医療用医薬品 詳細表示

リマプロストアルファデクス錠5μg「日医工」

処方せん医薬品

添付文書番号
企業コード
作成又は改訂年月
日本標準商品分類番号
薬効分類名
承認等
一般的名称
2.禁忌(次の患者には投与しないこと)
3.組成・性状
3.1組成
3.2製剤の性状
4.効能又は効果
5.効能又は効果に関連する注意
6.用法及び用量
8.重要な基本的注意
9.特定の背景を有する患者に関する注意
9.1合併症・既往歴等のある患者
9.5妊婦
9.6授乳婦
9.7小児等
10.相互作用
10.2併用注意(併用に注意すること)
11.副作用
11.1重大な副作用
11.2その他の副作用
13.過量投与
14.適用上の注意
16.薬物動態
16.1血中濃度
16.2吸収
16.3分布
16.4代謝
16.5排泄
17.臨床成績
17.1有効性及び安全性に関する試験
18.薬効薬理
18.1作用機序
18.2薬理作用
19.有効成分に関する理化学的知見
20.取扱い上の注意
22.包装
23.主要文献
24.文献請求先及び問い合わせ先
26.製造販売業者等

リマプロストアルファデクス錠5μg「日医工」

添付文書番号

3399003F1111_1_07

企業コード

530169

作成又は改訂年月

2023年9月改訂(第1版)

日本標準商品分類番号

87219

薬効分類名

経口プロスタグランジンE1誘導体製剤

承認等

リマプロストアルファデクス錠5μg「日医工」

販売名コード

YJコード

3399003F1111

販売名英語表記

Limaprost Alfadex Tablets

販売名ひらがな

りまぷろすとあるふぁでくすじょう5μg「にちいこう」

承認番号等

承認番号

22400AMX00915000

販売開始年月

2003年7月

貯法・有効期間

貯法

室温保存

有効期間

3年

一般的名称

リマプロスト アルファデクス錠

2. 禁忌(次の患者には投与しないこと)

  1. 2.1 妊婦又は妊娠している可能性のある女性

3. 組成・性状

3.1 組成

リマプロストアルファデクス錠5μg「日医工」

有効成分1錠中
リマプロスト アルファデクス   0.167mg
(リマプロストとして   5μg )
添加剤デキストラン40、β-シクロデキストリン、乳糖水和物、カルメロース、軽質無水ケイ酸、ステアリン酸マグネシウム

3.2 製剤の性状

リマプロストアルファデクス錠5μg「日医工」

剤形素錠
色調白色
外形表面
裏面
側面
大きさ直径6.5mm
厚さ2.9mm
質量約95mg
本体コード202
包装コード202

4. 効能又は効果

  • 閉塞性血栓血管炎に伴う潰瘍、疼痛および冷感などの虚血性諸症状の改善
  • 後天性の腰部脊柱管狭窄症(SLR試験正常で、両側性の間欠跛行を呈する患者)に伴う自覚症状(下肢疼痛、下肢しびれ)および歩行能力の改善

5. 効能又は効果に関連する注意

  • 〈後天性の腰部脊柱管狭窄症(SLR試験正常で、両側性の間欠跛行を呈する患者)に伴う自覚症状(下肢疼痛、下肢しびれ)および歩行能力の改善〉

    手術適応となるような重症例での有効性は確立していない。

6. 用法及び用量

  • 〈閉塞性血栓血管炎に伴う潰瘍、疼痛および冷感などの虚血性諸症状の改善〉

    通常成人に、リマプロストとして1日30μgを3回に分けて経口投与する。

  • 〈後天性の腰部脊柱管狭窄症(SLR試験正常で、両側性の間欠跛行を呈する患者)に伴う自覚症状(下肢疼痛、下肢しびれ)および歩行能力の改善〉

    通常成人に、リマプロストとして1日15μgを3回に分けて経口投与する。

8. 重要な基本的注意

  • 〈後天性の腰部脊柱管狭窄症(SLR試験正常で、両側性の間欠跛行を呈する患者)に伴う自覚症状(下肢疼痛、下肢しびれ)および歩行能力の改善〉

    症状の経過観察を行い、漫然と継続投与しないこと。

9. 特定の背景を有する患者に関する注意

9.1 合併症・既往歴等のある患者

  1. 9.1.1 出血傾向のある患者

    出血を助長するおそれがある。

9.5 妊婦

妊婦又は妊娠している可能性のある女性には投与しないこと。動物実験(妊娠サル、妊娠ラット静脈内投与)で子宮収縮作用が報告されている1)

