医療用医薬品 詳細表示

ボグリボース錠0.2mg「NS」/ボグリボース錠0.3mg「NS」

処方せん医薬品

添付文書番号
企業コード
作成又は改訂年月
日本標準商品分類番号
薬効分類名
承認等
一般的名称
2.禁忌(次の患者には投与しないこと)
3.組成・性状
3.1組成
3.2製剤の性状
4.効能又は効果
5.効能又は効果に関連する注意
6.用法及び用量
7.用法及び用量に関連する注意
8.重要な基本的注意
9.特定の背景を有する患者に関する注意
9.1合併症・既往歴等のある患者
9.2腎機能障害患者
9.3肝機能障害患者
9.5妊婦
9.6授乳婦
9.7小児等
9.8高齢者
10.相互作用
10.2併用注意(併用に注意すること)
11.副作用
11.1重大な副作用
11.2その他の副作用
14.適用上の注意
16.薬物動態
16.1血中濃度
16.3分布
16.5排泄
17.臨床成績
17.1有効性及び安全性に関する試験
18.薬効薬理
18.1作用機序
18.2血糖上昇抑制作用
18.3生物学的同等性試験
19.有効成分に関する理化学的知見
22.包装
23.主要文献
24.文献請求先及び問い合わせ先
25.保険給付上の注意
26.製造販売業者等

ボグリボース錠0.2mg「NS」/ボグリボース錠0.3mg「NS」

添付文書番号

3969004F1284_1_08

企業コード

530113

作成又は改訂年月

2023年11月改訂(第1版)

日本標準商品分類番号

873969

薬効分類名

食後過血糖改善剤

承認等

ボグリボース錠0.2mg「NS」

販売名コード

YJコード

3969004F1284

販売名英語表記

Voglibose Tablets 0.2mg “NS”

販売名ひらがな

ぼぐりぼーすじょう0.2mg「NS」

承認番号等

承認番号

22500AMX00601

販売開始年月

2005年7月

貯法・有効期間

貯法

室温保存

有効期間

3年

基準名

日本薬局方

ボグリボース錠

ボグリボース錠0.3mg「NS」

販売名コード

YJコード

3969004F2280

販売名英語表記

Voglibose Tablets 0.3mg “NS”

販売名ひらがな

ぼぐりぼーすじょう0.3mg「NS」

承認番号等

承認番号

22500AMX00602

販売開始年月

2005年7月

貯法・有効期間

貯法

室温保存

有効期間

3年

基準名

日本薬局方

ボグリボース錠

一般的名称

ボグリボース

2. 禁忌(次の患者には投与しないこと)

  1. 2.1 重症ケトーシス、糖尿病性昏睡又は前昏睡の患者[輸液及びインスリンによる速やかな高血糖の是正が必須となるので本剤の投与は適さない。]
  2. 2.2 重症感染症、手術前後、重篤な外傷のある患者[インスリン注射による血糖管理が望まれるので本剤の投与は適さない。]
  3. 2.3 本剤の成分に対する過敏症の既往歴のある患者

