医療用医薬品 詳細表示

デカドロン錠0.5mg/デカドロン錠4mg

処方せん医薬品

添付文書番号
企業コード
作成又は改訂年月
日本標準商品分類番号
薬効分類名
承認等
一般的名称
2.禁忌(次の患者には投与しないこと)
3.組成・性状
3.1組成
3.2製剤の性状
4.効能又は効果
5.効能又は効果に関連する注意
6.用法及び用量
8.重要な基本的注意
9.特定の背景を有する患者に関する注意
9.1合併症・既往歴等のある患者
9.2腎機能障害患者
9.3肝機能障害患者
9.5妊婦
9.6授乳婦
9.7小児等
9.8高齢者
10.相互作用
10.1併用禁忌(併用しないこと)
10.2併用注意(併用に注意すること)
11.副作用
11.1重大な副作用
11.2その他の副作用
12.臨床検査結果に及ぼす影響
14.適用上の注意
15.その他の注意
15.1臨床使用に基づく情報
16.薬物動態
16.1血中濃度
17.臨床成績
17.1有効性及び安全性に関する試験
18.薬効薬理
18.1作用機序
19.有効成分に関する理化学的知見
22.包装
23.主要文献
24.文献請求先及び問い合わせ先
26.製造販売業者等

デカドロン錠0.5mg/デカドロン錠4mg

添付文書番号

2454002F1183_3_18

企業コード

530169

作成又は改訂年月

**2026年4月改訂(第5版)
2024年1月改訂(第4版)

日本標準商品分類番号

872454

薬効分類名

副腎皮質ホルモン製剤

承認等

デカドロン錠0.5mg

販売名コード

YJコード

2454002F1183

販売名英語表記

DECADRON Tablets

販売名ひらがな

でかどろんじょう0.5mg

承認番号等

承認番号

22000AMX00571000

販売開始年月

1959年7月

貯法・有効期間

貯法

室温保存

有効期間

3年

デカドロン錠4mg

販売名コード

YJコード

2454002F3020

販売名英語表記

DECADRON Tablets

販売名ひらがな

でかどろんじょう4mg

承認番号等

承認番号

22600AMX00512000

販売開始年月

2014年6月

貯法・有効期間

貯法

室温保存

有効期間

3年

一般的名称

デキサメタゾン

2. 禁忌(次の患者には投与しないこと)

  1. 2.1 本剤の成分に対し過敏症の既往歴のある患者
  2. 2.2 *次の薬剤を使用中の患者:デスモプレシン酢酸塩水和物(男性における夜間多尿による夜間頻尿)、リルピビリン、リルピビリン塩酸塩・テノホビル アラフェナミドフマル酸塩・エムトリシタビン、リルピビリン塩酸塩・ドルテグラビルナトリウム

