医療用医薬品 詳細表示

プレガバリンカプセル25mg「日医工」/プレガバリンカプセル75mg「日医工」/プレガバリンカプセル150mg「日医工」

処方せん医薬品

添付文書番号
企業コード
作成又は改訂年月
日本標準商品分類番号
薬効分類名
承認等
一般的名称
2.禁忌(次の患者には投与しないこと)
3.組成・性状
3.1組成
3.2製剤の性状
4.効能又は効果
5.効能又は効果に関連する注意
6.用法及び用量
7.用法及び用量に関連する注意
8.重要な基本的注意
9.特定の背景を有する患者に関する注意
9.1合併症・既往歴等のある患者
9.2腎機能障害患者
9.5妊婦
9.6授乳婦
9.7小児等
9.8高齢者
10.相互作用
10.2併用注意(併用に注意すること)
11.副作用
11.1重大な副作用
11.2その他の副作用
13.過量投与
14.適用上の注意
15.その他の注意
15.1臨床使用に基づく情報
15.2非臨床試験に基づく情報
16.薬物動態
16.1血中濃度
16.2吸収
16.3分布
16.4代謝
16.5排泄
16.6特定の背景を有する患者
16.7薬物相互作用
16.8その他
17.臨床成績
17.1有効性及び安全性に関する試験
17.3その他
18.薬効薬理
18.1作用機序
18.2鎮痛作用
19.有効成分に関する理化学的知見
22.包装
23.主要文献
24.文献請求先及び問い合わせ先
26.製造販売業者等

プレガバリンカプセル25mg「日医工」/プレガバリンカプセル75mg「日医工」/プレガバリンカプセル150mg「日医工」

添付文書番号

1190017M1052_2_01

企業コード

530169

作成又は改訂年月

2026年3月改訂(第2版)
2023年8月改訂(第1版)

日本標準商品分類番号

871190

薬効分類名

疼痛治療剤(神経障害性疼痛・線維筋痛症)

承認等

プレガバリンカプセル25mg「日医工」

販売名コード

YJコード

1190017M1052

販売名英語表記

Pregabalin Capsules

販売名ひらがな

ぷれがばりんかぷせる25mg「にちいこう」

承認番号等

承認番号

30200AMX00819000

販売開始年月

2020年12月

貯法・有効期間

貯法

室温保存

有効期間

3年

プレガバリンカプセル75mg「日医工」

販売名コード

YJコード

1190017M2059

販売名英語表記

Pregabalin Capsules

販売名ひらがな

ぷれがばりんかぷせる75mg「にちいこう」

承認番号等

承認番号

30200AMX00820000

販売開始年月

2020年12月

貯法・有効期間

貯法

室温保存

有効期間

3年

プレガバリンカプセル150mg「日医工」

販売名コード

YJコード

1190017M3055

販売名英語表記

Pregabalin Capsules

販売名ひらがな

ぷれがばりんかぷせる150mg「にちいこう」

承認番号等

承認番号

30200AMX00821000

販売開始年月

2020年12月

貯法・有効期間

貯法

室温保存

有効期間

3年

一般的名称

プレガバリン

2. 禁忌(次の患者には投与しないこと)

本剤の成分に対し過敏症の既往歴のある患者

3. 組成・性状

3.1 組成

プレガバリンカプセル25mg「日医工」

有効成分1カプセル中
プレガバリン   25.00mg
添加剤D-マンニトール、部分アルファー化デンプン、タルク
カプセル本体:ゼラチン、ラウリル硫酸ナトリウム、酸化チタン

プレガバリンカプセル75mg「日医工」

有効成分1カプセル中
プレガバリン   75.00mg
添加剤D-マンニトール、部分アルファー化デンプン、タルク
カプセル本体:ゼラチン、ラウリル硫酸ナトリウム、酸化チタン、三二酸化鉄

プレガバリンカプセル150mg「日医工」

有効成分1カプセル中
プレガバリン   150.00mg
添加剤D-マンニトール、部分アルファー化デンプン、タルク
カプセル本体:ゼラチン、ラウリル硫酸ナトリウム、酸化チタン

3.2 製剤の性状

プレガバリンカプセル25mg「日医工」

剤形硬カプセル
外形
大きさ4号カプセル
色調・性状キャップ:白色
ボディ:白色
本体表示プレガバリン
25mg
日医工
包装コード631

プレガバリンカプセル75mg「日医工」

剤形硬カプセル
外形
大きさ4号カプセル
色調・性状キャップ:濃赤褐色
ボディ:白色
本体表示プレガバリン
75mg
日医工
包装コード632

プレガバリンカプセル150mg「日医工」

剤形硬カプセル
外形
大きさ3号カプセル
色調・性状キャップ:白色
ボディ:白色
本体表示プレガバリン
150mg
日医工
包装コード633

4. 効能又は効果

  • 神経障害性疼痛
  • 線維筋痛症に伴う疼痛

5. 効能又は効果に関連する注意

  • 〈線維筋痛症に伴う疼痛〉

    線維筋痛症の診断は、米国リウマチ学会の分類(診断)基準等の国際的な基準に基づき慎重に実施し、確定診断された場合にのみ投与すること。

6. 用法及び用量

  • 〈神経障害性疼痛〉

    通常、成人には初期用量としてプレガバリン1日150mgを1日2回に分けて経口投与し、その後1週間以上かけて1日用量として300mgまで漸増する。なお、年齢、症状により適宜増減するが、1日最高用量は600mgを超えないこととし、いずれも1日2回に分けて経口投与する。

  • 〈線維筋痛症に伴う疼痛〉

    通常、成人には初期用量としてプレガバリン1日150mgを1日2回に分けて経口投与し、その後1週間以上かけて1日用量として300mgまで漸増した後、300~450mgで維持する。なお、年齢、症状により適宜増減するが、1日最高用量は450mgを超えないこととし、いずれも1日2回に分けて経口投与する。

7. 用法及び用量に関連する注意

  1. 7.1 本剤の投与を中止する場合には、少なくとも1週間以上かけて徐々に減量すること。
  2. 7.2 腎機能障害患者に本剤を投与する場合は、下表に示すクレアチニンクリアランス値を参考として本剤の投与量及び投与間隔を調節すること。また、血液透析を受けている患者では、クレアチニンクリアランス値に応じた1日用量に加えて、血液透析を実施した後に本剤の追加投与を行うこと。複数の用量が設定されている場合には、低用量から開始し、忍容性が確認され、効果不十分な場合に増量すること。なお、ここで示している用法・用量はシミュレーション結果に基づくものであることから、各患者ごとに慎重に観察しながら、用法・用量を調節すること。,,
  • 〈神経障害性疼痛〉

    クレアチニンクリアランス
    (mL/min)

    ≥60

    ≥30-<60

    ≥15-<30

    <15

    血液透析後の補充用量注)

    1日投与量

    150~600mg

    75~300mg

    25~150mg

    25~75mg

    初期用量

    1回75mg
    1日2回

    1回25mg
    1日3回
    又は
    1回75mg
    1日1回

    1回25mg
    1日1回
    もしくは2回
    又は
    1回50mg
    1日1回

    1回25mg
    1日1回

    25又は
    50mg

    維持量

    1回150mg
    1日2回

    1回50mg
    1日3回
    又は
    1回75mg
    1日2回

    1回75mg
    1日1回

    1回25又は50mg
    1日1回

    50又は
    75mg

    最高投与量

    1回300mg
    1日2回

    1回100mg
    1日3回
    又は
    1回150mg
    1日2回

    1回75mg
    1日2回
    又は
    1回150mg
    1日1回

    1回75mg
    1日1回

    100又は
    150mg

    注)2日に1回、本剤投与6時間後から4時間血液透析を実施した場合のシミュレーション結果に基づく。

  • 〈線維筋痛症に伴う疼痛〉

    クレアチニンクリアランス
    (mL/min)

    ≥60

    ≥30-<60

    ≥15-<30

    <15

    血液透析後の補充用量注)

    1日投与量

    150~450mg

    75~225mg

    25~150mg

    25~75mg

    初期用量

    1回75mg
    1日2回

    1回25mg
    1日3回
    又は
    1回75mg
    1日1回

    1回25mg
    1日1回
    もしくは2回
    又は
    1回50mg
    1日1回

    1回25mg
    1日1回

    25又は
    50mg

    維持量

    1回150mg
    1日2回

    1回50mg
    1日3回
    又は
    1回75mg
    1日2回

    1回75mg
    1日1回

    1回25又は50mg
    1日1回

    50又は
    75mg

    維持量
    (最高投与量)