3. 組成・性状

3.1 組成

ボグリボース錠0.2mg「NS」

有効成分1錠中
日本薬局方ボグリボース   0.2mg
添加剤乳糖水和物、トウモロコシデンプン、ヒドロキシプロピルセルロース、ステアリン酸マグネシウム

ボグリボース錠0.3mg「NS」

有効成分1錠中
日本薬局方ボグリボース   0.3mg
添加剤乳糖水和物、トウモロコシデンプン、ヒドロキシプロピルセルロース、ステアリン酸マグネシウム

3.2 製剤の性状

ボグリボース錠0.2mg「NS」

外形
大きさ錠径7.0mm
錠厚2.6mm
重量130mg
識別コードNS 387
性状白色~帯黄白色の片面割線入りの素錠

ボグリボース錠0.3mg「NS」

外形
大きさ錠径8.0mm
錠厚3.0mm
重量200mg
識別コードNS 388
性状白色~帯黄白色の素錠

4. 効能又は効果

〈ボグリボース錠0.2mg・0.3mg〉
○糖尿病の食後過血糖の改善
(ただし、食事療法・運動療法を行っている患者で十分な効果が得られない場合、又は食事療法・運動療法に加えて経口血糖降下剤若しくはインスリン製剤を使用している患者で十分な効果が得られない場合に限る)
〈ボグリボース錠0.2mg〉
○耐糖能異常における2型糖尿病の発症抑制(錠0.2mgのみ)
(ただし、食事療法・運動療法を十分に行っても改善されない場合に限る)

5. 効能又は効果に関連する注意

  • 〈効能共通〉
    1. 5.1 本剤の適用はあらかじめ糖尿病治療及び糖尿病発症抑制の基本である食事療法、運動療法を十分に行ったうえで効果が不十分な場合に限り考慮すること。
  • 〈糖尿病の食後過血糖の改善〉
    1. 5.2 糖尿病治療の基本である食事療法・運動療法のみを行っている患者では、投与の際の食後血糖2時間値は200mg/dL以上を示す場合に限る。
    2. 5.3 食事療法、運動療法に加えて経口血糖降下剤又はインスリン製剤を使用している患者では、投与の際の空腹時血糖値は140mg/dL以上を目安とする。
  • 〈耐糖能異常における2型糖尿病の発症抑制(錠0.2mgのみ)〉
    1. 5.4 本剤の適用は、耐糖能異常(空腹時血糖が126mg/dL未満かつ75g経口ブドウ糖負荷試験の血糖2時間値が140~199mg/dL)と判断され、糖尿病発症抑制の基本である食事療法・運動療法を3~6ヵ月間行っても改善されず、かつ高血圧症、脂質異常症(高トリグリセリド血症、低HDLコレステロール血症等)、肥満(Body Mass Index:BMI 25kg/m2以上)、2親等以内の糖尿病家族歴のいずれかを有する場合に限定すること。

6. 用法及び用量

  • 〈糖尿病の食後過血糖の改善の場合〉

    通常、成人にはボグリボースとして1回0.2mgを1日3回毎食直前に経口投与する。なお、効果不十分な場合には、経過を十分に観察しながら1回量を0.3mgまで増量することができる。

  • 〈耐糖能異常における2型糖尿病の発症抑制の場合(錠0.2mgのみ)〉
  • 通常、成人にはボグリボースとして1回0.2mgを1日3回毎食直前に経口投与する。

7. 用法及び用量に関連する注意

  • 高齢者では、低用量(例えば1回量0.1mg)から投与を開始するとともに、血糖値及び消化器症状の発現に留意するなど、経過を十分に観察しながら慎重に投与すること。,,

8. 重要な基本的注意

  • 〈効能共通〉
    1. 8.1 本剤は低血糖症状を起こすことがあるので、糖尿病患者又は耐糖能異常を有する者に対し低血糖症状及びその対処方法について十分説明すること。
    2. 8.2 高所作業、自動車の運転等に従事している糖尿病患者又は耐糖能異常を有する者に投与するときには注意すること。
  • 〈糖尿病の食後過血糖の改善〉
    1. 8.3 本剤投与中は、血糖を定期的に検査するとともに、経過を十分に観察し、常に投与継続の必要性について注意を払うこと。本剤を2~3ヵ月投与しても食後血糖に対する効果が不十分な場合(静脈血漿で食後血糖2時間値が200mg/dL以下にコントロールできないなど)には、より適切と考えられる治療への変更を考慮すること。
      なお、食後血糖の十分なコントロール(静脈血漿で食後血糖2時間値が160mg/dL以下)が得られ、食事療法・運動療法又はこれらに加えて経口血糖降下剤若しくはインスリンを使用するのみで十分と判断される場合には、本剤の投与を中止して経過観察を行うこと。
  • 〈耐糖能異常における2型糖尿病の発症抑制(錠0.2mgのみ)〉
    1. 8.4 本剤の投与開始後は、1~3ヵ月毎を目安に空腹時血糖、随時血糖、HbA1c等の糖代謝関連検査及び体重測定を実施するとともに、6~12ヵ月毎を目安に75g経口ブドウ糖負荷試験を実施して十分に経過観察し、常に投与継続の必要性に留意すること。
      また、血糖高値(空腹時血糖、75g経口ブドウ糖負荷試験の血糖2時間値)や糖負荷後初期インスリン分泌低下等を有する場合には、糖尿病発症リスクが高くなるとの報告があるので、十分な観察を行うこと。なお、2型糖尿病と診断された場合には、適切と考えられる治療への変更を考慮すること。また、本剤投与開始後に耐糖能異常が改善し、食事療法・運動療法のみで十分と判断される場合には、本剤の投与を中止して糖代謝関連検査等による経過観察を行うこと。