3. 組成・性状

3.1 組成

デカドロン錠0.5mg

有効成分1錠中
デキサメタゾン   0.5mg
添加剤乳糖水和物、リン酸水素カルシウム水和物、トウモロコシデンプン、ステアリン酸マグネシウム

デカドロン錠4mg

有効成分1錠中
デキサメタゾン   4mg
添加剤乳糖水和物、リン酸水素カルシウム水和物、トウモロコシデンプン、ステアリン酸マグネシウム、三二酸化鉄

3.2 製剤の性状

デカドロン錠0.5mg

剤形割線入りの五角形の素錠
色調白色
外形表面
裏面
側面
大きさ直径6.3mm
厚さ2.4mm
質量93.5mg
本体コード535
包装コード535

デカドロン錠4mg

剤形割線入りの五角形の素錠
色調淡赤色
外形表面
裏面
側面
大きさ直径7.4mm
厚さ2.8mm
質量150mg
本体コード545
4
包装コード545

4. 効能又は効果

  • 慢性副腎皮質機能不全(原発性、続発性、下垂体性、医原性)、急性副腎皮質機能不全(副腎クリーゼ)、副腎性器症候群、亜急性甲状腺炎、甲状腺中毒症〔甲状腺(中毒性)クリーゼ〕、甲状腺疾患に伴う悪性眼球突出症、ACTH単独欠損症、下垂体抑制試験
  • 関節リウマチ、若年性関節リウマチ(スチル病を含む)、リウマチ熱(リウマチ性心炎を含む)、リウマチ性多発筋痛
  • エリテマトーデス(全身性及び慢性円板状)、全身性血管炎(高安動脈炎、結節性多発動脈炎、顕微鏡的多発血管炎、多発血管炎性肉芽腫症を含む)、多発性筋炎(皮膚筋炎)、強皮症
  • ネフローゼ及びネフローゼ症候群
  • うっ血性心不全
  • 気管支喘息、喘息性気管支炎(小児喘息性気管支炎を含む)、薬剤その他の化学物質によるアレルギー・中毒(薬疹、中毒疹を含む)、血清病
  • 重症感染症(化学療法と併用する)
  • 溶血性貧血(免疫性又は免疫性機序の疑われるもの)、白血病(急性白血病、慢性骨髄性白血病の急性転化、慢性リンパ性白血病)(皮膚白血病を含む)、顆粒球減少症(本態性、続発性)、紫斑病(血小板減少性及び血小板非減少性)、再生不良性貧血
  • 限局性腸炎、潰瘍性大腸炎
  • 重症消耗性疾患の全身状態の改善(癌末期、スプルーを含む)
  • 劇症肝炎(臨床的に重症とみなされるものを含む)、胆汁うっ滞型急性肝炎、慢性肝炎(活動型、急性再燃型、胆汁うっ滞型)(但し、一般的治療に反応せず肝機能の著しい異常が持続する難治性のものに限る)、肝硬変(活動型、難治性腹水を伴うもの、胆汁うっ滞を伴うもの)
  • サルコイドーシス(但し、両側肺門リンパ節腫脹のみの場合を除く)、びまん性間質性肺炎(肺線維症)(放射線肺臓炎を含む)
  • 肺結核(粟粒結核、重症結核に限る)(抗結核剤と併用する)、結核性髄膜炎(抗結核剤と併用する)、結核性胸膜炎(抗結核剤と併用する)、結核性腹膜炎(抗結核剤と併用する)、結核性心のう炎(抗結核剤と併用する)
  • 脳脊髄炎(脳炎、脊髄炎を含む)(但し、一次性脳炎の場合は頭蓋内圧亢進症状がみられ、かつ他剤で効果が不十分なときに短期間用いること)、末梢神経炎(ギランバレー症候群を含む)、筋強直症、重症筋無力症、多発性硬化症(視束脊髄炎を含む)、小舞踏病、顔面神経麻痺、脊髄蜘網膜炎