    1回225mg
    1日2回

    1回75mg
    1日3回

    1回100
    もしくは
    125mg
    1日1回
    又は
    1回75mg
    1日2回

    1回50又は75mg
    1日1回

    75又は
    100mg

    注)2日に1回、本剤投与6時間後から4時間血液透析を実施した場合のシミュレーション結果に基づく。

8. 重要な基本的注意

  • 〈効能共通〉
    1. 8.1 本剤の投与によりめまい、傾眠、意識消失等があらわれ、自動車事故に至った例もあるので、本剤投与中の患者には、自動車の運転等危険を伴う機械の操作に従事させないよう注意すること。
    2. 8.2 本剤の急激な投与中止により、不眠、悪心、頭痛、下痢、不安及び多汗症等の離脱症状があらわれることがあるので、投与を中止する場合には、少なくとも1週間以上かけて徐々に減量すること。
    3. 8.3 本剤の投与により体重増加を来すことがあるので、肥満に注意し、肥満の徴候があらわれた場合は、食事療法、運動療法等の適切な処置を行うこと。特に、投与量の増加、あるいは長期投与に伴い体重増加が認められることがあるため、定期的に体重計測を実施すること。
    4. 8.4 本剤の投与により、弱視、視覚異常、霧視、複視等の眼障害が生じる可能性があるので、診察時に、眼障害について問診を行う等注意し、異常が認められた場合には適切な処置を行うこと。
  • 〈神経障害性疼痛〉
    1. 8.5 本剤による神経障害性疼痛の治療は原因療法ではなく対症療法であることから、疼痛の原因となる疾患の診断及び治療を併せて行い、本剤を漫然と投与しないこと。

9. 特定の背景を有する患者に関する注意

9.1 合併症・既往歴等のある患者

  1. 9.1.1 重度のうっ血性心不全の患者

    心血管障害を有する患者において、うっ血性心不全があらわれることがある。

  2. 9.1.2 血管浮腫の既往がある患者

  3. 9.1.3 薬物依存の傾向のある患者又は既往歴のある患者、精神障害のある患者

    依存の兆候がないかを観察し、慎重に投与すること。

9.2 腎機能障害患者

クレアチニンクリアランス値を参考として本剤の投与量及び投与間隔を調節すること。本剤は主として未変化体が尿中に排泄されるため、血漿中濃度が高くなり副作用が発現しやすくなるおそれがある。,,

9.5 妊婦

妊婦又は妊娠している可能性のある女性には、治療上の有益性が危険性を上回ると判断される場合にのみ投与すること。動物実験で、胎児異常(低体重、限局性浮腫の発生率上昇、骨格変異、骨化遅延等)、出生児への影響(体重低下、生存率の低下、聴覚性驚愕反応の低下、発育遅延、生殖能に対する影響等)が報告されている1)

9.6 授乳婦

本剤投与中は授乳を避けさせること。本剤はヒト母乳中への移行が認められている2)

9.7 小児等

小児等を対象とした有効性及び安全性を指標とした臨床試験は実施していない。幼若ラットでは本薬の感受性が高く、最大臨床用量(600mg/日)と同等の曝露において、中枢神経症状(自発運動亢進及び歯ぎしり)及び成長への影響(一過性の体重増加抑制)が報告されている。また、最大臨床用量の2倍を超える曝露で聴覚性驚愕反応の低下が、約5倍の曝露で発情休止期の延長が報告されている3)

9.8 高齢者

  1. 9.8.1 クレアチニンクリアランス値を参考に投与量、投与間隔を調節するなど、慎重に投与すること。腎機能が低下していることが多い。,,
  2. 9.8.2 めまい、傾眠、意識消失等により転倒し骨折等を起こした例がある。

10. 相互作用

    10.2 併用注意(併用に注意すること)

    薬剤名等臨床症状・措置方法機序・危険因子

    中枢神経抑制剤

    • オピオイド系鎮痛剤

    呼吸不全、昏睡がみられたとの報告がある。

    機序不明

    オキシコドン
    ロラゼパム
    アルコール(飲酒)

    認知機能障害及び粗大運動機能障害に対して本剤が相加的に作用するおそれがある。

    相加的な作用による

    血管浮腫を引き起こす薬剤(アンジオテンシン変換酵素阻害薬等)

    血管浮腫との関連性が示されている薬剤を服用している患者では、血管浮腫(顔面、口、頸部の腫脹など)を発症するリスクが高まるおそれがある。

    機序不明

    末梢性浮腫を引き起こす薬剤(チアゾリジン系薬剤等)

    チアゾリジン系薬剤と本剤の併用により末梢性浮腫を発症するリスクが高まるおそれがある。また、チアゾリジン系薬剤は体重増加又は体液貯留を引き起こし、心不全が発症又は悪化することがあるため、本剤と併用する場合には慎重に投与すること。

    機序不明

    11. 副作用

    次の副作用があらわれることがあるので、観察を十分に行い、異常が認められた場合には投与を中止するなど適切な処置を行うこと。

    11.1 重大な副作用

    1. 11.1.1 めまい(20%以上)、傾眠(20%以上)、意識消失(0.3%未満)

      めまい、傾眠、意識消失があらわれ、転倒し骨折等に至ったとの報告がある。,

    2. 11.1.2 心不全(0.3%未満)、肺水腫(頻度不明)

      心不全のリスクがある患者では、観察を十分に行い、異常が認められた場合には投与を中止し、適切な処置を行うこと。

    3. 11.1.3 横紋筋融解症(頻度不明)

      筋肉痛、脱力感、CK上昇、血中及び尿中ミオグロビン上昇等があらわれた場合には、投与を中止し、適切な処置を行うこと。また、横紋筋融解症による急性腎障害の発症に注意すること。

    4. 11.1.4 腎不全(0.1%未満)
    5. 11.1.5 血管浮腫(頻度不明)

      血管浮腫等の過敏症があらわれることがある。

    6. 11.1.6 低血糖(0.3%未満)

      脱力感、倦怠感、冷汗、振戦、意識障害等の低血糖症状があらわれた場合には投与を中止し、適切な処置を行うこと。

    7. 11.1.7 間質性肺炎(頻度不明)

      咳嗽、呼吸困難、発熱等の臨床症状を十分に観察し、異常が認められた場合には胸部X線、胸部CT等の検査を実施すること。間質性肺炎が疑われた場合には投与を中止し、副腎皮質ホルモン剤の投与等の適切な処置を行うこと。

    8. 11.1.8 ショック(頻度不明)、アナフィラキシー(0.1%未満)
    9. 11.1.9 皮膚粘膜眼症候群(Stevens-Johnson症候群)(頻度不明)、多形紅斑(頻度不明)
    10. 11.1.10 劇症肝炎(頻度不明)、肝機能障害(0.4%)

