医療用医薬品 詳細表示

d−クロルフェニラミンマレイン酸塩シロップ0.04%「日新」

処方せん医薬品以外の医薬品

添付文書番号
企業コード
作成又は改訂年月
日本標準商品分類番号
薬効分類名
承認等
一般的名称
2.禁忌(次の患者には投与しないこと)
3.組成・性状
3.1組成
3.2製剤の性状
4.効能又は効果
6.用法及び用量
8.重要な基本的注意
9.特定の背景を有する患者に関する注意
9.1合併症・既往歴等のある患者
9.5妊婦
9.6授乳婦
9.7小児等
9.8高齢者
10.相互作用
10.2併用注意(併用に注意すること)
11.副作用
11.1重大な副作用
11.2その他の副作用
16.薬物動態
16.8その他
19.有効成分に関する理化学的知見
22.包装
23.主要文献
24.文献請求先及び問い合わせ先
26.製造販売業者等

d−クロルフェニラミンマレイン酸塩シロップ0.04%「日新」

添付文書番号

4419002Q1141_1_03

企業コード

530113

作成又は改訂年月

2024年1月改訂(第1版)

日本標準商品分類番号

874419

薬効分類名

抗ヒスタミン剤

承認等

d−クロルフェニラミンマレイン酸塩シロップ0.04%「日新」

販売名コード

YJコード

4419002Q1141

販売名英語表記

d-Chlorpheniramine Maleate Syrup 0.04% “NISSIN”

販売名ひらがな

d-くろるふぇにらみんまれいんさんえんしろっぷ0.04%「にっしん」

承認番号等

承認番号

23000AMX00584000

販売開始年月

1981年9月

貯法・有効期間

貯法

室温保存

有効期間

3年

一般的名称

d-クロルフェニラミンマレイン酸塩

2. 禁忌(次の患者には投与しないこと)

  1. 2.1 本剤の成分又は類似化合物に対し過敏症の既往歴のある患者
  2. 2.2 閉塞隅角緑内障の患者[抗コリン作用により眼圧が上昇し、症状を悪化させることがある。]
  3. 2.3 前立腺肥大等下部尿路に閉塞性疾患のある患者[抗コリン作用により排尿困難、尿閉等があらわれ、症状が増悪することがある。]
  4. 2.4 低出生体重児・新生児

3. 組成・性状

3.1 組成

d−クロルフェニラミンマレイン酸塩シロップ0.04%「日新」

有効成分1mL中
日本薬局方d-クロルフェニラミンマレイン酸塩   0.4mg
添加剤白糖、安息香酸、dl-リンゴ酸、香料、エタノール、黄色5号

3.2 製剤の性状

d−クロルフェニラミンマレイン酸塩シロップ0.04%「日新」

性状だいだい色澄明でオレンジ臭を有するシロップ剤
比重約1.21

4. 効能又は効果

○じん麻疹
○血管運動性浮腫
○枯草熱
○皮膚疾患に伴う瘙痒(湿疹・皮膚炎、皮膚瘙痒症、薬疹)
○アレルギー性鼻炎
○血管運動性鼻炎
○感冒等上気道炎に伴うくしゃみ・鼻汁・咳嗽

6. 用法及び用量

d-クロルフェニラミンマレイン酸塩として、通常成人1回2mgを1日1~4回経口投与する。
なお、年令、症状により適宜増減する。

8. 重要な基本的注意

  1. 8.1 眠気を催すことがあるので、本剤投与中の患者には自動車の運転等危険を伴う機械の操作には従事させないよう十分注意すること。
  2. 8.2 再生不良性貧血、無顆粒球症があらわれることがあるので、血液検査を行うなど観察を十分に行うこと。