  • 悪性リンパ腫(リンパ肉腫症、細網肉腫症、ホジキン病、皮膚細網症、菌状息肉症)及び類似疾患(近縁疾患)、好酸性肉芽腫、乳癌の再発転移
  • 抗悪性腫瘍剤(シスプラチンなど)投与に伴う消化器症状(悪心・嘔吐)
  • 特発性低血糖症
  • 原因不明の発熱
  • 副腎摘除、臓器・組織移植、侵襲後肺水腫、副腎皮質機能不全患者に対する外科的侵襲
  • 蛇毒・昆虫毒(重症の虫さされを含む)
  • 強直性脊椎炎(リウマチ性脊椎炎)
  • 卵管整形術後の癒着防止
  • 前立腺癌(他の療法が無効な場合)、陰茎硬結
  • 湿疹・皮膚炎群(急性湿疹、亜急性湿疹、慢性湿疹、接触皮膚炎、貨幣状湿疹、自家感作性皮膚炎、アトピー皮膚炎、乳・幼・小児湿疹、ビダール苔癬、その他の神経皮膚炎、脂漏性皮膚炎、進行性指掌角皮症、その他の手指の皮膚炎、陰部あるいは肛門湿疹、耳介及び外耳道の湿疹・皮膚炎、鼻前庭及び鼻翼周辺の湿疹・皮膚炎など)(但し、重症例以外は極力投与しないこと)、痒疹群(小児ストロフルス、蕁麻疹様苔癬、固定蕁麻疹を含む)(但し、重症例に限る。また、固定蕁麻疹は局注が望ましい)、蕁麻疹(慢性例を除く)(重症例に限る)、乾癬及び類症〔尋常性乾癬(重症例)、乾癬性関節炎、乾癬性紅皮症、膿疱性乾癬、稽留性肢端皮膚炎、疱疹状膿痂疹、ライター症候群〕、掌蹠膿疱症(重症例に限る)、扁平苔癬(重症例に限る)、成年性浮腫性硬化症、紅斑症(多形滲出性紅斑、結節性紅斑)(但し、多形滲出性紅斑の場合は重症例に限る)、IgA血管炎(重症例に限る)、ウェーバークリスチャン病、粘膜皮膚眼症候群〔開口部びらん性外皮症、スチブンス・ジョンソン病、皮膚口内炎、フックス症候群、ベーチェット病(眼症状のない場合)、リップシュッツ急性陰門潰瘍〕、レイノー病、円形脱毛症(悪性型に限る)、天疱瘡群(尋常性天疱瘡、落葉状天疱瘡、Senear-Usher症候群、増殖性天疱瘡)、デューリング疱疹状皮膚炎(類天疱瘡、妊娠性疱疹を含む)、先天性表皮水疱症、帯状疱疹(重症例に限る)、紅皮症(ヘブラ紅色粃糠疹を含む)、顔面播種状粟粒性狼瘡(重症例に限る)、アレルギー性血管炎及びその類症(急性痘瘡様苔癬状粃糠疹を含む)、潰瘍性慢性膿皮症、新生児スクレレーマ
  • 内眼・視神経・眼窩・眼筋の炎症性疾患の対症療法(ブドウ膜炎、網脈絡膜炎、網膜血管炎、視神経炎、眼窩炎性偽腫瘍、眼窩漏斗尖端部症候群、眼筋麻痺)、外眼部及び前眼部の炎症性疾患の対症療法で点眼が不適当又は不十分な場合(眼瞼炎、結膜炎、角膜炎、強膜炎、虹彩毛様体炎)、眼科領域の術後炎症
  • 急性・慢性中耳炎、滲出性中耳炎・耳管狭窄症、メニエル病及びメニエル症候群、急性感音性難聴、血管運動(神経)性鼻炎、アレルギー性鼻炎、花粉症(枯草熱)、進行性壊疽性鼻炎、喉頭炎・喉頭浮腫、耳鼻咽喉科領域の手術後の後療法
  • 難治性口内炎及び舌炎(局所療法で治癒しないもの)
  • 嗅覚障害、急性・慢性(反復性)唾液腺炎
  • 全身性ALアミロイドーシス