      劇症肝炎、AST、ALT上昇等を伴う肝機能障害があらわれることがある。

    11.2 その他の副作用

    1%以上

    0.3%以上1%未満

    0.3%未満

    頻度不明

    血液及びリンパ系障害

    好中球減少症、白血球減少症

    血小板減少症

    代謝及び栄養障害

    食欲不振、食欲亢進、高脂血症

    高血糖

    精神障害

    不眠症

    錯乱、失見当識、多幸気分、異常な夢、幻覚

    うつ病、落ち着きのなさ、気分動揺、抑うつ気分、無感情、不安、リビドー消失、睡眠障害、思考異常

    離人症、無オルガズム症、激越、喚語困難、リビドー亢進、パニック発作、脱抑制

    神経系障害

    浮動性めまい、頭痛、平衡障害、運動失調

    振戦、注意力障害、感覚鈍麻、嗜眠、構語障害、記憶障害、健忘、錯感覚、協調運動異常

    鎮静、認知障害、ミオクローヌス、反射消失、ジスキネジー、精神運動亢進、体位性めまい、知覚過敏、味覚異常、灼熱感、失神、精神的機能障害、会話障害

    昏迷、嗅覚錯誤、書字障害

    眼障害

    霧視、複視、視力低下

    視覚障害、網膜出血

    視野欠損、眼部腫脹、眼痛、眼精疲労、流涙増加、光視症、斜視、眼乾燥、眼振

    眼刺激、散瞳、動揺視、深径覚の変化、視覚の明るさ、角膜炎

    耳及び迷路障害

    回転性めまい

    耳鳴

    聴覚過敏

    心臓障害

    動悸

    第一度房室ブロック、頻脈、洞性不整脈、洞性徐脈、心室性期外収縮

    洞性頻脈

    血管障害

    高血圧、低血圧、ほてり

    呼吸器、胸郭及び縦隔障害

    呼吸困難

    鼻咽頭炎、咳嗽、いびき、鼻出血、鼻炎

    鼻乾燥、鼻閉、咽喉絞扼感

    胃腸障害

    便秘、悪心、下痢、腹痛、嘔吐

    腹部膨満、消化不良、鼓腸、胃炎、胃不快感、口内炎

    流涎過多、胃食道逆流性疾患、膵炎、舌腫脹

    腹水、嚥下障害

    皮膚及び皮下組織障害

    発疹

    そう痒症、湿疹、眼窩周囲浮腫

    多汗症、冷汗、蕁麻疹、脱毛

    丘疹

    筋骨格系及び結合組織障害

    筋力低下、筋痙縮、関節腫脹、四肢痛、背部痛

    筋肉痛、重感、関節痛、筋骨格硬直

    腎及び尿路障害

    尿失禁、排尿困難

    尿閉

    乏尿

    生殖系及び乳房障害

    乳房痛、勃起不全、女性化乳房

    射精遅延、性機能不全、無月経、乳房分泌、月経困難症、乳房肥大

    全身障害及び投与局所様態

    浮腫、口渇、疲労、異常感、歩行障害、顔面浮腫

    無力症、疼痛、圧痕浮腫、倦怠感、胸痛

    発熱、冷感、悪寒、易刺激性、酩酊感

    胸部絞扼感

    傷害、中毒及び処置合併症

    転倒・転落

    臨床検査

    体重増加

    血中CK増加、ALT増加、AST増加、血中アミラーゼ増加、血中クレアチニン増加

    体重減少、血中尿酸増加

    血中カリウム減少

    13. 過量投与

    1. 13.1 症状

      15gまでの過量投与例が報告されており、過量投与時にみられた主な症状は、情動障害、傾眠、錯乱状態、抑うつ、激越、落ち着きのなさ、痙攣発作である。

    2. 13.2 処置

      本剤は血液透析により除去されることから、発現している症状の程度に応じて血液透析の実施を考慮すること。

    14. 適用上の注意

    14.1 薬剤交付時の注意

    • PTP包装の薬剤はPTPシートから取り出して服用するよう指導すること。PTPシートの誤飲により、硬い鋭角部が食道粘膜へ刺入し、更には穿孔をおこして縦隔洞炎等の重篤な合併症を併発することがある。

    15. その他の注意

    15.1 臨床使用に基づく情報

    1. 15.1.1 海外で実施された本剤を含む複数の抗てんかん薬における、てんかん、精神疾患等を対象とした199のプラセボ対照臨床試験の検討結果において、自殺念慮及び自殺企図の発現のリスクが、抗てんかん薬の服用群でプラセボ群と比較して約2倍高く(抗てんかん薬服用群:0.43%、プラセボ群:0.24%)、抗てんかん薬の服用群では、プラセボ群と比べ1000人あたり1.9人多いと計算された(95%信頼区間:0.6-3.9)。また、てんかん患者のサブグループでは、プラセボ群と比べ1000人あたり2.4人多いと計算されている注)
      注)本剤は海外で抗てんかん薬として承認されているが、本邦における本剤の効能・効果は「神経障害性疼痛、線維筋痛症に伴う疼痛」である。
    2. 15.1.2 薬物乱用に関連する受容体部位の活性作用は知られていないが、本剤を投与された患者で依存の症例が市販後に報告されている。

    15.2 非臨床試験に基づく情報

    1. 15.2.1 2年間のマウスがん原性試験において、最大臨床用量での平均ヒト曝露量の6倍以上の曝露量に相当する本薬の投与により、用量依存的に血管肉腫の発生率が増加したとの報告がある4)
    2. 15.2.2 2年間のラットがん原性試験において、最大臨床用量での平均ヒト曝露量の5倍以上の曝露量に相当する本薬の投与により、加齢アルビノラットに通常認められる網膜萎縮の発現率が増加したとの報告がある4)。また、ラットを用いた組織分布試験において、水晶体での14C-プレガバリン由来放射能の消失は血液及びほとんどの組織にくらべ緩徐であったが、ラット13及び52週間反復投与毒性試験では水晶体に対する影響は認められなかった。眼に関する副作用の発現率はプラセボ群より高く、神経障害性疼痛を対象とした13~16週間投与のプラセボ対照試験(3試験併合)のプラセボ群では3.8%に対し、本剤群(150~600mg/日)で10.6%、長期投与試験(3試験併合)では10.2%、線維筋痛症を対象とした16週間投与のプラセボ対照試験のプラセボ群では2.8%に対し、本剤群(300~450mg/日)で9.2%、長期投与試験では9.4%であった。
    3. 15.2.3 雄ラットの受胎能及び初期胚発生に関する試験において、最大臨床用量での平均ヒト曝露量の28倍以上の曝露量に相当する本薬の投与により、胎児異常の発生頻度が増加したとの報告がある1)

    16. 薬物動態

    16.1 血中濃度

    1. 16.1.1 単回投与

      日本人健康成人に、プレガバリン50、100、200、250及び300mg(各投与量6例)を絶食時に単回経口投与した時、投与後約1時間でCmaxに達し、T1/2は約6時間であった。Cmax及びAUC0-∞は、300mgまでの用量範囲で、用量に比例して増加した5)

      投与量
      (mg)

      Cmax
      (μg/mL)

      Tmax
      (h)

      AUC0-∞
      (μg・h/mL)

      T1/2
      (h)

      CL/F
      (L/h)

      Vd/F
      (L)

      Ae
      (%)

      50

      2.03
      (0.40)

      0.67
      (0.26)

      10.7
      (1.1)

      5.98
      (0.65)

      4.72
      (0.44)

      40.6
      (4.9)

      83.9
      (5.4)

      100

      3.56
      (0.67)

      0.75
      (0.27)

      20.4
      (1.3)

      5.66
      (0.59)

      4.93
      (0.35)

      40.3
      (6.4)

      95.0
      (2.7)

      200

      6.35
      (0.73)

      1.00
      (0.32)

      43.2
      (3.0)

      5.93
      (0.32)

      4.64
      (0.32)

      39.7
      (2.7)

      91.8
      (2.6)

      250

      7.18
      (1.43)

      1.17
      (0.52)

      49.2
      (6.1)

      5.57
      (0.72)

      5.15
      (0.61)

      41.0
      (3.8)

      95.6
      (4.4)

      300

      8.25
      (1.36)

      1.08
      (0.38)

      61.7
      (6.3)

      5.80
      (0.62)

      4.91
      (0.52)

      40.9
      (4.3)

      97.7
      (7.3)

      絶食時投与、各6例、平均値(標準偏差)
      Cmax:最高血漿中濃度
      Tmax:最高血漿中濃度到達時間
      AUC0-∞:血漿中濃度-時間曲線下面積
      T1/2:血漿中濃度半減期
      CL/F:見かけの全身クリアランス
      Vd/F:見かけの分布容積
      Ae(%):単回投与後60時間までの未変化体の尿中排泄率

    2. 16.1.2 反復投与

      日本人健康成人にプレガバリン1回150及び300mg(各投与量8例)を1日2回7日間反復経口投与した時、投与後24~48時間で定常状態に達し、投与7日目のT1/2はそれぞれ6.02及び6.31時間であった。投与7日目のAUC0-12は、投与第1日目の1.4倍であった6)

      Cmax
      (μg/mL)

      Tmax
      (h)

      AUC0-12
      (μg・h/mL)

      T1/2
      (h)

      第1日

      第7日

      第1日

      第7日

      第1日

      第7日

      第1日

      第7日

      1回150mg
      (1日2回)

      4.23
      (0.72)

      6.30
      (0.74)

      1.3
      (1.1)

      0.9
      (0.4)

      22.2
      (1.9)

      31.6
      (3.6)

      5.11
      (0.69)

      6.02
      (0.47)

      1回300mg
      (1日2回)

      8.82
      (2.34)

      10.3
      (2.3)

      1.6
      (1.0)

      1.6
      (0.8)

      42.1
      (6.9)

      58.8
      (10.6)

      5.42
      (0.87)

      6.31
      (0.54)

      平均値(標準偏差)、各8例

    3. 16.1.3 生物学的同等性試験
      1. (1) プレガバリンカプセル25mg「日医工」

        プレガバリンカプセル25mg「日医工」及びリリカカプセル25mgを、クロスオーバー法によりそれぞれ1カプセル(プレガバリンとして25mg)健康成人男性に絶食単回経口投与して血漿中プレガバリン濃度を測定し、得られた薬物動態パラメータ(AUC、Cmax)について90%信頼区間法にて統計解析を行った結果、log(0.80)~log(1.25)の範囲内であり、両剤の生物学的同等性が確認された7)