9. 特定の背景を有する患者に関する注意

9.1 合併症・既往歴等のある患者

  1. 9.1.1 開腹手術の既往又は腸閉塞の既往のある患者

    腸内ガス等の増加により腸閉塞が発現しやすい。

  2. 9.1.2 消化・吸収障害を伴った慢性腸疾患の患者

    本剤の作用により病態が悪化することがある。

  3. 9.1.3 ロエムヘルド症候群、重度のヘルニア、大腸の狭窄・潰瘍等の患者

    腸内ガス等の増加により症状が悪化することがある。

9.2 腎機能障害患者

  1. 9.2.1 重篤な腎障害のある患者

    代謝状態が変化することがあるため血糖管理状況が大きく変化するおそれがある。

9.3 肝機能障害患者

  1. 9.3.1 重篤な肝障害のある患者

    代謝状態が変化することがあるため血糖管理状況が大きく変化するおそれがある。また、重篤な肝硬変例で、高アンモニア血症が増悪し意識障害を伴うことがある。

9.5 妊婦

妊婦又は妊娠している可能性のある女性には治療上の有益性が危険性を上回ると判断される場合にのみ投与すること。

9.6 授乳婦

治療上の有益性及び母乳栄養の有益性を考慮し、授乳の継続又は中止を検討すること。動物試験(ラット)で、母動物の糖質吸収の抑制に起因する乳汁産生の抑制によると考えられる出生児の体重の増加抑制が認められている1),2)

9.7 小児等

小児等を対象とした臨床試験は実施していない。

9.8 高齢者

一般に高齢者では生理機能が低下している。

10. 相互作用

    10.2 併用注意(併用に注意すること)

    薬剤名等臨床症状・措置方法機序・危険因子
    • 糖尿病用薬
      • スルホニルアミド系及びスルホニルウレア系薬剤
        ビグアナイド系薬剤
        インスリン製剤
        インスリン抵抗性改善剤

    インスリン及びスルホニルウレア系薬剤と併用した際に、低血糖発現の報告があるので、左記薬剤との併用時には、低血糖発現の可能性を考慮し、低用量から投与を開始するなど慎重に投与すること。

    左記糖尿病用薬の血糖降下作用に本剤の糖質吸収遅延作用が加わる。

    • 糖尿病用薬及びその血糖降下作用を増強又は減弱する薬剤を併用している場合
      • 糖尿病用薬の血糖降下作用を増強する薬剤
        • β-遮断剤
          サリチル酸剤
          モノアミン酸化酵素阻害剤
          フィブラート系の高脂血症治療剤
          ワルファリン等
      • 糖尿病用薬の血糖降下作用を減弱する薬剤
        • アドレナリン
          副腎皮質ホルモン
          甲状腺ホルモン等

    左記の併用に加え更に本剤を併用する場合には、糖尿病用薬の使用上の注意に記載の相互作用に留意するとともに、本剤の糖質吸収遅延作用が加わることによる影響に十分注意すること。

