医療用医薬品 詳細表示

サルブタモール錠2mg「日医工」

処方せん医薬品以外の医薬品

添付文書番号
企業コード
作成又は改訂年月
日本標準商品分類番号
薬効分類名
承認等
一般的名称
2.禁忌(次の患者には投与しないこと)
3.組成・性状
3.1組成
3.2製剤の性状
4.効能又は効果
6.用法及び用量
8.重要な基本的注意
9.特定の背景を有する患者に関する注意
9.1合併症・既往歴等のある患者
9.5妊婦
9.6授乳婦
9.8高齢者
10.相互作用
10.2併用注意(併用に注意すること)
11.副作用
11.1重大な副作用
11.2その他の副作用
13.過量投与
14.適用上の注意
16.薬物動態
16.1血中濃度
16.3分布
16.4代謝
16.5排泄
18.薬効薬理
18.1作用機序
18.2β2受容体選択性
18.3気管支拡張作用
19.有効成分に関する理化学的知見
20.取扱い上の注意
22.包装
23.主要文献
24.文献請求先及び問い合わせ先
26.製造販売業者等

サルブタモール錠2mg「日医工」

添付文書番号

2254001F1102_1_06

企業コード

530169

作成又は改訂年月

2023年8月改訂(第1版)

日本標準商品分類番号

872254

薬効分類名

気管支拡張剤

承認等

サルブタモール錠2mg「日医工」

販売名コード

YJコード

2254001F1102

販売名英語表記

Salbutamol Tablets

販売名ひらがな

さるぶたもーるじょう2mg「にちいこう」

承認番号等

承認番号

22500AMX01238000

販売開始年月

1978年4月

貯法・有効期間

貯法

室温保存

有効期間

3年

一般的名称

サルブタモール硫酸塩錠

2. 禁忌(次の患者には投与しないこと)

本剤の成分に対して過敏症の既往歴のある患者

3. 組成・性状

3.1 組成

サルブタモール錠2mg「日医工」

有効成分1錠中
サルブタモール硫酸塩   2.4mg
(サルブタモールとして   2mg )
添加剤乳糖水和物、トウモロコシデンプン、結晶セルロース、アルファー化デンプン、カルメロースカルシウム、タルク、ステアリン酸マグネシウム

3.2 製剤の性状

サルブタモール錠2mg「日医工」

剤形素錠
色調白色
外形表面
裏面
側面
大きさ直径6.0mm
厚さ2.4mm
質量90mg
本体コード117
包装コード117

4. 効能又は効果

  • 下記疾患の気道閉塞性障害にもとづく諸症状の緩解
  • 気管支喘息
  • 小児喘息
  • 肺気腫
  • 急・慢性気管支炎
  • 肺結核
  • 珪肺結核

6. 用法及び用量

通常成人1回2錠を1日3回経口投与し、症状の激しい場合には1回4錠を1日3回経口投与する。
なお、年令・症状により適宜増減する。
小児の標準投与量は成人用量の1/4~1/2量であり、通常5才以上15才未満は1回1~2錠を1日3回、5才未満は1回1~1.5錠を1日3回経口投与する。

8. 重要な基本的注意

  1. 8.1 用法及び用量どおり正しく使用しても効果が認められない場合は、本剤が適当でないと考えられるので、投与を中止すること。なお、小児に投与する場合には、使用法を正しく指導し、経過の観察を十分に行うこと。
  2. 8.2 過度に使用を続けた場合、不整脈、場合により心停止を起こすおそれがあるので、使用が過度にならないように注意すること。,