★:外用剤を用いても効果が不十分な場合あるいは十分な効果を期待し得ないと推定される場合にのみ用いること

5. 効能又は効果に関連する注意

  • 〈下垂体抑制試験〉

    デキサメタゾン抑制試験の実施に先立ち褐色細胞腫又はパラガングリオーマの合併の有無を確認すること。合併がある場合には、褐色細胞腫又はパラガングリオーマの治療を優先すること。,

6. 用法及び用量

  • 〈抗悪性腫瘍剤(シスプラチンなど)投与に伴う消化器症状(悪心・嘔吐)〉

    通常、成人にはデキサメタゾンとして1日4~20mgを1~2回に分割経口投与する。
    ただし、1日最大20mgまでとする1)

  • 〈全身性ALアミロイドーシス〉

    他の薬剤との併用において、通常、成人にはデキサメタゾンとして1日40mgを1、8、15、22日目に投与する。28日を1サイクルとして、最大6サイクルまで投与を繰り返す。

  • 〈上記以外の効能共通〉

    デキサメタゾンとして、通常成人1日0.5~8mgを1~4回に分割経口投与する。
    なお、年齢、症状により適宜増減する。

8. 重要な基本的注意

  • 〈効能共通〉
    1. 8.1 本剤の投与により、誘発感染症、続発性副腎皮質機能不全、消化性潰瘍、糖尿病、精神障害等の重篤な副作用があらわれることがあるので、本剤の投与にあたっては、次の注意が必要である。
      1. 8.1.1 投与に際しては特に適応、症状を考慮し、他の治療法によって十分に治療効果が期待できる場合には、本剤を投与しないこと。また、局所的投与で十分な場合には、局所療法を行うこと。
      2. 8.1.2 投与中は副作用の出現に対し、常に十分な配慮と観察を行い、また、患者をストレスから避けるようにし、事故、手術等の場合には増量するなど適切な処置を行うこと。
      3. 8.1.3 連用後、投与を急に中止すると、ときに発熱、頭痛、食欲不振、脱力感、筋肉痛、関節痛、ショック等の離脱症状があらわれることがあるので、投与を中止する場合には、徐々に減量するなど慎重に行うこと。離脱症状があらわれた場合には、直ちに再投与又は増量すること。
    2. 8.2 本剤の長期あるいは大量投与中の患者、又は投与中止後6ヵ月以内の患者では、免疫機能が低下していることがあり、生ワクチンの接種により、ワクチン由来の感染を増強又は持続させるおそれがあるので、これらの患者には生ワクチンを接種しないこと。
    3. 8.3 特に、本剤投与中に水痘又は麻疹に感染すると、致命的な経過をたどることがあるので、次の注意が必要である。
      1. 8.3.1 本剤投与前に水痘又は麻疹の既往や予防接種の有無を確認すること。
      2. 8.3.2 水痘又は麻疹の既往のない患者においては、水痘又は麻疹への感染を極力防ぐよう常に十分な配慮と観察を行うこと。感染が疑われる場合や感染した場合には、直ちに受診するよう指導し、適切な処置を講ずること。
      3. 8.3.3 水痘又は麻疹の既往や予防接種を受けたことがある患者であっても、本剤投与中は、水痘又は麻疹を発症する可能性があるので留意すること。
    4. 8.4 連用により眼圧亢進、緑内障、後嚢白内障を来すことがあるので、定期的に検査をすることが望ましい。,
    5. 8.5 褐色細胞腫の合併を認識していなかった状態でデキサメタゾン製剤(経口剤及び注射剤)を投与した際に褐色細胞腫クリーゼを発現したとの報告がある。本剤投与後に著明な血圧上昇、頭痛、動悸等が認められた場合は、褐色細胞腫クリーゼの発現を考慮した上で適切な処置を行うこと。,
    6. 8.6 *リンパ系腫瘍を有する患者に投与した場合に腫瘍崩壊症候群があらわれることがあるので、血清中電解質濃度及び腎機能検査を行うなど、患者の状態を十分に観察すること。
  • 〈抗悪性腫瘍剤(シスプラチンなど)投与に伴う消化器症状(悪心・嘔吐)〉
    1. 8.7 抗悪性腫瘍剤(シスプラチンなど)投与に伴う消化器症状(悪心・嘔吐)に対しては、本剤は必ず抗悪性腫瘍剤と併用されるため、緊急時に十分対応できる医療施設において、がん化学療法に十分な知識・経験を持つ医師のもとで使用すること。また、適応患者の選択にあたっては各併用抗悪性腫瘍剤の添付文書を参照して十分注意すること。
  • 〈強皮症〉
    1. 8.8 強皮症患者における強皮症腎クリーゼの発現率は、副腎皮質ホルモン剤投与患者で高いとの報告がある。本剤を強皮症患者に投与する場合は、血圧及び腎機能を慎重にモニターし、強皮症腎クリーゼの徴候や症状の出現に注意すること。また、異常が認められた場合には適切な処置を行うこと。
  • 〈全身性ALアミロイドーシス〉
    1. 8.9 緊急時に十分対応できる医療施設において、全身性ALアミロイドーシスに十分な知識・経験を持つ医師のもとで使用すること。また、適応患者の選択にあたっては各併用薬剤の添付文書を参照して十分注意すること。

9. 特定の背景を有する患者に関する注意

9.1 合併症・既往歴等のある患者

  1. 9.1.1 以下の患者には治療上やむを得ないと判断される場合を除き投与しないこと。
    1. (1) 有効な抗菌剤の存在しない感染症、全身の真菌症の患者

      免疫抑制作用により、感染症が増悪するおそれがある。

    2. (2) 消化性潰瘍の患者

      粘膜防御能の低下等により、消化性潰瘍が増悪するおそれがある。

    3. (3) 精神病の患者

      中枢神経系に影響し、精神病が増悪するおそれがある。

    4. (4) 結核性疾患の患者

      免疫抑制作用により、結核性疾患が増悪するおそれがある。

    5. (5) 単純疱疹性角膜炎の患者

      免疫抑制作用により、単純疱疹性角膜炎が増悪するおそれがある。

    6. (6) 後嚢白内障の患者

      水晶体線維に影響し、後嚢白内障が増悪するおそれがある。,

    7. (7) 緑内障の患者

      眼圧が上昇し、緑内障が増悪するおそれがある。,

    8. (8) 高血圧症の患者

      ナトリウム・水貯留作用等により、高血圧症が増悪するおそれがある。

    9. (9) 電解質異常のある患者

      ナトリウム・水貯留作用により、電解質異常が増悪するおそれがある。

    10. (10) 血栓症の患者

      血液凝固能が亢進し、血栓症が増悪するおそれがある。

    11. (11) 最近行った内臓の手術創のある患者

      創傷治癒を遅延するおそれがある。

    12. (12) 急性心筋梗塞を起こした患者

      心破裂を起こしたとの報告がある。

    13. (13) コントロール不良の糖尿病の患者

      糖新生促進作用(血糖値上昇)等により、糖尿病が増悪するおそれがある。

  2. 9.1.2 感染症の患者(有効な抗菌剤の存在しない感染症、全身の真菌症の患者を除く)