9.6 授乳婦

治療上の有益性及び母乳栄養の有益性を考慮し、授乳の継続又は中止を検討すること。動物実験(授乳ラット経口投与)で乳汁中への移行が報告されている2)

9.7 小児等

小児等を対象とした臨床試験は実施していない。

10. 相互作用

    10.2 併用注意(併用に注意すること)

    薬剤名等臨床症状・措置方法機序・危険因子

    抗血小板剤

    • アスピリン
      チクロピジン
      シロスタゾール

    血栓溶解剤

    • ウロキナーゼ

    抗凝血剤

    • ヘパリン
      ワルファリン

    これらの薬剤と併用することにより出血傾向の増強をきたすおそれがある。
    観察を十分に行い、用量を調節するなど注意すること。

    本剤は血小板凝集能を抑制するため、類似の作用を持つ薬剤を併用することにより作用を増強することが考えられる。

    11. 副作用

    次の副作用があらわれることがあるので、観察を十分に行い、異常が認められた場合には投与を中止するなど、適切な処置を行うこと。

    11.1 重大な副作用

    1. 11.1.1 肝機能障害、黄疸

      AST、ALTの著しい上昇等を伴う肝機能障害、黄疸(いずれも頻度不明)があらわれることがある。

    11.2 その他の副作用

    0.1~1%未満

    0.1%未満

    頻度不明

    過 敏 症

    発疹、そう痒感等

    蕁麻疹

    光線過敏症

    出血傾向

    出血

    血  液

    貧血、血小板減少

    消 化 器

    下痢、悪心、
    腹部不快感、
    腹痛、食欲
    不振、胸やけ

    嘔吐、腹部膨満感、
    口渇、口内炎

    舌しびれ

    肝  臓

    AST・ALTの
    上昇等の肝機
    能異常

    循 環 器

    心悸亢進

    頻脈、低血圧、
    四肢のチアノーゼ、
    血圧上昇

    精神神経系

    頭痛、めまい

    しびれ感、眠気、
    不眠

    そ の 他

    潮紅、ほてり

    全身倦怠感、胸痛、
    胸部不快感、四肢痛、
    浮腫、乳腺腫脹、
    身ぶるい、下肢多毛、
    味覚異常

    注):発現頻度は使用成績調査を含む。

    13. 過量投与

    1. 13.1 症状

      健康成人に大量投与(30~40μg/回)したとき一過性の血圧下降を認めたとの報告がある3)

    14. 適用上の注意

    14.1 薬剤交付時の注意

    PTP包装の薬剤はPTPシートから取り出して服用するよう指導すること。PTPシートの誤飲により、硬い鋭角部が食道粘膜へ刺入し、更には穿孔をおこして縦隔洞炎等の重篤な合併症を併発することがある。

    16. 薬物動態

    16.1 血中濃度

    健康成人40例にリマプロストとして5μgを空腹時単回経口投与すると、血漿中濃度は0.333時間後に最高に達し、その濃度は1.55pg/mLである。また、消失半減期は0.511時間である4)

    Tmax
    (hr)

    Cmax
    (pg/mL)

    AUC0-∞
    (pg・hr/mL)

    T1/2
    (hr)

    0.333
    (0.333,0.830)

    1.55±0.798

    0.870±0.332

    0.511±0.286

    平均値±標準偏差、Tmaxのみ中央値(最小値、最大値)、AUC及びT1/2はn=39

    16.2 吸収

    〔11β-3H〕リマプロスト アルファデクスをラットに経口投与したとき、90~95%が吸収される2)