        薬物動態パラメータ

        判定パラメータ

        参考パラメータ

        AUC0-24
        (μg・hr/mL)

        Cmax
        (μg/mL)

        Tmax
        (hr)

        t1/2
        (hr)

        プレガバリンカプセル25mg「日医工」

        5.110±0.648

        1.018±0.245

        0.77±0.23

        5.83±0.66

        リリカカプセル25mg

        5.113±0.573

        0.993±0.197

        0.73±0.23

        5.96±0.67

        (1カプセル投与,Mean±S.D.,n=24)

        血漿中薬物濃度推移

        血漿中濃度並びにAUC、Cmax等のパラメータは、被験者の選択、体液の採取回数・時間等の試験条件によって異なる可能性がある。

      2. (2) プレガバリンカプセル150mg「日医工」

        プレガバリンカプセル150mg「日医工」及びリリカカプセル150mgを、クロスオーバー法によりそれぞれ1カプセル(プレガバリンとして150mg)健康成人男性に絶食単回経口投与して血漿中プレガバリン濃度を測定し、得られた薬物動態パラメータ(AUC、Cmax)について90%信頼区間法にて統計解析を行った結果、log(0.80)~log(1.25)の範囲内であり、両剤の生物学的同等性が確認された7)

        薬物動態パラメータ

        判定パラメータ

        参考パラメータ

        AUC0-24
        (μg・hr/mL)

        Cmax
        (μg/mL)

        Tmax
        (hr)

        t1/2
        (hr)

        プレガバリンカプセル150mg「日医工」

        30.837±4.050

        4.345±0.929

        1.20±0.43

        6.39±0.72

        リリカカプセル150mg

        31.015±3.507

        4.190±0.778

        1.20±0.42

        6.40±0.67

        (1カプセル投与,Mean±S.D.,n=24)

        血漿中薬物濃度推移

        血漿中濃度並びにAUC、Cmax等のパラメータは、被験者の選択、体液の採取回数・時間等の試験条件によって異なる可能性がある。

    16.2 吸収

    1. 16.2.1 食事の影響

      日本人健康成人19例において、絶食時及び食後にプレガバリンを150mg単回経口投与した時のCmaxはそれぞれ4.95及び3.22μg/mL、Tmaxは0.947及び3.37時間、AUC0-48はそれぞれ31.2及び28.8μg・h/mLであった。食後投与においてCmaxは約35%低下し、Tmaxは約2.4時間延長したが、AUC0-48の低下は約8%であった8)

    16.3 分布

    日本人健康成人に、プレガバリン50、100、200、250及び300mg(各投与量6例)を絶食時に単回経口投与した時の見かけの分布容積(Vd/F)は約40Lであった。プレガバリンは血球に移行し、血漿中濃度に対する全血中濃度の比は、0.76であった。プレガバリンは、0.1~20μg/mLにおいて血漿蛋白に、ほとんど結合しなかった5),9),10)in vitro試験)。

    16.4 代謝

    プレガバリンはほとんど代謝を受けない。健康成人(外国人6例)に14C-プレガバリン100mg(107.9μCi)投与後、尿中に回収された放射能の約99%が未変化体であった。尿中に検出されたプレガバリンの主要代謝物であるN-メチル誘導体は尿中に投与量の0.9%として回収された。In vitro試験において、プレガバリン159μg/mL(1mM、600mg/日投与時の定常状態のCmaxの約10倍)でCYP1A2、CYP2A6、CYP2C9、CYP2C19、CYP2D6、CYP2E1及びCYP3A4に対する阻害は認められなかった9),11),12)

    16.5 排泄

    日本人健康成人に、プレガバリン50、100、200、250及び300mg(各投与量6例)を絶食時に単回経口投与した時のCL/Fは4.64~5.15L/hであった。この時の尿中排泄率は83.9~97.7%であった5)

    16.6 特定の背景を有する患者

    1. 16.6.1 高齢者

      年齢が67~78歳の日本人健康高齢者6例にプレガバリン100mgを単回経口投与した時、Tmaxは1.4時間、T1/2は6.32時間であった。AUC0-∞及びT1/2は、健康非高齢者にプレガバリン100mgを単回経口投与した時と比較してわずかに増大及び延長する傾向が確認された13)

      Cmax
      (μg/mL)

      Tmax
      (h)

      AUC0-∞
      (μg・h/mL)

      T1/2
      (h)

      CL/F
      (L/h)

      健康
      高齢者

      3.24
      (0.55)

      1.4
      (0.5)

      26.6
      (4.3)

      6.32
      (0.82)

      3.82
      (0.65)

      健康
      非高齢者

      3.56
      (0.67)

      0.75
      (0.27)

      20.4
      (1.3)

      5.66
      (0.59)

      4.93
      (0.35)

      絶食時投与、各6例、平均値(標準偏差)

    2. 16.6.2 腎機能障害患者
      1. (1) 腎機能の異なる被験者26例を対象に、プレガバリン50mgを単回経口投与した時、腎機能の低下に従ってT1/2が延長し、AUC0-∞が増加した。CL/F及び腎クリアランス(CLr)はクレアチニンクリアランスに比例した14)(外国人データ)。

        クレアチニンクリアランス

        Cmax
        (μg/mL)

        Tmax
        (h)

        AUC0-∞
        (μg・h/mL)

        T1/2
        (h)

        CL/F
        (mL/min)

        CLr
        (mL/min)

        ≥60mL/min
        (n=11)

        1.86
        (0.39)

        1.00
        (0.22)

        15.9
        (4.4)

        9.11
        (2.83)

        56.5
        (17.6)

        44.9
        (23.6)

        ≥30-<60mL/min
        (n=7)

        1.53
        (0.29)

        1.29
        (0.39)

        28.2
        (5.0)

        16.7
        (4.1)

        30.6
        (7.3)

        15.4
        (7.7)

        ≥15-<30mL/min
        (n=7)

        1.90
        (0.62)

        1.93
        (1.48)

        52.3
        (11.7)

        25.0
        (6.7)

        16.7
        (3.9)

        9.23
        (3.37)

        <15mL/min
        (n=1)

        1.69

        1.00

        101

        48.7

        8.30

        4.30

        投与量:50mg(単回)、平均値(標準偏差)
        CLr:腎クリアランス

      2. (2) 母集団薬物動態解析

        838例の被験者(日本人474例を含む:健康被験者70例、帯状疱疹後神経痛患者26例、糖尿病性末梢神経障害に伴う疼痛を有する患者154例及び線維筋痛症患者224例)を対象として母集団薬物動態解析を実施した結果、一次吸収を含む1-コンパートメントモデルが構築され、共変量としてCL/Fに対してクレアチニンクリアランス(CLcr)及び理想体重、Vd/Fに対してBMI、理想体重、性別及び年齢が同定されたが、プレガバリンの薬物動態に影響を与える因子としてはCL/Fに対するCLcrが重要であると考えられた。腎機能障害患者において、CLcrの低下により、プレガバリンのCL/Fは低下するため、CLcr値を参考とした用法・用量の調節が必要である。
        また、日本人の糖尿病性末梢神経障害に伴う疼痛患者において、CLcrが30mL/min以上60mL/min未満に低下している患者にプレガバリン150mgを1日2回反復経口投与(300mg/日)したときの定常状態におけるAUC0-12(AUC0-12,SS)のモデルによる推定値は、CLcrが60mL/min以上の患者にプレガバリン300mgを1日2回反復経口投与(600mg/日)したときと同じであった。CLcrが30mL/min以上60mL/min未満の患者におけるプレガバリンのクリアランスは、CLcrが60mL/min以上の患者の約半分であった15),16),,

        クレアチニン
        クリアランス

        投与量

        AUC0-12, ss
        (μg・h/mL)

        CL/F
        (mL/min)

        ≥60mL/min
        (n=31)

        1回300mg
        (1日2回)

        75.5
        (17.1)

        69.2
        (13.8)

        ≥30-<60mL/min
        (n=14)

        1回150mg
        (1日2回)

        80.3
        (16.5)

        32.3
        (6.34)

        平均値(標準偏差)

    3. 16.6.3 血液透析患者

      血液透析を受けている被験者12例にプレガバリン50mgを単回経口投与した時、4時間の血液透析により血漿中プレガバリン濃度は約50%まで減少した。その時の透析クリアランスは192mL/minであった14)(外国人データ)。