    免疫抑制作用により、感染症が増悪するおそれがある。

  3. 9.1.3 糖尿病の患者

    糖新生促進作用(血糖値上昇)等により、糖尿病が増悪するおそれがある。

  4. 9.1.4 骨粗鬆症の患者

    骨形成抑制作用及びカルシウム代謝の障害を起こすことにより、骨粗鬆症が増悪するおそれがある。

  5. 9.1.5 甲状腺機能低下のある患者

    血中半減期の延長がみられ、副作用が起こりやすい。

  6. 9.1.6 脂肪肝の患者

    脂質代謝に影響し、脂肪肝が増悪するおそれがある。

  7. 9.1.7 脂肪塞栓症の患者

    脂質代謝に影響し、脂肪塞栓症が増悪するおそれがある。

  8. 9.1.8 重症筋無力症の患者

    使用当初、一時症状が増悪することがある。

  9. 9.1.9 B型肝炎ウイルスキャリアの患者

    B型肝炎ウイルスの増殖による肝炎があらわれることがある。本剤の投与期間中及び投与終了後は継続して肝機能検査値や肝炎ウイルスマーカーのモニタリングを行うなど、B型肝炎ウイルス増殖の徴候や症状の発現に注意すること。異常が認められた場合には、本剤の減量を考慮し、抗ウイルス剤を投与するなど適切な処置を行うこと。なお、投与開始前にHBs抗原陰性の患者において、B型肝炎ウイルスによる肝炎を発症した症例が報告されている。

  10. 9.1.10 褐色細胞腫又はパラガングリオーマのある患者及びその疑いのある患者

    褐色細胞腫クリーゼがあらわれることがある。,

9.2 腎機能障害患者

  1. 9.2.1 腎不全の患者

    症状が増悪するおそれがある。

9.3 肝機能障害患者

  1. 9.3.1 肝硬変の患者

    慢性肝疾患患者では、血中半減期の延長がみられ、副作用が起こりやすい。

9.5 妊婦

妊婦又は妊娠している可能性のある女性には治療上の有益性が危険性を上回ると判断される場合にのみ投与すること。動物実験で催奇形作用が報告されており、また、新生児に副腎不全を起こすことがある。
デキサメタゾン0.8mgをマウスの妊娠8日から14日までの各日にそれぞれ1回投与した試験、及び0.08mgを妊娠9日から13日の各日を投与初日としそれぞれ4日間連続投与した試験において、口蓋裂の発生が認められている2)

9.6 授乳婦

治療上の有益性及び母乳栄養の有益性を考慮し、授乳の継続又は中止を検討すること。

9.7 小児等

  1. 9.7.1 観察を十分に行うこと。小児等の発育抑制があらわれることがある。
  2. 9.7.2 長期投与した場合、頭蓋内圧亢進症状があらわれることがある。
  3. 9.7.3 低出生体重児で、脳性麻痺、一過性の肥大型心筋症が起こることが報告されている。

9.8 高齢者

長期投与した場合、感染症の誘発、糖尿病、骨粗鬆症、高血圧症、後嚢白内障、緑内障等の副作用があらわれやすい。

10. 相互作用

  • 本剤は、主に肝代謝酵素チトクロームP450 3A4(CYP3A4)により代謝される。また、CYP3A4の誘導作用をもつ。

10.1 併用禁忌(併用しないこと)

薬剤名等臨床症状・措置方法機序・危険因子

デスモプレシン酢酸塩水和物(男性における夜間多尿による夜間頻尿)

  • ミニリンメルト

低ナトリウム血症が発現するおそれがある。

機序不明

*リルピビリン

  • *エジュラント、リカムビス

リルピビリン塩酸塩・テノホビル アラフェナミドフマル酸塩・エムトリシタビン

  • オデフシィ

リルピビリン塩酸塩・ドルテグラビルナトリウム

  • ジャルカ

これらの薬剤の血中濃度を低下させ、作用を減弱させるおそれがある。

本剤のCYP3A4誘導作用により、これらの薬剤の代謝が促進される可能性がある。

10.2 併用注意(併用に注意すること)