9. 特定の背景を有する患者に関する注意

9.1 合併症・既往歴等のある患者

  1. 9.1.1 甲状腺機能亢進症の患者

    甲状腺ホルモンの分泌促進により症状を悪化させるおそれがある。

  2. 9.1.2 高血圧の患者

    α及びβ1作用により血圧を上昇させるおそれがある。

  3. 9.1.3 心疾患を有する患者

    β1作用により症状を悪化させるおそれがある。

  4. 9.1.4 糖尿病の患者

    グリコーゲン分解作用により症状を悪化させるおそれがある。

  5. 9.1.5 低酸素血症の患者

    血清カリウム値をモニターすることが望ましい。低酸素血症は血清カリウム値の低下が心リズムに及ぼす作用を増強することがある。

9.5 妊婦

妊婦又は妊娠している可能性のある女性には、治療上の有益性が危険性を上回ると判断される場合にのみ投与すること。動物実験(マウス)で催奇形作用が報告されている1)

9.6 授乳婦

治療上の有益性及び母乳栄養の有益性を考慮し、授乳の継続又は中止を検討すること。

9.8 高齢者

患者の状態を観察しながら慎重に投与すること。一般に、生理機能が低下している。

10. 相互作用

    10.2 併用注意(併用に注意すること)

    薬剤名等臨床症状・措置方法機序・危険因子

    カテコールアミン

    • アドレナリン
      イソプレナリン塩酸塩等

    不整脈、場合によっては心停止を起こすおそれがある。

    アドレナリン、イソプレナリン塩酸塩等のカテコールアミン併用により、アドレナリン作動性神経刺激の増大が起きる。
    そのため不整脈を起こすことがある。

    キサンチン誘導体
    ステロイド剤
    利尿剤

    低カリウム血症による不整脈を起こすおそれがある。
    血清カリウム値のモニターを行うこと。

    キサンチン誘導体はアドレナリン作動性神経刺激を増大させるため、血清カリウム値の低下を増強することがある。
    ステロイド剤及び利尿剤は尿細管でのカリウム排泄促進作用があるため、血清カリウム値の低下が増強することが考えられる。

    11. 副作用

    次の副作用があらわれることがあるので、観察を十分に行い、異常が認められた場合には投与を中止するなど適切な処置を行うこと。

    11.1 重大な副作用

    1. 11.1.1 重篤な血清カリウム値低下(頻度不明)

      キサンチン誘導体、ステロイド剤及び利尿剤の併用により増強することがあるので、重症喘息患者では特に注意すること。,,

    2. 11.1.2 ショック、アナフィラキシー(いずれも頻度不明)

    11.2 その他の副作用

    0.1~5%未満

    0.1%未満

    頻度不明

    過敏症

    瘙痒感、血管性浮腫

    発疹、血圧低下、蕁麻疹

    循環器

    心悸亢進、脈拍増加

    不整脈、血圧変動

    精神神経系

    頭痛、振戦、睡眠障害

    めまい、眠気、興奮、下肢疼痛

    落ち着きのなさ

    消化器

    食欲不振、悪心・嘔吐、下痢

    その他

    口渇、湿疹

    口内炎、発汗

    潮紅、浮腫、筋痙攣

    発現頻度は、新開発医薬品の副作用のまとめ(その31)2),3)に基づく。

    13. 過量投与

    1. 13.1 症状

      過量投与時にみられる最も一般的な症状は、一過性のβ作用を介する症状である。低カリウム血症が発現するおそれがあるので、血清カリウム値をモニターすること。
      海外で吸入剤又は注射剤の高用量投与により、乳酸アシドーシスを含む代謝性アシドーシスが報告されているので、呼吸状態等、患者の状態を十分に観察すること。また、主に小児において経口剤による過量投与時に悪心、嘔吐及び高血糖が報告されている。,

    2. 13.2 処置

      本剤の投与の中止を考慮し、心血管系症状(脈拍増加、心悸亢進等)がみられる患者では心臓選択性β遮断剤の投与等の適切な処置を検討すること。ただしβ遮断剤の使用にあたっては、気管支攣縮の既往のある患者では十分に注意すること。

    14. 適用上の注意

    14.1 薬剤交付時の注意

    PTP包装の薬剤はPTPシートから取り出して服用するよう指導すること。PTPシートの誤飲により、硬い鋭角部が食道粘膜へ刺入し、更には穿孔をおこして縦隔洞炎等の重篤な合併症を併発することがある。

