医療用医薬品 詳細表示

ミノアレ散66.7%

処方せん医薬品

添付文書番号
企業コード
作成又は改訂年月
日本標準商品分類番号
薬効分類名
承認等
一般的名称
2.禁忌(次の患者には投与しないこと)
3.組成・性状
3.1組成
3.2製剤の性状
4.効能又は効果
6.用法及び用量
7.用法及び用量に関連する注意
8.重要な基本的注意
9.特定の背景を有する患者に関する注意
9.2腎機能障害患者
9.3肝機能障害患者
9.5妊婦
9.6授乳婦
9.7小児等
9.8高齢者
11.副作用
11.1重大な副作用
11.2その他の副作用
15.その他の注意
15.1臨床使用に基づく情報
16.薬物動態
16.1血中濃度
16.4代謝
16.5排泄
18.薬効薬理
18.1作用機序
18.2けいれんに対する拮抗作用
18.3その他の作用
19.有効成分に関する理化学的知見
20.取扱い上の注意
22.包装
23.主要文献
24.文献請求先及び問い合わせ先
26.製造販売業者等

ミノアレ散66.7%

添付文書番号

1133002B1032_2_04

企業コード

530169

作成又は改訂年月

2022年3月改訂(第1版)

日本標準商品分類番号

871133

薬効分類名

抗てんかん剤

承認等

ミノアレ散66.7%

販売名コード

YJコード

1133002B1032

販売名英語表記

MINOALE Powder

販売名ひらがな

みのあれさん66.7%

承認番号等

承認番号

21900AMX00958000

販売開始年月

1949年3月

貯法・有効期間

貯法

30℃以下で保存

有効期間

3年

一般的名称

トリメタジオン散

2. 禁忌(次の患者には投与しないこと)

  1. 2.1 本剤の成分に対し過敏症の患者
  2. 2.2 妊婦又は妊娠している可能性のある女性
  3. 2.3 重篤な肝障害のある患者
  4. 2.4 重篤な腎障害のある患者
  5. 2.5 重篤な血液障害のある患者
  6. 2.6 網膜・視神経障害のある患者

3. 組成・性状

3.1 組成

ミノアレ散66.7%

有効成分1g中
トリメタジオン   667mg
添加剤トウモロコシデンプン、軽質無水ケイ酸、ステアリン酸マグネシウム、エタノール、エチルバニリン、D-ソルビトール、バニリン、プロピレングリコール、香料

3.2 製剤の性状

ミノアレ散66.7%

剤形散剤
性状白色の粉末
バニラの芳香がある。

4. 効能又は効果

  • 定型欠神発作(小発作)
  • 小型(運動)発作[ミオクロニー発作、失立(無動)発作、点頭てんかん(幼児けい縮発作、BNSけいれん等)]

6. 用法及び用量

  • トリメタジオンとして、通常成人1日1.0gを毎食後3回に分割経口投与する。症状、耐薬性に応じて適宜漸増し、治療効果がみられるまで増量するが、最高1日2.0gを限度とする。
  • 小児においては、成人量を基準として体重により決定する。
  • 症状、耐薬性に応じて適宜増減する。

7. 用法及び用量に関連する注意

  • 1日の製剤量は以下のとおりである。

    通常投与量

    最高投与量

    • ミノアレ散66.7%

    散として1.5g

    散として3.0g

8. 重要な基本的注意

  1. 8.1 混合発作型では、単独投与により大発作の誘発又は増悪を招くことがある。
  2. 8.2 連用中は定期的に肝・腎機能、血液検査を行うことが望ましい。,,
  3. 8.3 眠気、注意力・集中力・反射運動能力等の低下が起こることがあるので、本剤投与中の患者には自動車の運転など危険を伴う機械の操作に従事させないよう注意すること。
  4. 8.4 本剤の投与により羞明、複視、視覚障害があらわれることがあるため、定期的に視力検査を行うことが望ましい。

9. 特定の背景を有する患者に関する注意

9.2 腎機能障害患者

  1. 9.2.1 重篤な腎障害のある患者

    投与しないこと。血中濃度が上昇するおそれがある。,

9.3 肝機能障害患者

  1. 9.3.1 重篤な肝障害のある患者

    投与しないこと。血中濃度が上昇するおそれがある。,

9.5 妊婦

投与しないこと。妊娠中に本剤を単独又は併用投与されたてんかん患者の中に、奇形を有する児(口唇裂、口蓋裂、心奇形等)を出産した例が非服薬群と比較して有意に多いとの疫学的調査報告がある。