    左記薬剤により他の糖尿病用薬の血糖降下作用が増強又は減弱されるところに、本剤の糖質吸収遅延作用が加わる。

    11. 副作用

    次の副作用があらわれることがあるので、観察を十分に行い、異常が認められた場合には投与を中止するなど適切な処置を行うこと。

    11.1 重大な副作用

    1. 11.1.1 低血糖(他の糖尿病用薬との併用の場合0.1~5%未満、併用しない場合頻度不明)

      本剤は二糖類の消化・吸収を遅延するので、低血糖症状が認められた場合にはショ糖ではなくブドウ糖を投与するなど適切な処置を行うこと。,,,

    2. 11.1.2 腸閉塞(頻度不明)

      腹部膨満、鼓腸、放屁増加等があらわれ、腸内ガス等の増加により、腸閉塞があらわれることがある。観察を十分に行い、持続する腹痛、嘔吐等の症状があらわれた場合には投与を中止し、適切な処置を行うこと。,

    3. 11.1.3 劇症肝炎、重篤な肝機能障害、黄疸(頻度不明)

      劇症肝炎、AST、ALTの上昇等を伴う重篤な肝機能障害、黄疸があらわれることがある。

    4. 11.1.4 意識障害を伴う高アンモニア血症(頻度不明)

      重篤な肝硬変例に投与した場合、便秘等を契機として高アンモニア血症が増悪し、意識障害を伴うことがあるので、排便状況等を十分に観察し、異常が認められた場合には直ちに投与を中止すること。

    11.2 その他の副作用

    5%以上

    0.1~5%未満

    0.1%未満

    頻度不明

    消化器

    下痢、放屁、腹部膨満

    軟便、腹鳴、腹痛、便秘、食欲不振、悪心、嘔吐、胸やけ、口渇

    口内炎、味覚異常、腸管嚢胞様気腫症

    過敏症

    発疹、そう痒、光線過敏症

    肝臓

    AST、ALT、LDH、γ-GTP、Al-Pの上昇

    精神神経系

    めまい

    頭痛、ふらつき、眠気

    血液

    貧血

    血小板減少

    顆粒球減少

    その他

    しびれ、顔面等の浮腫、眼のかすみ、ほてり、倦怠感、脱力感、高カリウム血症、血清アミラーゼ上昇、HDLコレステロール低下、発汗、脱毛

    14. 適用上の注意

    14.1 薬剤交付時の注意

    PTP包装の薬剤はPTPシートから取り出して服用するよう指導すること。PTPシートの誤飲により、硬い鋭角部が食道粘膜へ刺入し、更には穿孔をおこして縦隔洞炎等の重篤な合併症を併発することがある。

    16. 薬物動態

    16.1 血中濃度

    1. 16.1.1 単回投与

      健康成人男子(10名)に2mg1) を単回投与した場合、血漿中にボグリボースは検出されない3)

    2. 16.1.2 反復投与

      健康成人男子(6名)に1回0.2mg1日3回、7日間反復投与した場合、血漿中にボグリボースは検出されない3)

    16.3 分布

    ラットに[14C]ボグリボース1mg/kg単回投与した試験で胎児及び乳汁中への移行が認められている4)

    16.5 排泄

    1. 16.5.1 健康成人男子(6名)に1回0.2mg1日3回、7日間反復投与した場合、尿中にボグリボースは検出されない3)
    2. 16.5.2 ラットに[14C]ボグリボース1mg/kg単回投与した試験で尿、糞への排泄率はそれぞれ約5%、98%である4)

    1) 承認されている本剤の用法及び用量は「1回0.2mgを1日3回毎食直前に経口投与する。糖尿病の食後過血糖の改善では1回量を0.3mgまで増量することができる。」である。