    4. 16.6.4 授乳婦

      産後12週間以上の授乳婦(10例)に、プレガバリン150mgを12時間ごとに投与(300mg/日)した時、プレガバリンは母乳に移行し、母乳中の定常状態における平均濃度は、母体血漿中の約76%であった。乳児の平均母乳摂取量を150mL/kg/日と仮定すると、プレガバリンの乳児への1日あたりの平均曝露量は0.31mg/kg/日(体重換算すると母体投与量の約7%)と推定される2)(外国人データ)。

    16.7 薬物相互作用

    プレガバリンは主として未変化体のまま尿中に排泄され、ヒトにおいてほとんど代謝されることなく、また血漿蛋白にも結合しないため、プレガバリンが薬物相互作用を引き起こす可能性は低い17)(外国人データ)。

    1. 16.7.1 ガバペンチン

      プレガバリンとガバペンチンの薬物相互作用について、健康成人11例を対象にプレガバリン100mg及びガバペンチン300mgを単回投与した試験、及び健康成人18例にプレガバリン100mg及びガバペンチン400mgを反復投与(投与間隔:8時間)した試験を実施して検討した。その結果、単回投与及び反復投与のいずれにおいても、プレガバリンの併用によってガバペンチンの薬物動態は変化しなかった。また、プレガバリンの吸収速度はガバペンチン併用によってわずかに低下したが、吸収量には影響がなかった18)

    2. 16.7.2 経口避妊薬(酢酸ノルエチンドロン及びエチニルエストラジオールの合剤)

      健康成人女性16例を対象に経口避妊薬(酢酸ノルエチンドロン1mg及びエチニルエストラジオール0.035mgの合剤1日1回)とプレガバリン(1回200mg1日3回)を同時に経口投与した時、プレガバリン併用時のノルエチンドロンのCmaxはプレガバリン非併用時と比較して変化せず、プレガバリン併用時のAUC0-24はプレガバリン非併用時と比較して16%増加し、プレガバリンはノルエチンドロンの薬物動態に影響を及ぼさなかった。プレガバリン併用時のエチニルエストラジオールのCmax及びAUC0-24は、プレガバリン非併用時と比較してそれぞれ5%及び14%増加し、プレガバリンはエチニルエストラジオールの薬物動態に影響を及ぼさなかった。また、経口避妊薬はプレガバリンの血漿中濃度(トラフ値)に影響を及ぼさなかった19)

    3. 16.7.3 ロラゼパム

      健康成人12例を対象にプレガバリン(1回300mg1日2回)を反復経口投与後、ロラゼパム(1mg)を併用投与した時、ロラゼパムのCmax及びAUC0-∞は、プレガバリン非併用時と比較してそれぞれ6%及び8%増加し、プレガバリンはロラゼパムの薬物動態に影響を及ぼさなかった。また、ロラゼパム併用時のプレガバリンのCmaxは、ロラゼパム非併用時より2%増加し、AUC0-12は1.8%低く、ロラゼパムはプレガバリンの薬物動態に影響を与えなかった。プレガバリンとロラゼパムの併用により、認知機能及び粗大運動機能における反応速度や正答率等が、単剤投与時に比べて相加的に低下する傾向が認められた20)

    4. 16.7.4 オキシコドン

      健康成人12例を対象にプレガバリン(1回300mg1日2回)を反復経口投与後、オキシコドン(10mg)を併用投与した時、オキシコドンのCmax及びAUC0-∞は、プレガバリン非併用時と比較してそれぞれ1.1%及び9.5%減少し、プレガバリンはオキシコドンの薬物動態に影響を及ぼさなかった。また、オキシコドン併用時のプレガバリンのCmaxは、オキシコドン非併用時より4.5%低かったが、AUC0-12は同程度であり、オキシコドンはプレガバリンの薬物動態に影響を与えなかった。プレガバリンとオキシコドンの併用により、認知機能及び粗大運動機能における反応速度や正答率等が、単剤投与時に比べて相加的に低下する傾向が認められた21)

    5. 16.7.5 エタノール

      健康成人13例を対象にプレガバリン(1回300mg1日2回)を反復経口投与後、エタノール(0.70g/kg)を併用投与した時、エタノールのCmax及びAUC0-∞は、プレガバリン非併用時と比較してそれぞれ8.9%及び9.6%減少し、プレガバリンはエタノールの薬物動態に影響を及ぼさなかった。また、エタノール併用時のプレガバリンのCmax及びAUC0-12は、エタノール非併用時と比較してそれぞれ21%及び1%高かったが、この差は臨床上問題となる差ではないと考えられた。プレガバリンとエタノールの併用により、認知機能及び粗大運動機能における反応速度や正答率等が、単剤投与時に比べて相加的に低下する傾向が認められた22)

    6. 16.7.6 フェニトイン

      フェニトイン単剤の維持投与により症状が安定している成人部分てんかん患者10例を対象にプレガバリン(1回200mg1日3回)を反復経口投与した時、プレガバリンはフェニトインの血漿中濃度(トラフ値)に影響を及ぼさず、またフェニトインもプレガバリンの薬物動態に影響を与えなかった23)

    7. 16.7.7 カルバマゼピン

      カルバマゼピン単剤を維持投与されている成人てんかん患者12例を対象にプレガバリン(1回200mg1日3回)を反復経口投与した時、プレガバリンはカルバマゼピン及びその代謝物(10,11-エポキシド体)の血漿中濃度(トラフ値)に影響を及ぼさず、またカルバマゼピンもプレガバリンの薬物動態に影響を与えなかった23)

    8. 16.7.8 バルプロ酸

      バルプロ酸ナトリウム単剤を維持投与されている成人てんかん患者12例を対象にプレガバリン(1回200mg1日3回)を反復経口投与した時、プレガバリンはバルプロ酸の血漿中濃度(トラフ値)に影響を及ぼさず、またバルプロ酸もプレガバリンの薬物動態に影響を与えなかった23)

    9. 16.7.9 ラモトリギン

      ラモトリギンを単剤で維持投与されている成人てんかん患者12例を対象にプレガバリン(1回200mg1日3回)を反復経口投与した時、プレガバリンはラモトリギンの血漿中濃度(トラフ値)に影響を及ぼさず、またラモトリギンもプレガバリンの薬物動態に影響を与えなかった23)

    16.8 その他

    プレガバリンカプセル75mg「日医工」は、プレガバリンカプセル150mg「日医工」を標準製剤としたとき、溶出挙動が同等と判定され、生物学的に同等とみなされた24)

    17. 臨床成績

    17.1 有効性及び安全性に関する試験

    1. 17.1.1 国内プラセボ対照試験

      帯状疱疹後神経痛患者を対象とした13週間投与の二重盲検比較試験において、主要評価項目である最終評価時の疼痛スコアは下表のとおりであり、プレガバリン300mg/日群及び600mg/日群ではプラセボ群と比較して統計学的に有意な改善が認められた25),26)

      投与群

      最終評価時の疼痛スコア1),2)

      症例数

      最小二乗平均
      ±標準誤差

      プラセボとの差
      [95%信頼区間]

      p値

      プラセボ

      97

      5.12±0.19

      -

      -

      プレガバリン
      150mg/日

      86

      4.81±0.20

      -0.31
      [-0.85,0.23]

      0.262

      プレガバリン
      300mg/日

      89

      4.26±0.20

      -0.86
      [-1.39,-0.32]

      0.002

      プレガバリン
      600mg/日3)

      97

      4.49±0.19

      -0.63
      [-1.15,-0.10]

      0.019

      1) 被験者が毎日記載する痛みの日誌から算出した1週間の平均疼痛スコア[0(痛みなし)から10(これ以上ない痛み)の11段階で評価され、スコアが大きいほど強い痛みを示す。]

      2) 投与群及びCLcr層を因子、ベースラインの疼痛スコアを共変量とする共分散分析

      3) クレアチニンクリアランス推定値(CLcr)によって、30<CLcr≤60mL/minの被験者には300mg/日、>60mL/minの被験者には600mg/日が投与された。

      安全性評価対象例中の副作用発現率は、プラセボ群で43.9%(43/98例)、プレガバリン150mg/日群で57.5%(50/87例)、300mg/日群で73.0%(65/89例)、600mg/日群で82.5%(80/97例)であった。主な副作用は、浮動性めまい(31.1%)、傾眠(28.6%)、便秘(12.1%)、末梢性浮腫(11.7%)であった。重篤な副作用は、150mg/日群に心筋梗塞1例(転帰:未回復)、300mg/日群に意識消失/低血圧の1例2件(転帰:回復)が報告された。

      糖尿病性末梢神経障害に伴う疼痛患者を対象とした13週間投与の二重盲検比較試験において、主要評価項目である最終評価時の疼痛スコアは下表のとおりであり、プレガバリン300mg/日群ではプラセボ群と比較して統計学的に有意な改善が認められた27)