9. 特定の背景を有する患者に関する注意

9.1 合併症・既往歴等のある患者

  1. 9.1.1 開放隅角緑内障の患者

    抗コリン作用により眼圧が上昇し、症状を悪化させることがある。

  2. 9.1.2 眼内圧亢進のある患者

    抗コリン作用により眼内圧が上昇し、症状が増悪するおそれがある。

  3. 9.1.3 甲状腺機能亢進症のある患者

    抗コリン作用により症状が増悪するおそれがある。

  4. 9.1.4 狭窄性消化性潰瘍、幽門十二指腸通過障害のある患者

    抗コリン作用により平滑筋の運動抑制、緊張低下が起こり、症状が増悪するおそれがある。

  5. 9.1.5 循環器系疾患のある患者

    抗コリン作用による心血管系への作用により、症状が増悪するおそれがある。

  6. 9.1.6 高血圧症のある患者

    抗コリン作用により血管拡張が抑制され、血圧が上昇するおそれがある。

9.5 妊婦

妊婦又は妊娠している可能性のある女性には、治療上の有益性が危険性を上回ると判断される場合にのみ投与すること。

9.6 授乳婦

治療上の有益性及び母乳栄養の有益性を考慮し、授乳の継続又は中止を検討すること。

9.7 小児等

  1. 9.7.1 低出生体重児及び新生児

    投与しないこと。中枢神経系興奮等の抗コリン作用に対する感受性が高く、痙攣等の重篤な反応があらわれるおそれがある。

  2. 9.7.2 乳児、幼児及び小児

    乳児、幼児及び小児を対象とした臨床試験は実施していない。

9.8 高齢者

患者の状態を観察しながら慎重に投与すること。一般に生理機能が低下している。

10. 相互作用

    10.2 併用注意(併用に注意すること)

    薬剤名等臨床症状・措置方法機序・危険因子
    • 中枢神経抑制剤
      • バルビツール酸誘導体、プリミドン
    • アルコール
    • MAO阻害剤
    • 抗コリン作用を有する薬剤
      • チキジウム臭化物、アトロピン硫酸塩水和物、ブチルスコポラミン臭化物

    相互に作用を増強することがあるので、併用する場合には、減量するなど慎重に投与すること。

    中枢神経抑制剤、アルコール:
    本剤の中枢抑制作用により、作用が増強される。

    MAO阻害剤:
    本剤の解毒機構に干渉し、作用を遷延化し増強することがある。

    • ドロキシドパ、ノルアドレナリン

    併用により血圧の異常上昇を来すおそれがある。

    本剤はヒスタミンによる毛細血管拡張を抑制する。

    11. 副作用

    次の副作用があらわれることがあるので、観察を十分に行い、異常が認められた場合には投与を中止するなど適切な処置を行うこと。

    11.1 重大な副作用

    1. 11.1.1 ショック(頻度不明)

      チアノーゼ、呼吸困難、胸内苦悶、血圧低下等の症状があらわれた場合には、投与を中止し、適切な処置を行うこと。

    2. 11.1.2 痙攣、錯乱(いずれも頻度不明)
    3. 11.1.3 再生不良性貧血、無顆粒球症1),2) (いずれも頻度不明)

    11.2 その他の副作用

    5%以上又は頻度不明

    0.1%未満

    過敏症

    発疹、光線過敏症等

    精神神経系

    鎮静、神経過敏、頭痛、焦燥感、複視、眠気、不眠、めまい、耳鳴、前庭障害、多幸症、情緒不安、ヒステリー、振戦、神経炎、協調異常、感覚異常、霧視等

    消化器

    口渇、胸やけ、食欲不振、悪心・嘔吐、腹痛、便秘、下痢等

    泌尿器

    頻尿、排尿困難、尿閉等

    循環器

    低血圧、心悸亢進、頻脈、期外収縮

    呼吸器

    鼻及び気道の乾燥、気管分泌液の粘性化、喘鳴、鼻閉等

    血液1)

    溶血性貧血

    血小板減少

    肝臓

    肝機能障害(ASTの上昇・ALTの上昇・Al-Pの上昇等)

    その他

    悪寒、発汗異常、疲労感、胸痛、月経異常

    16. 薬物動態

    16.8 その他

    d-クロルフェニラミンマレイン酸塩シロップ0.04%「日新」の生物学的同等性に関しては、アニミングシロップ(昭和55年承認、販売名変更前製剤)の承認申請時添付資料により評価された。

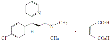
    19. 有効成分に関する理化学的知見

    一般的名称

    d-クロルフェニラミンマレイン酸塩(d-Chlorpheniramine Maleate)

    化学名

    (3S)-3-(4-Chlorophenyl)-N,N-dimethyl-3-pyridin-2-ylpropylamine monomaleate

    分子式

    C16H19ClN2・C4H4O4

    分子量

    390.86

    性状

    白色の結晶性の粉末である。水、メタノール又は酢酸(100)に極めて溶けやすく、N,N-ジメチルホルムアミド又はエタノール(99.5)に溶けやすい。希塩酸に溶ける。

    化学構造式

    融点

    111~115℃

    22. 包装

    500mL×1本(褐色ガラス瓶)

    24. 文献請求先及び問い合わせ先

    日新製薬株式会社 安全管理部

    〒994-0069 山形県天童市清池東二丁目3番1号

    TEL 023-655-2131 FAX 023-655-3419
    E-mail:d-info@yg-nissin.co.jp

    26. 製造販売業者等

    26.1 製造販売元

    日新製薬株式会社

    山形県天童市清池東二丁目3番1号

    〒100-0013 東京都千代田区霞が関3-3-2 新霞が関ビル

    画面を閉じる

    Copyright © Pharmaceuticals and Medical Devices Agency, All Rights reserved.