を比較検討した結果、両製剤ともに抗炎症作用を示し、有意な差は認められなかった1)

19. 有効成分に関する理化学的知見

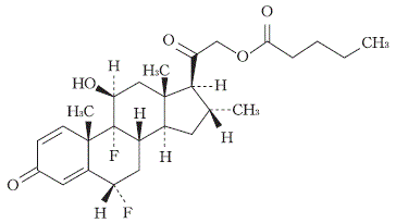
19.1 ジフルコルトロン吉草酸エステル

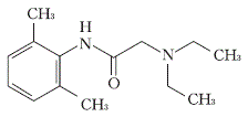
一般的名称

ジフルコルトロン吉草酸エステル(Diflucortolone Valerate)

化学名

6α,9-Difluoro-11β,21-dihydroxy-16α-methylpregna-1,4-diene-3,20-dione 21-pentanate

分子式

C27H36F2O5

分子量

478.57

性状

白色の結晶又は結晶性の粉末である。メタノール又はエタノール(99.5)にやや溶けにくく、水にほとんど溶けない。

化学構造式

融点

200~204℃

19.2 リドカイン

一般的名称

リドカイン(Lidocaine)

化学名

2-Diethylamino-N-(2,6-dimethylphenyl)acetamide

分子式

C14H22N2O

分子量

234.34

性状

白色~微黄色の結晶又は結晶性の粉末である。メタノール又はエタノール(95)に極めて溶けやすく、酢酸(100)又はジエチルエーテルに溶けやすく、水にほとんど溶けない。希塩酸に溶ける。

化学構造式

融点

66~69℃

20. 取扱い上の注意

小児の手のとどかない所に保管すること。

22. 包装

42個[7個シート×6]
140個[7個シート×20]

24. 文献請求先及び問い合わせ先

日新製薬株式会社 安全管理部

〒994-0069 山形県天童市清池東二丁目3番1号

TEL 023-655-2131 FAX 023-655-3419
E-mail:d-info@yg-nissin.co.jp

26. 製造販売業者等

26.1 製造販売元

日新製薬株式会社

山形県天童市清池東二丁目3番1号

〒100-0013 東京都千代田区霞が関3-3-2 新霞が関ビル

画面を閉じる

Copyright © Pharmaceuticals and Medical Devices Agency, All Rights reserved.