薬剤名等臨床症状・措置方法機序・危険因子

主にCYP3A4で代謝される薬剤

  • イマチニブ
  • エプレレノン
  • エレトリプタン
  • ドネペジル等

これらの薬剤の血中濃度を低下させ、作用を減弱させるおそれがある。

本剤のCYP3A4誘導作用により、これらの薬剤の代謝が促進される可能性がある。

カスポファンギン

カスポファンギンの血中濃度が低下するおそれがある。

本剤がカスポファンギンの取り込み輸送過程に影響し、カスポファンギンのクリアランス誘導が起きると考えられる。

CYP3A4を誘導する薬剤

  • バルビツール酸誘導体
    • フェノバルビタール
  • リファンピシン
  • カルバマゼピン等

本剤の作用が減弱することが報告されている。

これらの薬剤はチトクロームP450を誘導し、本剤の代謝が促進される。

フェニトイン

本剤の作用が減弱することが報告されている。

フェニトインがチトクロームP450を誘導し、本剤の代謝が促進される。

フェニトイン

併用により、フェニトインの血中濃度が上昇又は低下するとの報告がある。

機序不明

HIVプロテアーゼ阻害剤

  • リトナビル

本剤のAUCの上昇あるいはこれらの薬剤のAUCが低下するおそれがある。

チトクロームP450に対して競合する可能性がある。また、本剤がチトクロームP450を誘導することより、これらの薬剤の代謝が促進される可能性がある。

アプレピタント

本剤の作用が増強されるおそれがある。

アプレピタントの用量依存的なCYP3A4阻害作用により、本剤の代謝が阻害される。

*エンシトレルビル フマル酸

*本剤の作用が増強されるおそれがある。

*エンシトレルビルのCYP3Aに対する阻害作用により、本剤の代謝が阻害される。

マクロライド系抗生物質

  • エリスロマイシン

アゾール系抗真菌剤

  • イトラコナゾール

副腎皮質ホルモン剤の作用が増強されるとの報告がある。

本剤の代謝が阻害されるおそれがある。

メフロキン

併用により本剤又はメフロキンの血中濃度が変動するおそれがある。

メフロキンはCYP3Aにより代謝されることが示唆されており、相互に影響を受ける可能性が考えられる。

シクロスポリン

副腎皮質ホルモン剤の大量投与により、併用したシクロスポリンの血中濃度が上昇するとの報告がある。

シクロスポリンの代謝を阻害する。

サリチル酸誘導体

  • アスピリン

併用時に本剤を減量すると、血清中のサリチル酸誘導体の濃度が増加し、サリチル酸中毒を起こすことが報告されている。

本剤はサリチル酸誘導体の腎排泄と肝代謝を促進し、血清中のサリチル酸誘導体の濃度が低下する。

抗凝血剤

  • ワルファリンカリウム

抗凝血剤の作用を減弱させることが報告されている。

本剤は血液凝固促進作用がある。

糖尿病用薬

  • ビグアナイド系薬剤
  • スルホニルウレア剤
  • 速効型インスリン分泌促進剤
  • α-グルコシダーゼ阻害剤
  • チアゾリジン系薬剤
  • DPP-4阻害剤
  • GLP-1受容体作動薬
  • SGLT2阻害剤

インスリン製剤等

これらの薬剤の作用を減弱させることが報告されている。

本剤は肝臓での糖新生を促進し、末梢組織での糖利用を阻害する。

血圧降下剤

これらの薬剤の作用を減弱させるおそれがある。

機序不明

利尿剤

これらの薬剤の作用を減弱させるおそれがある。

機序不明

利尿剤(カリウム保持性利尿剤を除く)

  • トリクロルメチアジド
  • フロセミド

併用により、低カリウム血症があらわれることがある。

本剤は尿細管でのカリウム排泄促進作用がある。

カルシウム受容体作動薬

  • エボカルセト
  • エテルカルセチド
  • シナカルセト

血清カルシウム濃度が低下するおそれがある。

これらの薬剤の血中カルシウム低下作用が増強される可能性がある。

エフェドリン

副腎皮質ホルモン剤の代謝が促進され、血中濃度が低下するとの報告がある。

機序不明

サリドマイド

血栓症と血栓塞栓症のリスクを高める危険性がある。

相互に作用を増強するおそれがある。

サリドマイド

海外において、多発性骨髄腫における本剤との併用により、中毒性表皮壊死融解症(Toxic Epidermal Necrolysis:TEN)が発現したとの報告がある。

機序不明

11. 副作用

次の副作用があらわれることがあるので、観察を十分に行い、異常が認められた場合には投与を中止するなど適切な処置を行うこと。

11.1 重大な副作用

  1. 11.1.1 誘発感染症、感染症の増悪(いずれも頻度不明)

    **B型肝炎ウイルスの増殖による肝炎があらわれることがある。また、進行性多巣性白質脳症(PML)が認められることがあるので、本剤の投与中及び投与終了後は患者の状態を十分に観察し、意識障害、認知機能障害、麻痺症状(片麻痺、四肢麻痺)、構音障害、失語等の症状があらわれた場合には、MRIによる画像診断及び脳脊髄液検査を行うとともに、適切な処置を行うこと。,,,,