      投与群

      最終評価時の疼痛スコア4),5)

      症例数

      最小二乗平均±標準誤差

      ベースラインからの変化量最小二乗平均±標準誤差

      プラセボとの差
      [95%信頼区間]

      p値

      プラセボ

      135

      4.83±0.21

      -1.20±0.21

      -

      -

      プレガバリン
      300mg/日

      134

      4.20±0.22

      -1.82±0.22

      -0.63
      [-1.09,-0.17]

      0.0075

      プレガバリン
      600mg/日6)

      45

      4.08±0.32

      -1.94±0.32

      -0.74
      [-1.39,-0.09]

      -

      4) 被験者が毎日記載する痛みの日誌から算出した1週間の平均疼痛スコア[0(痛みなし)から10(これ以上ない痛み)の11段階で評価され、スコアが大きいほど強い痛みを示す。]

      5) 投与群及びCLcr層を因子、ベースラインの疼痛スコアを共変量とする共分散分析(最終評価時の疼痛スコアのベースラインからの変化量におけるプレガバリン300mg/日群とプラセボ群との比較を主要目的とした。)

      6) クレアチニンクリアランス推定値(CLcr)によって、30<CLcr≤60mL/minの被験者には300mg/日、>60mL/minの被験者には600mg/日が投与された。

      安全性評価対象例中の副作用発現率は、プラセボ群で36.3%(49/135例)、プレガバリン300mg/日群で56.7%(76/134例)、600mg/日群で80.0%(36/45例)であった。主な副作用は、浮動性めまい(300mg/日群19.4%及び600mg/日群37.8%)、傾眠(300mg/日群20.9%及び600mg/日群40.0%)、末梢性浮腫(300mg/日群12.7%及び600mg/日群13.3%)、体重増加(300mg/日群11.2%及び600mg/日群11.1%)であった。

      線維筋痛症患者を対象とした16週間投与の二重盲検比較試験において、主要評価項目である最終評価時の疼痛スコアは下表のとおりであり、プレガバリン群(300~450mg/日)でプラセボ群と比較して統計学的に有意な改善が認められた28)

      投与群

      最終評価時の疼痛スコア7),8)

      症例数

      最小二乗平均
      ±標準誤差

      プラセボとの差
      [95%信頼区間]

      p値

      プラセボ

      248

      5.45±0.12

      -

      -

      プレガバリン
      300-450mg/日

      250

      5.01±0.12

      -0.44
      [-0.78,-0.11]

      0.0046

      7) 被験者が毎日記載する痛みの日誌から算出した1週間の平均疼痛スコア[0(痛みなし)から10(これ以上ない痛み)の11段階で評価され、スコアが大きいほど強い痛みを示す。]

      8) 投与群を因子、ベースラインの疼痛スコアを共変量とする共分散分析

      安全性評価対象例中の副作用発現率は、プラセボ群で51.6%(128/248例)、プレガバリン群で82.4%(206/250例)であった。主な副作用は、傾眠(45.2%)、浮動性めまい(28.8%)、体重増加(14.4%)、便秘(12.8%)であった。

    2. 17.1.2 国内長期投与試験

      帯状疱疹後神経痛患者126例、糖尿病性末梢神経障害に伴う疼痛患者123例、線維筋痛症患者106例又は中枢性神経障害性疼痛(脊髄損傷後疼痛、脳卒中後疼痛、多発性硬化症に伴う疼痛)患者103例を対象とした長期投与試験(いずれも52週)における痛みの強度(0~100mmのVisual Analog Scaleで値が大きいほど強い痛みを示す)の平均値は下表のとおりであった29),30),31),32)

      評価時点

      痛みの強度(mm)9)

      帯状疱疹後神経痛

      糖尿病性末梢神経障害に伴う疼痛

      評価例数

      平均値±標準偏差

      評価例数

      平均値±標準偏差

      投与前

      126

      62.0±19.0

      123

      52.8±21.7

      12週

      116

      35.3±22.3

      119

      30.0±23.0

      24週

      105

      34.0±23.0

      112

      27.7±22.0

      52週

      94

      28.3±22.9

      97

      24.8±20.8

      評価時点

      痛みの強度(mm)9)

      線維筋痛症

      中枢性神経障害性疼痛

      評価例数

      平均値±標準偏差

      評価例数

      平均値±標準偏差

      投与前

      106

      61.8±23.5

      103

      67.1±16.6

      12週

      104

      48.9±23.3

      98

      44.3±26.9

      28週

      101

      48.3±23.8

      92

      46.3±27.1

      52週

      87

      47.1±24.8

      85

      44.9±27.0

      9) 0~100mmのVisual Analog Scaleで値が大きいほど強い痛みを示す。

      国内長期投与試験(帯状疱疹後神経痛)において、安全性評価対象例中の副作用は78.6%(99/126例)に認められ、主な副作用は浮動性めまい(28.6%)、末梢性浮腫(16.7%)、傾眠(15.1%)、体重増加(13.5%)であった。
      国内長期投与試験(糖尿病性末梢神経障害に伴う疼痛)において、安全性評価対象例中の副作用は70.7%(87/123例)に認められ、主な副作用は、傾眠(22.8%)、体重増加(22.0%)、浮動性めまい(20.3%)であった。
      国内長期投与試験(線維筋痛症)において、安全性評価対象例中に副作用は84.0%(89/106例)に認められ、主な副作用は傾眠(26.4%)、浮動性めまい(24.5%)、体重増加(18.9%)、便秘(16.0%)であった。副作用の重症度は、多くが軽度であり、重度の副作用は認められなかった。
      国内長期投与試験(中枢性神経障害性疼痛)において、先行する国際共同臨床試験から重症度が悪化したあるいは本治験期間中に新たに発現した副作用は、87.4%(90/103例)に認められ、主な副作用は、傾眠(48.5%)、体重増加(28.2%)、浮動性めまい(22.3%)、末梢性浮腫(17.5%)であった。

    3. 17.1.3 国際共同臨床試験成績

      脊髄損傷後疼痛患者を対象とした16週間投与の二重盲検比較試験において、主要評価項目である治療期の疼痛スコアは下表のとおりであり、プレガバリン群(150~600mg/日)でプラセボ群と比較して統計学的に有意な改善が認められた33)

      投与群10)

      疼痛スコア11),12)

      症例数

      治療期のベースラインからの平均変化量
      最小二乗平均±標準誤差

      プラセボとの差
      [95%信頼区間]

      p値

      プラセボ

      106

      -1.07±0.149

      -

      -

      プレガバリン
      150-600mg/日

      105

      -1.66±0.157

      -0.59
      [-0.98,-0.20]

      0.0032

      10) 治験薬の投与は、150mg/日から開始し、第2週より適宜増減を行い、第4週終了時に決定した至適用量にて第5週から第16週まで維持することとした。

      11) 被験者が毎日記載する痛みの日誌[0(痛みなし)から10(これ以上ない痛み)の11段階で評価され、スコアが大きいほど強い痛みを示す。]から算出した治療期(16週間)の疼痛スコアのベースラインからの平均変化量を投与期間で調整した。
      治療期のベースラインからの平均変化量=
      [治療期(16週間)の平均疼痛スコア-ベースラインの平均疼痛スコア]×[各被験者の投与期間/投与期間(16週間)]

      12) 投与群及び施設を因子、ベースラインの疼痛スコア及び痛みに関する思考の評価の総スコアを共変量とする共分散分析

      安全性評価対象例中の副作用発現率はプラセボ群で46.7%(50/107例)、プレガバリン群で67.0%(75/112例)であった。主な副作用は、傾眠(33.0%)、浮動性めまい(17.9%)、末梢性浮腫(11.6%)であった。重篤な副作用は、低血糖症1例が報告され、回復した。

    4. 17.1.4 外国プラセボ対照試験

      帯状疱疹後神経痛患者を対象とした二重盲検比較試験において、主要評価項目である最終評価時の疼痛スコアは下表のとおりであり、いずれの試験においてもプレガバリン300mg/日群及び600mg/日群ではプラセボ群と比較して統計学的に有意な改善が認められた34),35)

      臨床試験
      (評価期間)

      投与群

      最終評価時の疼痛スコア13)14)

      症例数

      最小二乗平均
      ±標準誤差

      プラセボとの差
      [95%信頼区間]

      p値

      外国用量反応試験

      1
      (13週間)

      プラセボ

      93

      6.14±0.23

      -

      -

      プレガバリン
      150mg/日

      87

      5.26±0.24

      -0.88
      [-1.53,-0.23]