    16. 薬物動態

    16.1 血中濃度

    1. 16.1.1 単回経口投与

      健康成人2例に3H-サルブタモール10mg1)を単回経口投与した時、血漿中放射活性濃度は投与後1~2時間で最高値となり、その後急速な減少を示した。血中濃度半減期は1.5~2時間であった4),5)(外国人データ)。

    16.3 分布

    ラットに3H標識サルブタモール25mg/kgを単回経口投与した結果、投与後1~2時間で血中及び各組織内濃度は最高値に達し、肝臓、脂肪、筋肉で高く、次いで腎臓、肺、心臓、脾臓の順であり、脳にはほとんど移行しなかった4)

    16.4 代謝

    ラット、ウサギ経口投与時の排泄物中の主代謝産物はグルクロン酸抱合体であり、ラットにおける胆汁排泄研究では肝臓中でつくられていることが示されている4)

    16.5 排泄

    健康成人2例に3H-サルブタモール10mg1)を単回経口投与した時、投与後24時間以内に投与量の90%が尿中に排泄された4),5)(外国人データ)。

    1) 本剤の承認用量は通常成人1回2錠1日3回投与である。

    18. 薬効薬理

    18.1 作用機序

    サルブタモールは短時間作用性β2刺激剤であり、アデニル酸シクラーゼを活性化し細胞内の環状アデノシン一リン酸を増加させることで、気管支平滑筋を弛緩させる。

    18.2 β2受容体選択性

    モルモットにサルブタモールを経口投与した実験において、サルブタモールはβ2受容体刺激による気管支拡張作用が強く、一方β1受容体刺激による心刺激作用は弱いことが明らかにされており、β2受容体に選択的に作用する性質を有する6)

    18.3 気管支拡張作用

    1. 18.3.1 モルモットにサルブタモールを経口投与し、1時間後に1%ヒスタミン0.5mLを噴霧して気管支収縮を誘発したところ、サルブタモール0.3~10.0mg/kg投与群において喘息指数2)の軽減及び窒息性気管支収縮に対する抑制効果が認められた7)

      2) 喘息指数:ヒスタミン又はメタコリン噴霧後5分間、1分毎に発現する症状を採点(例;変化なし:0、チアノーゼ・軽度の呼吸不整:1……等)し、5回の和で示す。

    2. 18.3.2 無麻酔モルモットにアセチルコリン溶液を噴霧して誘発させた気管支収縮に対し、サルブタモールの1mg/kg経口投与群では30分~4時間、5mg/kg経口投与群では4~6時間にわたり抑制効果を示した6)

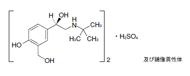
    19. 有効成分に関する理化学的知見

    一般的名称

    サルブタモール硫酸塩(Salbutamol Sulfate)

    化学名

    (1RS)-2-(1,1-Dimethylethyl)amino-1-(4-hydroxy-3-hydroxymethylphenyl)ethanol hemisulfate

    分子式

    (C13H21NO3)2・H2SO4

    分子量

    576.70

    性状

    白色の粉末である。
    水に溶けやすく、エタノール(95)又は酢酸(100)に溶けにくく、ジエチルエーテルにほとんど溶けない。
    水溶液(1→20)は旋光性を示さない。

    化学構造式

    20. 取扱い上の注意

    アルミピロー包装開封後は、遮光して保存すること。

    22. 包装

    100錠[10錠×10;PTP]

    24. 文献請求先及び問い合わせ先

    日医工株式会社 お客様サポートセンター

    〒930-8583 富山市総曲輪1丁目6番21

    TEL(0120)517-215

    FAX(076)442-8948

    26. 製造販売業者等

    26.1 製造販売元

    日医工株式会社

    富山市総曲輪1丁目6番21

    〒100-0013 東京都千代田区霞が関3-3-2 新霞が関ビル

    画面を閉じる

    Copyright © Pharmaceuticals and Medical Devices Agency, All Rights reserved.