  2. 11.1.2 続発性副腎皮質機能不全、糖尿病(いずれも頻度不明)

  3. 11.1.3 消化性潰瘍、消化管穿孔、膵炎(いずれも頻度不明)

  4. 11.1.4 精神変調、うつ状態、痙攣(いずれも頻度不明)

  5. 11.1.5 骨粗鬆症、大腿骨及び上腕骨等の骨頭無菌性壊死、ミオパシー、脊椎圧迫骨折、長骨の病的骨折(いずれも頻度不明)

  6. 11.1.6 緑内障、後嚢白内障(いずれも頻度不明)

    ,

  7. 11.1.7 血栓塞栓症(頻度不明)

  8. 11.1.8 *腫瘍崩壊症候群(頻度不明)

    リンパ系腫瘍を有する患者に投与した場合、腫瘍崩壊症候群があらわれることがある。異常が認められた場合には、適切な処置(生理食塩液、高尿酸血症治療剤等の投与、透析等)を行うとともに、症状が回復するまで患者の状態を十分に観察すること。

11.2 その他の副作用

頻度不明

内分泌

月経異常

消化器

下痢、悪心・嘔吐、胃痛、胸やけ、腹部膨満感、口渇、食欲不振、食欲亢進、便秘

精神神経系

多幸症、不眠、頭痛、めまい、振戦、末梢性感覚ニューロパチー、激越、傾眠

筋・骨格

筋肉痛、関節痛、関節腫脹

脂質・蛋白質
代謝

満月様顔貌、野牛肩、窒素負平衡、脂肪肝

体液・電解質

浮腫、血圧上昇、低カリウム性アルカローシス、低ナトリウム血症、高カリウム血症

中心性漿液性網脈絡膜症等による網膜障害、眼球突出

血液

白血球増多、好中球減少症、血小板減少症、白血球減少症

皮膚

ざ瘡、多毛、脱毛、色素沈着、皮下いっ血、紫斑、線条、そう痒、発汗異常、顔面紅斑、紅斑、創傷治癒障害、皮膚菲薄化・脆弱化、脂肪織炎、皮膚乾燥

過敏症

発疹

その他

発熱、疲労感、ステロイド腎症、頻尿、体重増加、精子数及びその運動性の増減、しゃっくり、発声障害、咳嗽、動悸、耳鳴

12. 臨床検査結果に及ぼす影響

  1. 12.1 インドメタシン投与中の患者にデキサメタゾン抑制試験を実施すると、試験結果が偽陰性になるとの報告がある。
  2. 12.2 副腎皮質ホルモン剤は、細菌感染症に対するニトロブルー・テトラゾリウム試験に影響を及ぼし、試験結果が偽陰性を示すことがある。

14. 適用上の注意

14.1 薬剤交付時の注意

PTP包装の薬剤はPTPシートから取り出して服用するよう指導すること。PTPシートの誤飲により、硬い鋭角部が食道粘膜へ刺入し、更には穿孔を起こして縦隔洞炎等の重篤な合併症を併発することが報告されている。

15. その他の注意

15.1 臨床使用に基づく情報

副腎皮質ホルモン剤を投与中の患者にワクチンを接種して神経障害、抗体反応の欠如が起きたとの報告がある。

16. 薬物動態

16.1 血中濃度

  1. 16.1.1 生物学的同等性試験

    デカドロン錠4mg 1錠及びデカドロン錠0.5mg 8錠(デキサメタゾンとして4mg)をクロスオーバー法により健康成人男性に絶食単回経口投与して血漿中デキサメタゾン濃度を測定し、得られた薬物動態パラメータ(AUC、Cmax)について90%信頼区間法にて統計解析を行った結果、log(0.80)~log(1.25)の範囲内であり、両剤の生物学的同等性が確認された3)

    判定パラメーター

    参考パラメーター

    AUC0→24
    (ng・hr/mL)

    Cmax
    (ng/mL)

    Tmax
    (hr)

    t1/2
    (hr)

    デカドロン錠
    4mg

    213.0±38.1

    46.6±10.4

    1.22±0.59

    4.26±0.56

    デカドロン錠
    0.5mg

    198.9±40.7

    43.6±11.6

    1.06±0.58

    4.06±0.44

    (4mg投与, Mean±S.D., n=20)