      0.0077

      プレガバリン
      300mg/日

      98

      5.07±0.23

      -1.07
      [-1.70,-0.45]

      0.0016

      プレガバリン
      600mg/日15)

      88

      4.35±0.24

      -1.79
      [-2.43,-1.15]

      0.0003

      外国第Ⅱ/Ⅲ相試験

      2
      (5週間)

      プラセボ

      87

      5.59±0.21

      -

      -

      プレガバリン
      75mg/日

      83

      5.46±0.21

      -0.14
      [-0.71,0.43]

      0.7999

      プレガバリン
      150mg/日

      82

      5.52±0.22

      -0.07
      [-0.64,0.50]

      0.7999

      3
      (8週間)

      プラセボ

      81

      6.33±0.22

      -

      -

      プレガバリン
      150mg/日

      81

      5.14±0.22

      -1.20
      [-1.81,-0.58]

      0.0002

      プレガバリン
      300mg/日

      76

      4.76±0.23

      -1.57
      [-2.20,-0.95]

      0.0002

      4
      (8週間)

      プラセボ

      84

      5.29±0.24

      -

      -

      プレガバリン
      600mg/日15)

      88

      3.60±0.24

      -1.69
      [-2.33,-1.05]

      0.0001

      13) 被験者が毎日記載する痛みの日誌から算出した1週間の平均疼痛スコア[0(痛みなし)から10(これ以上ない痛み)の11段階で評価され、スコアが大きいほど強い痛みを示す。]

      14) 試験1及び4:投与群、施設及びCLcr層を因子、ベースラインの疼痛スコアを共変量とする共分散分析
      試験2及び3:投与群及び施設を因子、ベースラインの疼痛スコアを共変量とする共分散分析

      15) クレアチニンクリアランス推定値(CLcr)によって、30<CLcr≤60mL/minの被験者には300mg/日、>60mL/minの被験者には600mg/日が投与された。

      外国用量反応試験1において、安全性評価対象例中の副作用発現率はプラセボ群で39.8%(37/93例)、プレガバリン150mg/日群で59.8%(52/87例)、300mg/日群で64.3%(63/98例)、600mg/日群で74.4%(67/90例)であった。主な副作用は、浮動性めまい(150mg/日群16.1%、300mg/日群32.7%及び600mg/日群36.7%)、傾眠(150mg/日群9.2%、300mg/日群11.2%及び600mg/日群25.6%)、末梢性浮腫(150mg/日群12.6%、300mg/日群14.3%及び600mg/日群13.3%)であった。重篤な副作用は、300mg/日群にアナフィラキシー様反応1例、600mg/日群に浮動性めまい/顔面浮腫/筋無力症/末梢性浮腫/傾眠の5件が1例中に報告され、いずれも回復した。
      外国第Ⅱ/Ⅲ相試験2において、安全性評価対象例中の副作用発現率はプラセボ群で25.0%(22/88例)、プレガバリン75mg/日群で32.1%(27/84例)、150mg/日群で41.0%(34/83例)であった。主な副作用は浮動性めまい(75mg/日群8.3%及び150mg/日群14.5%)及び傾眠(75mg/日群7.1%及び150mg/日群9.6%)、口内乾燥(75mg/日群7.1%及び150mg/日群4.8%)、弱視(75mg/日群1.2%及び150mg/日群8.4%)等であった。
      外国第Ⅱ/Ⅲ相試験3において、安全性評価対象例中の副作用発現率はプラセボ群で39.5%(32/81例)、プレガバリン150mg/日群で50.6%(41/81例)、300mg/日群で67.1%(51/76例)であった。主な副作用は浮動性めまい(150mg/日群12.3%及び300mg/日群26.3%)、傾眠(150mg/日群14.8%及び300mg/日群23.7%)、口内乾燥(150mg/日群9.9%及び300mg/日群6.6%)等であった。重篤な副作用は、150mg/日群に錯乱、心室性期外収縮、心房性不整脈/心室性期外収縮の3例4件が報告された。これらの転帰について、心室性期外収縮、心房性不整脈/心室性期外収縮は未回復、錯乱は回復が確認された。
      外国第Ⅱ/Ⅲ相試験4において、安全性評価対象例中の副作用発現率はプラセボ群で36.9%(31/84例)、プレガバリン群で73.0%(65/89例)に認められ、主な副作用は浮動性めまい(27.0%)、傾眠(23.6%)、末梢性浮腫(13.5%)、口内乾燥(10.1%)、弱視(9.0%)及び異常歩行(7.9%)等であった。

    5. 17.1.5 外国長期投与試験

      帯状疱疹後神経痛患者を対象とした長期投与試験1(154例、最長312週投与)及び2(275例、最長172週投与)における痛みの強度の平均値は下表のとおりであった36),37)

      評価時点

      痛みの強度(mm)16)

      長期投与試験1

      長期投与試験2

      評価例数

      平均値±標準偏差

      評価例数

      平均値±標準偏差

      投与前

      154

      69.4±18.7

      275

      67.3±17.9

      12週

      114

      42.8±26.1

      211

      40.3±25.4

      24週

      91

      40.5±25.1

      173

      41.4±24.9

      52週

      63

      38.3±24.6

      122

      35.7±24.2

      104週

      32

      36.8±23.2

      78

      32.5±24.1

      16) 0~100mmのVisual Analog Scaleで値が大きいほど強い痛みを示す。

      長期投与試験1において、安全性評価対象例中の副作用は75.3%(116/154例)に認められ、主な副作用は浮動性めまい(20.8%)、体重増加(14.9%)、傾眠(13.6%)、事故による外傷(9.7%)、口内乾燥(8.4%)、末梢性浮腫及び失調(各7.1%)、無力症及び悪心(各6.5%)等であった。重篤な副作用は、事故による外傷3例、上室性頻脈、運動障害、低ナトリウム血症、上室性期外収縮/心室性期外収縮、失神/事故による外傷/事故による外傷5例8件が報告され、いずれも回復した。
      長期投与試験2において、安全性評価対象例中の副作用は65.1%(179/275例)に認められ、主な副作用は浮動性めまい(16.0%)、末梢性浮腫(12.7%)、傾眠(10.5%)、無力症、弱視、体重増加及び頭痛(各5.8%)、悪心(5.5%)等であった。重篤な副作用は、肝細胞障害、尿路感染/失神の2例3件が報告され、その転帰はそれぞれ未回復、回復であった。

    17.3 その他

    1. 17.3.1 食事の影響試験

      日本人健康成人を対象として絶食時及び食後にプレガバリンを150mg単回経口投与した時の浮動性めまいの発現率は、食後投与5.3%(1/19例)と比べ絶食時投与30.8%(12/39例)で高かった38)

    18. 薬効薬理

    18.1 作用機序

    プレガバリンは中枢神経系において電位依存性カルシウムチャネルの機能に対し補助的な役割をなすα2δサブユニットとの結合を介して、カルシウムチャネルの細胞表面での発現量及びカルシウム流入を抑制し、グルタミン酸等の神経伝達物質遊離を抑制することが示唆されている。更に、プレガバリンの鎮痛作用には下行性疼痛調節系のノルアドレナリン経路及びセロトニン経路に対する作用も関与していることが示唆されている39),40),41),42),43)

    18.2 鎮痛作用

    プレガバリンは、動物実験において急性侵害刺激に対する逃避行動は妨げず、末梢神経損傷及び糖尿病による神経障害性疼痛並びに慢性筋骨格系疼痛を抑制する。また、化学性、炎症性、組織損傷性に惹起される自発痛、痛覚過敏モデルにおいても鎮痛作用を示す44),45),46),47),48),49)

    1. 18.2.1 慢性絞扼神経損傷(CCI)モデルにおける抗アロディニア17)作用

      プレガバリンは、ラットCCIモデルによる、静的及び動的アロディニアをともに抑制した44)

    2. 18.2.2 脊髄神経結紮(SNL)モデルにおける抗アロディニア作用

      プレガバリンは、SNLモデルによりラットに発生させた静的及び動的アロディニアを抑制した48)

    3. 18.2.3 ストレプトゾシン(STZ)糖尿病モデルにおける抗アロディニア作用

      プレガバリンは、ラットSTZ糖尿病モデルにおいて発生する静的及び動的アロディニアを抑制した45)

    4. 18.2.4 脊髄損傷後疼痛モデルにおける抗アロディニア作用

      プレガバリンは、マウス脊髄への錘落下による脊髄損傷モデルにおいて発生する静的アロディニアを抑制した46)

    5. 18.2.5 慢性筋骨格系疼痛モデルにおける抗アロディニア作用

      プレガバリンは、ラット慢性筋骨格系疼痛モデルにおいて発生する静的アロディニアを抑制した47)