    16.3 分布

    ヒト血漿(0.023mM濃度)に対する蛋白結合率は95.8%である(in vitro、限外ろ過法)5)

    16.4 代謝

    リマプロストはα鎖のβ酸化、ω鎖末端の酸化、五員環の異性化、C-9位のカルボニル基の還元等を受けて代謝される5)
    また、本剤はヒトのチトクロームP450の分子種(CYP1A2、CYP2C9、CYP2C19、CYP2D6及びCYP3A4)を阻害しなかった(in vitro6)

    16.5 排泄

    〔11β-3H〕リマプロスト アルファデクスをラットに経口投与したとき、投与量の75~80%が胆汁中に排泄されるが、腸肝循環して投与72時間後までに尿中に約30%、糞中に約70%排泄される2)

    17. 臨床成績

    17.1 有効性及び安全性に関する試験

    • 〈閉塞性血栓血管炎に伴う潰瘍、疼痛および冷感などの虚血性諸症状の改善〉
      1. 17.1.1 国内二重盲検比較試験

        二重盲検比較試験において閉塞性血栓血管炎に対する有用性が認められている7)

      2. 17.1.2 国内臨床試験

        二重盲検比較試験7)を含む臨床試験において、閉塞性血栓血管炎に伴う潰瘍、疼痛および冷感などの虚血性諸症状の改善が認められ、全般改善度は56%(77/138例)である。

    • 〈後天性の腰部脊柱管狭窄症(SLR試験正常で、両側性の間欠跛行を呈する患者)に伴う自覚症状(下肢疼痛、下肢しびれ)および歩行能力の改善〉
      1. 17.1.3 国内二重盲検比較試験

        二重盲検比較試験において腰部脊柱管狭窄症に対する有用性が認められている8)

      2. 17.1.4 国内臨床試験

        二重盲検比較試験8)を含む臨床試験において、後天性の腰部脊柱管狭窄症(SLR試験正常で、両側性の間欠跛行を呈する患者)に伴う自覚症状(下肢疼痛、下肢しびれ)および歩行能力の改善が認められ、全般改善度は56%(94/168例)である。なお、これらの評価は6週間投与で実施されている。

    18. 薬効薬理

    18.1 作用機序

    本剤は強力な血管拡張作用、血流増加作用および血小板凝集抑制作用を有し、臨床的には閉塞性血栓血管炎に伴う潰瘍、疼痛および冷感などの虚血性諸症状に対する効果および後天性の腰部脊柱管狭窄症(SLR試験正常で、両側性の間欠跛行を呈する患者)に伴う自覚症状(下肢疼痛、下肢しびれ)および歩行能力に対する効果が認められている。

    18.2 薬理作用

    1. 18.2.1 末梢循環障害改善作用

      大腿動脈にラウリン酸を投与して作成した末梢(後肢)循環障害モデルおよびアドレナリンとエルゴタミンを皮下投与して作成した末梢(尾)循環障害モデルにおいて、虚血性病変の進行を抑制する(ラット)9)

    2. 18.2.2 血流増加・皮膚温上昇作用
      1. (1) 大腿動脈血流量および後肢皮膚血流量を増加し、後肢皮膚温を上昇させるが、この血流増加作用は腰部交感神経切除によって影響されない(イヌ)10)
      2. (2) 閉塞性血栓血管炎患者に経口投与すると、末梢側(足背、足底)の皮膚温が上昇する11)
    3. 18.2.3 血小板に対する作用
      1. (1) 血小板粘着抑制作用
        • 血栓性疾患患者に経口投与すると、血小板粘着能が低下する12)
        • 血小板の粘着を抑制し、その50%抑制濃度はリマプロストとして0.186ng/mLである(モルモット、in vitro)。経口投与においても、血小板粘着を抑制する(モルモット、ex vivo13)
      2. (2) 血小板凝集抑制作用
        • 血栓性疾患患者に経口投与すると、血小板凝集を抑制する。この作用の強さはプロスタグランジンI2に匹敵する(in vitro12)
        • 種々の凝集誘発物質による血小板凝集を抑制し、また、ADP凝集を解離する(モルモット、in vitro14)
          経口投与においても、血小板凝集を抑制する(モルモット、ex vivo13)
        • 血小板のサイクリックAMP含量を著明に増加し、また、トロンボキサンA2の生成を抑制する(モルモット、in vitro14),15)
    4. 18.2.4 抗血栓作用