    17. 臨床成績

    17.1 有効性及び安全性に関する試験

    • 〈糖尿病の食後過血糖の改善〉
    1. 17.1.1 国内第Ⅱ・Ⅲ相試験

      インスリン非依存型糖尿病患者を対象に、1日0.6mgを投与した二重盲検比較対照試験の結果、ボグリボースの有用性が認められている5),6)
      また、食事療法のみの症例のみならず、インスリン製剤使用中7),8),9),10) あるいは経口血糖降下剤使用中11),12),13),14),15) の患者においても食後過血糖の改善を初めとする有用性が認められている。さらに、長期投与試験(平均投与期間約7ヵ月)では効果の持続が確認され、安定した血糖コントロールが得られている16),17),18),19),20)
      なお、臨床薬理試験結果より、代表的副作用(放屁増加、腹部膨満、下痢及び軟便等)は、薬理作用に起因する未吸収糖質の分解・発酵に基づくものであると考えられる。

    • 〈耐糖能異常における2型糖尿病の発症抑制〉
    1. 17.1.2 国内第Ⅲ相試験

      耐糖能異常を有し、かつ高血圧症、高脂血症、肥満(Body Mass Index:BMI 25kg/m2以上)あるいは2親等以内の糖尿病家族歴のいずれかを有する者を対象に、食事療法・運動療法に加えて1回0.2mgを1日3回投与した二重盲検比較試験(平均投与日数336.7±254.0日間)の結果、最終評価時点における2型糖尿病移行例数は、ボグリボース投与群で50/897例、プラセボ群で106/881例である。
      プラセボ群に対するボグリボース投与群のハザード比(両側95%信頼区間)は0.595(0.4334-0.8177)である(層別ログランク検定:p=0.0014)21),22)
      なお、2型糖尿病累積移行率は表のとおりである。

    • 2型糖尿病累積移行率

      投与開始48週時点

      投与開始96週時点

      ボグリボース投与群

      2.6%(1.53‒3.68)

      4.8%(3.13‒6.44)

      プラセボ群

      7.0%(5.23‒8.73)

      13.2%(10.59‒15.85)

      ( )内は両側95%信頼区間

    • 承認時までの試験では、1日0.6mgを投与した951例中452例(47.5%)に臨床検査値の異常を含む副作用が認められている。主な副作用は鼓腸(17.4%)、腹部膨満(13.1%)、下痢(12.0%)等であった23)

    18. 薬効薬理

    18.1 作用機序

    1. 18.1.1 ボグリボースは、腸管において二糖類から単糖への分解を担う二糖類水解酵素(α-グルコシダーゼ)を阻害し、糖質の消化・吸収を遅延させることにより食後の過血糖を改善する24),25),26),27),28),29),30),31)
    2. 18.1.2 ブタ小腸由来マルターゼとスクラーゼに対してアカルボースよりそれぞれ約20倍及び30倍強い阻害作用を示し、ラット小腸由来マルターゼ及びスクラーゼ阻害活性はそれぞれアカルボースの約270倍及び190倍である(in vitro)。一方ブタ膵α-アミラーゼに対する阻害作用はアカルボースの約1/3,000であり(in vitro)、正常ラットに経口投与した場合、β-グルコシダーゼに対しては阻害活性を示さない24)in vivo)。
    3. 18.1.3 ラット小腸由来のスクラーゼ-イソマルターゼの複合体の二糖類水解酵素に対する阻害様式は競合拮抗的である24)in vitro)。

    18.2 血糖上昇抑制作用

    1. 18.2.1 正常ラットに経口投与した場合、でん粉、マルトース及びスクロース負荷後の血糖上昇を抑制するが、グルコース、フルクトース及びラクトース負荷後の血糖上昇に対しては無効である24)in vivo)。
    2. 18.2.2 健康成人にスクロース負荷を行い呼気水素ガスを測定したところ、ボグリボースの臨床用量における血糖上昇抑制作用は二糖類の部分的な分解抑制に基づく糖質の軽度な吸収阻害と、その結果としての吸収遅延によるものと推定される25)