    血漿中濃度並びにAUC、Cmax等のパラメータは、被験者の選択、体液の採取回数・時間等の試験条件によって異なる可能性がある。

17. 臨床成績

17.1 有効性及び安全性に関する試験

  • 〈全身性ALアミロイドーシス〉
    1. 17.1.1 国際共同第Ⅲ相試験

      未治療の全身性ALアミロイドーシスを有する18歳以上の患者388例(日本人28例を含む)を対象にシクロホスファミド、ボルテゾミブ及びデキサメタゾンの併用療法(CyBorD療法)とダラツムマブを上乗せしたDCyBorD療法を比較するランダム化非盲検群間比較試験を実施した。いずれの療法も28日間を1サイクルとし、CyBorD群ではシクロホスファミド300mg/m2(無水物換算、経口又は静脈内)、ボルテゾミブ1.3mg/m2(皮下)及びデキサメタゾン40mg(経口)を1週間間隔で投与し、最大6サイクルまで施行した。DCyBorD群ではCyBorDに上乗せしダラツムマブ1,800mg(皮下)をサイクル1~2は1週間隔、サイクル3~6は2週間隔、サイクル7以降は4週間隔で投与し、最大24サイクルまで施行した。各薬剤は症状に応じ適宜減量した。
      有効性主要評価項目である血液学的完全奏功(CR)率はDCyBorD群(195例)53.3%(95%信頼区間:46.1-60.5)、CyBorD群(193例)18.1%(95%信頼区間:13.0-24.3)であり、両群間のオッズ比は5.13(95%信頼区間:3.22-8.16)、p<0.0001でありDCyBorD群が統計的に有意に高かった(層別Cochran-Mantel-Haenszel検定、有意水準0.04999)。日本人サブグループ解析においても全体と同様の傾向であった。
      安全性評価対象例(DCyBorD群193例)の副作用発現率は90.2%であった。主な副作用は末梢性浮腫14.5%、下痢19.7%、便秘20.7%、末梢性感覚ニューロパチー27.5%、疲労20.2%、悪心15.0%及び不眠症18.1%であった。DCyBorD群の72.5%がベースライン時に全身性ALアミロイドーシスに関連する心臓障害を有していた。心臓障害関連の有害事象は、心不全8.3%、動悸5.7%、心房細動5.7%であり、重篤又は致死的な心臓障害関連の有害事象は心不全6.2%、心停止3.6%、心房細動2.1%であった。重篤又は致死的な心臓障害を発現した患者はベースライン時に全身性ALアミロイドーシスに関連する心臓障害を有していた4)。なお、臨床試験ではMayo Clinic Cardiac Staging Systemに基づく心臓病期 stage Ⅲb(NT-proBNP>8,500pg/mL)、NYHA分類クラスⅢB又はⅣの患者は除外された。

18. 薬効薬理

18.1 作用機序

合成副腎皮質ホルモンで、天然の糖質コルチコイドと同じ機序により、起炎物質の生合成抑制と炎症細胞の遊走抑制により抗炎症作用を現す。細胞質あるいは核内に存在する受容体に結合すると、核内に移行して特定の遺伝子の転写を開始あるいは阻害する。転写が開始されて合成される代表的なタンパク質はリポコルチン-1であるが、これはホスホリパーゼA2を阻害して結果的にプロスタグランジン類、トロンボキサン類、ロイコトリエン類などの起炎物質の産生を低下させる5),6)

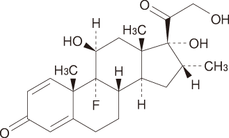
19. 有効成分に関する理化学的知見

一般的名称

デキサメタゾン(Dexamethasone)

化学名

9-Fluoro-11β,17,21-trihydroxy-16α-methylpregna-1,4-diene-3,20-dione

分子式

C22H29FO5

分子量

392.46

性状

白色~微黄色の結晶又は結晶性の粉末である。
メタノール、エタノール(95)又はアセトンにやや溶けにくく、アセトニトリルに溶けにくく、水にほとんど溶けない。
結晶多形が認められる。

化学構造式

融点

約245℃(分解)

22. 包装

  • デカドロン錠0.5mg

    100錠[10錠×10;PTP]

    500錠[10錠×50;PTP]

  • デカドロン錠4mg

    100錠[10錠×10;PTP:乾燥剤入り]

24. 文献請求先及び問い合わせ先

日医工株式会社 お客様サポートセンター

〒930-8583 富山市総曲輪1丁目6番21

TEL(0120)517-215
FAX(076)442-8948

26. 製造販売業者等

26.1 製造販売元

日医工株式会社

富山市総曲輪1丁目6番21

〒100-0013 東京都千代田区霞が関3-3-2 新霞が関ビル

画面を閉じる

Copyright © Pharmaceuticals and Medical Devices Agency, All Rights reserved.