    6. 18.2.6 ホルマリンテストにおける自発痛に対する鎮痛作用

      ラット足蹠へのホルマリン投与により発生する2相性の疼痛関連行動のうち、プレガバリンは中枢性感作が関与するとされる第2相を抑制した48)

      17) 通常では無害な触覚刺激に対し感じる痛みを接触性アロディニアと呼び、静的(皮膚を軽く点状に圧することで生じる)及び動的(皮膚への軽擦で生じる)アロディニアに分類される。

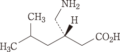
    19. 有効成分に関する理化学的知見

    一般的名称

    プレガバリン(Pregabalin)

    化学名

    (3S)-3-(Aminomethyl)-5-methylhexanoic acid

    分子式

    C8H17NO2

    分子量

    159.23

    性状

    白色の粉末である。
    水にやや溶けにくく、メタノール又はエタノール(99.5)に極めて溶けにくい。

    化学構造式

    22. 包装

    • 〈プレガバリンカプセル25mg「日医工」〉

      100カプセル[10カプセル×10;PTP]

    • 〈プレガバリンカプセル75mg「日医工」〉

      100カプセル[10カプセル×10;PTP]

    • 〈プレガバリンカプセル150mg「日医工」〉

      100カプセル[10カプセル×10;PTP]

    23. 主要文献

    1) 生殖発生毒性試験(リリカカプセル:2010年4月16日承認、申請資料概要2.6.6.6)

    2) Lockwood P. A., et al.:J. Hum. Lact. 2016;32(3):NP1-NP8

    3) 幼若動物を用いた毒性試験(リリカカプセル:2010年4月16日承認、申請資料概要2.6.6.6)

    4) がん原性試験(リリカカプセル:2010年4月16日承認、申請資料概要2.6.6.5)

    5) 健康成人における薬物動態(単回投与)(リリカカプセル:2010年4月16日承認、申請資料概要2.7.2.2)

    6) 健康成人における薬物動態(反復投与)(リリカカプセル:2010年4月16日承認、申請資料概要2.7.2.2)

    7) 神谷有久理 他:診療と新薬. 2020;57(10):905-913

    8) 食事の影響(リリカカプセル:2010年4月16日承認、申請資料概要2.7.1.2)

    9) 放射性標識体投与時の薬物動態及び代謝(リリカカプセル:2010年4月16日承認、申請資料概要2.7.2.2)

    10) 血漿蛋白結合(リリカカプセル:2010年4月16日承認、申請資料概要2.7.2.2)

    11) 代謝及び排泄(リリカカプセル:2010年4月16日承認、申請資料概要2.7.6.1)

    12) ヒトcytochrome P450に対する阻害作用(リリカカプセル:2010年4月16日承認、申請資料概要2.7.2.2)

    13) 高齢者における薬物動態(リリカカプセル:2010年4月16日承認、申請資料概要2.7.2.2)

    14) 腎機能障害患者及び血液透析患者における薬物動態(リリカカプセル:2010年4月16日承認、申請資料概要2.7.2.2)

    15) 健康被験者、帯状疱疹後神経痛患者、糖尿病性末梢神経障害に伴う疼痛を有する患者及び線維筋痛症患者における母集団薬物動態①(リリカカプセル:2010年10月27日承認、申請資料概要2.7.2.3)

    16) 健康被験者、帯状疱疹後神経痛患者、糖尿病性末梢神経障害に伴う疼痛を有する患者及び線維筋痛症患者における母集団薬物動態②(リリカカプセル:2012年6月22日承認、申請資料概要2.7.2.3)

    17) 薬物動態に関する薬物相互作用(リリカカプセル:2010年4月16日承認、申請資料概要2.7.2.3)

    18) ガバペンチンとの薬物相互作用(リリカカプセル:2010年4月16日承認、申請資料概要2.7.2.2)

    19) 経口避妊薬との薬物相互作用(リリカカプセル:2010年4月16日承認、申請資料概要2.7.2.2、審査報告書)

    20) ロラゼパムとの薬物相互作用(リリカカプセル:2010年4月16日承認、申請資料概要2.7.2.2、審査報告書)

    21) オキシコドンとの薬物相互作用(リリカカプセル:2010年4月16日承認、申請資料概要2.7.2.2、審査報告書)

    22) エタノールとの薬物相互作用(リリカカプセル:2010年4月16日承認、申請資料概要2.7.2.2、審査報告書)

    23) Brodie M. J., et al.:Epilepsia. 2005;46(9):1407-1413

    24) 社内資料:生物学的同等性試験(カプセル75mg)

    25) 小川節郎 他:日本ペインクリニック学会誌. 2010;17(2):141-152

    26) 国内第Ⅲ相検証試験(帯状疱疹後神経痛)(リリカカプセル:2010年4月16日承認、申請資料概要2.7.6.29)

    27) 国内第Ⅲ相検証試験(糖尿病性末梢神経障害に伴う疼痛)(リリカカプセル:2010年10月27日承認、申請資料概要2.7.3.3、2.7.6.1)

    28) 国内第Ⅲ相検証試験(線維筋痛症)(リリカカプセル:2012年6月22日承認、申請資料概要2.7.3.3、2.7.6.(2))

    29) 国内長期投与試験(帯状疱疹後神経痛)(リリカカプセル:2010年4月16日承認、申請資料概要2.7.3.5、2.7.6.37)

    30) 国内長期投与試験(糖尿病性末梢神経障害に伴う疼痛)(リリカカプセル:2010年10月27日承認、申請資料概要2.7.3.5、2.7.6.24)

    31) 国内長期投与試験(線維筋痛症)(リリカカプセル:2012年6月22日承認、申請資料概要2.7.3.5、2.7.6.(2))

    32) 国内長期投与試験(脊髄損傷後疼痛、脳卒中後疼痛、多発性硬化症に伴う疼痛)(リリカカプセル:2013年2月28日承認、申請資料概要2.7.3.5、2.7.6.(2))

    33) 国際共同第Ⅲ相試験(脊髄損傷後疼痛)(リリカカプセル:2013年2月28日承認、申請資料概要2.7.3.3、2.7.6.(2))

    34) 外国第Ⅱ相及び第Ⅲ相プラセボ対照試験(帯状疱疹後神経痛)(リリカカプセル:2010年4月16日承認、申請資料概要2.7.3.3、2.7.6.30、2.7.6.31、2.7.6.32)

    35) 外国第Ⅲ相用量反応試験(帯状疱疹後神経痛)(リリカカプセル:2010年4月16日承認、申請資料概要2.7.6.34)

    36) 外国長期投与試験(帯状疱疹後神経痛)(リリカカプセル:2010年4月16日承認、申請資料概要2.7.3.5、2.7.6.35、2.7.6.36)

    37) 臨床的有効性の概要(リリカカプセル:2010年4月16日承認、申請資料概要2.7.3.1)

    38) 処方における食事の影響(リリカカプセル 2010年4月16日承認、申請資料概要2.7.6.3)

    39) Bauer C. S., et al.:J. Neurosci. 2009;29(13):4076-4088

    40) Fink K., et al.:Neuropharmacology. 2002;42(2):229-236

    41) Maneuf Y. P., et al.:Pain. 2001;93(2):191-196

    42) Tanabe M., et al.:J. Neurosci. Res. 2008;86(15):3258-3264

    43) Bee L. A., et al.:Pain. 2008;140(1):209-223

    44) Field M. J., et al.:Pain. 1999;83(2):303-311

    45) Field M. J., et al.:Pain. 1999;80(1-2):391-398

    46) Tanabe M., et al.:Eur. J. Pharmacol. 2009;609(1-3):65-68

    47) 慢性筋骨格系疼痛モデルにおける薬効薬理試験(リリカカプセル:2012年6月22日承認、申請資料概要2.6.2.2)

    48) Field M. J., et al.:Br. J. Pharmacol. 1997;121(8):1513-1522

    49) Field M. J., et al.:J. Pharmacol. Exp. Ther. 1997;282(3):1242-1246

    24. 文献請求先及び問い合わせ先

    日医工株式会社 お客様サポートセンター

    〒930-8583 富山市総曲輪1丁目6番21

    TEL(0120)517-215
    FAX(076)442-8948

    26. 製造販売業者等

    26.1 製造販売元

    日医工株式会社

    富山市総曲輪1丁目6番21

    〒100-0013 東京都千代田区霞が関3-3-2 新霞が関ビル

    画面を閉じる

    Copyright © Pharmaceuticals and Medical Devices Agency, All Rights reserved.