      電気刺激により腸間膜動脈に血栓を形成する実験において、用量依存的に血栓形成の閾値電圧を上昇させる(モルモット)16)

    5. 18.2.5 神経組織血流量増加作用
      1. (1) 第6腰椎の硬膜上にバルーンを挿入して馬尾神経を圧迫したモデルにおいて、馬尾神経組織血流量を改善する(イヌ)17)
      2. (2) 第4および第6腰椎脊柱管内にシリコンラバーを挿入して馬尾神経を圧迫したモデルにおいて、馬尾神経組織血流量を改善する(ラット)18)
      3. (3) 右後肢の坐骨神経を2ヵ所結紮した坐骨神経結紮モデルにおいて、結紮中間部の坐骨神経組織血流量を改善する(ラット)19)
    6. 18.2.6 神経機能改善作用
      1. (1) 第7腰椎の硬膜上にバルーンを挿入して馬尾神経を圧迫したモデルにおいて、神経伝導速度の低下を抑制する(イヌ)20)
      2. (2) 右後肢の坐骨神経を4ヵ所結紮した坐骨神経結紮モデルにおいて、結紮側大腿部筋肉の熱刺激誘発筋放電持続時間の延長を抑制する(ラット)21)
    7. 18.2.7 痛覚過敏改善作用

      右後肢の坐骨神経を2ヵ所結紮した坐骨神経結紮モデルにおいて、結紮側の痛覚過敏を改善する(ラット)19)

    8. 18.2.8 歩行障害改善作用

      第4および第6腰椎脊柱管内にシリコンラバーを挿入して馬尾神経を圧迫したモデルにおいて、歩行距離の低下を改善する(ラット)18)

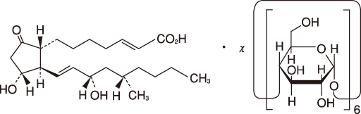
    19. 有効成分に関する理化学的知見

    一般的名称

    リマプロスト アルファデクス(Limaprost Alfadex)

    化学名

    (2E)-7-{(1R,2R,3R)-3-Hydroxy-2-[(1E,3S,5S)-3-hydroxy-5-methylnon-1-en-1-yl]-5-oxocyclopentyl}hept-2-enoic acid-α-cyclodextrin

    分子式

    C22H36O5・χC36H60O30

    分子量

    380.52(リマプロストとして)

    性状

    白色の粉末である。
    水に溶けやすく、メタノールに溶けにくく、エタノール(99.5)に極めて溶けにくく、酢酸エチルにほとんど溶けない。
    吸湿性である。

    化学構造式

    20. 取扱い上の注意

    吸湿性を有するため、アルミピロー又は瓶の開封後は湿気を避けて保存し、なるべく速やかに使用すること。

    22. 包装

    100錠[プラスチックボトル;バラ:乾燥剤入り]
    210錠[21錠×10;PTP:乾燥剤入り]
    500錠[プラスチックボトル;バラ:乾燥剤入り]
    1050錠[21錠×50;PTP:乾燥剤入り]

    24. 文献請求先及び問い合わせ先

    日医工株式会社 お客様サポートセンター

    〒930-8583 富山市総曲輪1丁目6番21

    TEL(0120)517-215
    FAX(076)442-8948

    26. 製造販売業者等

    26.1 製造販売元

    日医工株式会社

    富山市総曲輪1丁目6番21

    〒100-0013 東京都千代田区霞が関3-3-2 新霞が関ビル

    画面を閉じる

    Copyright © Pharmaceuticals and Medical Devices Agency, All Rights reserved.