9.6 授乳婦

治療上の有益性及び母乳栄養の有益性を考慮し、授乳の継続又は中止を検討すること。

9.7 小児等

小児等を対象とした臨床試験は実施していない。

9.8 高齢者

少量から投与を開始するなど用量に留意すること。生理機能(肝機能、腎機能)が低下していることが多い。

11. 副作用

次の副作用があらわれることがあるので、観察を十分に行い、異常が認められた場合には投与を中止するなど適切な処置を行うこと。

11.1 重大な副作用

  1. 11.1.1 皮膚粘膜眼症候群(Stevens-Johnson症候群)、中毒性表皮壊死融解症(Toxic Epidermal Necrolysis:TEN)、SLE様症状(いずれも頻度不明)
  2. 11.1.2 再生不良性貧血、汎血球減少(いずれも頻度不明)

  3. 11.1.3 筋無力症(頻度不明)

11.2 その他の副作用

頻度不明

過敏症

猩紅熱様・麻疹様・中毒疹様発疹

血液

血小板減少、白血球減少、出血傾向

肝臓

黄疸等の肝障害

腎臓

腎障害

精神神経系

眠気、眩暈、頭痛、倦怠感、神経過敏、運動失調、不眠、性格変化

循環器

血圧降下

羞明、複視、視覚障害

消化器

食欲不振、悪心・嘔吐

その他

体重減少、脱毛

15. その他の注意

15.1 臨床使用に基づく情報

海外で実施された複数の抗てんかん薬における、てんかん、精神疾患等を対象とした199のプラセボ対照臨床試験の検討結果において、自殺念慮及び自殺企図の発現のリスクが、抗てんかん薬の服用群でプラセボ群と比較して約2倍高く(抗てんかん薬服用群:0.43%、プラセボ群:0.24%)、抗てんかん薬の服用群では、プラセボ群と比べ1,000人あたり1.9人多いと計算された(95%信頼区間:0.6~3.9)。また、てんかん患者のサブグループでは、プラセボ群と比べ1,000人あたり2.4人多いと計算されている。

16. 薬物動態

16.1 血中濃度

  1. 16.1.1 単回投与

    [健康成人(外国人)、600mg 1回投与]1)

    Tmax(hr)

    Cmax(μg/mL)

    t1/2(hr)

    0.5

    14

    16

16.4 代謝

主として肝臓で脱メチル化されてジメタジオン(活性あり)になる2)

16.5 排泄

  1. 16.5.1 排泄経路

    主として尿中

  2. 16.5.2 排泄率

    投与後48時間における尿中排泄率はトリメタジオンとして0.8%、ジメタジオンとして1.9%であった3)。(健康成人、4mg/kg投与)

18. 薬効薬理

18.1 作用機序

トリメタジオンではフェニトインでほとんど作用の認められないペンテトラゾールけいれんに対する拮抗作用が最も強くあらわれるのに対し4),5)、フェニトインで特徴的とされる最大電撃けいれんに対する作用は、相当大量を用いないと認められない5),6)。また、脊髄におけるpost-tetanic potentiation(PTP)を減少させる作用もみられない7)。これらのことから、本剤の作用様式はフェニトインとは全く異なっていることが示唆される。

18.2 けいれんに対する拮抗作用

トリメタジオンは、動物実験において、電撃けいれん(ラット、ネコ、ウサギ)4),5),6)、ペンテトラゾールけいれん(マウス、ラット)4),5)およびストリキニーネけいれん(マウス)4)に対して拮抗作用を有する。

18.3 その他の作用

トリメタジオンには、視床のcentral lateral nucleus の電気刺激による後発射の閾値上昇作用(ネコ)8)やペンテトラゾール(中等量)静注によりもたらされる小発作様脳波所見を抑制する作用(ウサギ)9)も認められる。

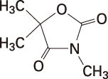
19. 有効成分に関する理化学的知見

一般的名称

トリメタジオン(Trimethadione)

化学名

3,5,5-Trimethyl-1,3-oxazolidine-2,4-dione

分子式

C6H9NO3

分子量

143.14

性状

白色の結晶又は結晶性の粉末で、カンフルようのにおいがある。
エタノール(95)又はクロロホルムに極めて溶けやすく、ジエチルエーテルに溶けやすく、水にやや溶けやすい。

化学構造式

 

融点

45~47℃

20. 取扱い上の注意

  • 主薬に揮散性があるので、30℃以下で保存し、プラスチックボトル開封後は取扱いに注意すること。

22. 包装

100g[プラスチックボトル;バラ]

24. 文献請求先及び問い合わせ先

日医工株式会社 お客様サポートセンター

〒930-8583 富山市総曲輪1丁目6番21

TEL(0120)517-215

FAX(076)442-8948

26. 製造販売業者等

26.1 製造販売元

日医工株式会社

富山市総曲輪1丁目6番21

〒100-0013 東京都千代田区霞が関3-3-2 新霞が関ビル

画面を閉じる

Copyright © Pharmaceuticals and Medical Devices Agency, All Rights reserved.