    18.3 生物学的同等性試験

    • 〈ボグリボース錠0.2mg「NS」〉
    • ボグリボース錠0.2mg「NS」とベイスン錠0.2を、クロスオーバー法によりそれぞれ3錠(ボグリボースとして0.6mg2) )健康成人男子に絶食時単回経口投与して無投与群とのショ糖負荷(100g)における血糖値の時間的推移を測定し、得られた血糖値動態パラメータ(AUC、BSmax)について90%信頼区間法にて統計解析を行った結果、log(0.8)~log(1.25)の範囲内であり、両製剤の生物学的同等性が確認された32)
      2) 承認されている本剤の用法及び用量は「1回0.2mgを1日3回毎食直前に経口投与する。糖尿病の食後過血糖の改善では1回量を0.3mgまで増量することができる。」である。

      判定パラメータ

      参考パラメータ

      AUC0‒2
      (mg・hr/dL)

      BSmax
      (mg/dL)

      Tmax
      (hr)

      ボグリボース錠
      0.2mg「NS」

      196.42±37.39

      124.63±24.77

      0.42±0.21

      ベイスン錠0.2

      192.51±30.24

      122.70±21.78

      0.46±0.20

      無投与

      211.29±45.00

      139.47±29.90

      0.56±0.39

      (Mean±S.D., n=30)

      血糖値並びにAUC、BSmax等のパラメータは、被験者の選択、体液の採取回数・時間等の試験条件によって異なる可能性がある。
    • 〈ボグリボース錠0.3mg「NS」〉

      ボグリボース錠0.3mg「NS」とベイスン錠0.3を、クロスオーバー法によりそれぞれ2錠(ボグリボースとして0.6mg3) )健康成人男子に絶食時単回経口投与して無投与群とのショ糖負荷(100g)における血糖値の時間的推移を測定し、得られた血糖値動態パラメータ(AUC、BSmax)について90%信頼区間法にて統計解析を行った結果、log(0.8)~log(1.25)の範囲内であり、両製剤の生物学的同等性が確認された33)

      3) 承認されている本剤の用法及び用量は「1回0.2mgを1日3回毎食直前に経口投与する。糖尿病の食後過血糖の改善では1回量を0.3mgまで増量することができる。」である。

      判定パラメータ

      参考パラメータ

      AUC0‒2
      (mg・hr/dL)

      BSmax
      (mg/dL)

      Tmax
      (hr)

      ボグリボース錠
      0.3mg「NS」

      198.24±25.72

      126.30±17.67

      0.49±0.27

      ベイスン錠0.3

      201.04±23.01

      128.33±12.00

      0.53±0.24

      無投与

      215.46±34.41

      141.53±24.25

      0.61±0.22

      (Mean±S.D., n=30)

      血糖値並びにAUC、BSmax等のパラメータは、被験者の選択、体液の採取回数・時間等の試験条件によって異なる可能性がある。

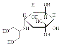
    19. 有効成分に関する理化学的知見

    一般的名称

    ボグリボース(Voglibose)

    化学名

    3,4-Dideoxy-4-[2-hydroxy-1-(hydroxymethyl)ethylamino]-2-C-(hydroxymethyl)-D-epi-inositol

    分子式

    C10H21NO7

    分子量

    267.28

    性状

    白色の結晶又は結晶性の粉末である。水に極めて溶けやすく、酢酸(100)に溶けやすく、メタノールに溶けにくく、エタノール(99.5)に極めて溶けにくい。0.1mol/L塩酸試液に溶ける。

    化学構造式

    融点

    163~168℃

    22. 包装

    • 〈ボグリボース錠0.2mg「NS」〉

      100錠[10錠(PTP)×10]
      500錠[10錠(PTP)×50]

    • 〈ボグリボース錠0.3mg「NS」〉
    • 100錠[10錠(PTP)×10]
      500錠[10錠(PTP)×50]

    23. 主要文献

    1) Morseth S.L.et al.:薬理と治療.1991;19:4325-4340

    2) Morseth S.L.et al.:薬理と治療.1991;19:4375-4396

    3) 平賀興吾:基礎と臨床.1992;26:283-294

    4) 前芝良宏 他:薬理と治療.1991;19:3639-3649

    5) 後藤由夫 他:医学のあゆみ.1992;160:943-971

    6) 神谷文雅 他:臨床成人病.1992;22:573-591

    7) 池田義雄 他:新薬と臨牀.1992;41:20-28

    8) 中埜幸治 他:診療と新薬.1991;28:2315-2323

    9) 森島豊彦 他:臨牀と研究.1992;69:3997-4010

    10) 河盛隆造 他:糖尿病.1992;35:633-640

    11) 柴田 昭 他:Progress in Medicine.1992;12:239-250

    12) 田港朝彦 他:新薬と臨牀.1992;41:193-205

    13) 西澤良記 他:医学と薬学.1992;27:123-135

    14) 松岡 瑛 他:診療と新薬.1992;29:255-265

    15) 加来浩平 他:薬理と治療.1992;20:887-899

    16) 三村和郎 他:臨牀と研究.1992;69:919-932

    17) 三村和郎 他:臨牀と研究.1992;69:235-244

    18) 中村光男 他:新薬と臨牀.1992;41:2-18

    19) 小泉順二 他:診療と新薬.1992;29:241-252

    20) 梅田文夫 他:臨牀と研究.1992;69:1309-1322

    21) Kawamori R.et al:Lancet.2009;373:1607-1614

    22) 耐糖能異常を対象とした2型糖尿病発症抑制試験(ベイスン錠・OD錠:2009年10月16日承認、申請資料概要2.7.6.2)

    23) 耐糖能異常における臨床試験の有害事象(ベイスン錠・OD錠:2009年10月16日承認、申請資料概要2.7.4.2)

    24) 小高裕之 他:日本栄養・食糧学会誌.1992;45:27-31

    25) 後藤由夫 他:臨床成人病.1992;22:451-458

    26) 池田 衡 他:薬理と治療.1991;19:4105-4117

    27) Odaka H.et al.:J.Nutr.Sci.Vitaminol.1992;38:27-37

    28) 池田 衡 他:薬理と治療.1991;19:4451-4456

    29) 小高裕之 他:日本栄養・食糧学会誌.1992;45:33-38

    30) 高見健治 他:薬理と治療.1991;19:4457-4467

    31) 小高裕之 他:薬理と治療.1991;19:4829-4834

    32) 社内資料:生物学的同等性試験(錠0.2mg)

    33) 社内資料:生物学的同等性試験(錠0.3mg)

    24. 文献請求先及び問い合わせ先

    日新製薬株式会社 安全管理部

    〒994-0069 山形県天童市清池東二丁目3番1号

    TEL 023-655-2131 FAX 023-655-3419
    E-mail:d-info@yg-nissin.co.jp

    25. 保険給付上の注意

    耐糖能異常における2型糖尿病の発症抑制(ただし、食事療法及び運動療法を十分に行っても改善されない場合に限る。)を目的に使用する場合、保険適用上の取扱いを以下のとおりとすること。

    1. 耐糖能異常(空腹時血糖が126mg/dL未満かつ75g経口ブドウ糖負荷試験の血糖2時間値が140~199mg/dL)と判断され、糖尿病発症抑制の基本である食事療法及び運動療法を3~6ヵ月間行っても改善されず、かつ高血圧症、脂質異常症(高トリグリセリド血症、低HDLコレステロール血症等)のいずれかを基礎疾患として有する患者を対象とする場合に限り、保険適用されるものとする。
    2. 診療報酬明細書の摘要欄には、耐糖能異常と判断した根拠(判断した年月日とその結果)、食事療法及び運動療法を3~6ヵ月間行っても改善されなかった旨及び高血圧症又は脂質異常症の診断名を記載する。

    26. 製造販売業者等

    26.1 製造販売元

    日新製薬株式会社

    山形県天童市清池東二丁目3番1号

    〒100-0013 東京都千代田区霞が関3-3-2 新霞が関ビル

    画面を閉じる

    Copyright © Pharmaceuticals and Medical Devices Agency, All Rights reserved.