医療用医薬品 詳細表示

ヒアルロン酸ナトリウム関節注25mg「日医工」

処方せん医薬品

添付文書番号
企業コード
作成又は改訂年月
日本標準商品分類番号
薬効分類名
承認等
一般的名称
2.禁忌(次の患者には投与しないこと)
3.組成・性状
3.1組成
3.2製剤の性状
4.効能又は効果
5.効能又は効果に関連する注意
6.用法及び用量
7.用法及び用量に関連する注意
8.重要な基本的注意
9.特定の背景を有する患者に関する注意
9.1合併症・既往歴等のある患者
9.3肝機能障害患者
9.5妊婦
9.6授乳婦
9.7小児等
11.副作用
11.1重大な副作用
11.2その他の副作用
14.適用上の注意
18.薬効薬理
18.1作用機序
19.有効成分に関する理化学的知見
22.包装
23.主要文献
24.文献請求先及び問い合わせ先
26.製造販売業者等

ヒアルロン酸ナトリウム関節注25mg「日医工」

添付文書番号

3999408A1295_1_03

企業コード

530169

作成又は改訂年月

2024年2月改訂(第1版)

日本標準商品分類番号

873999

薬効分類名

関節機能改善剤

承認等

ヒアルロン酸ナトリウム関節注25mg「日医工」

販売名コード

YJコード

3999408A1295

販売名英語表記

Sodium Hyaluronate Intra-articular Injection

販売名ひらがな

ひあるろんさんなとりうむかんせつちゅう25mg「にちいこう」

承認番号等

承認番号

22500AMX00661000

販売開始年月

1995年7月

貯法・有効期間

貯法

室温保存

有効期間

3年

基準名

日本薬局方

精製ヒアルロン酸ナトリウム注射液

一般的名称

精製ヒアルロン酸ナトリウム注射液

2. 禁忌(次の患者には投与しないこと)

本剤の成分に対し過敏症の既往歴のある患者

3. 組成・性状

3.1 組成

ヒアルロン酸ナトリウム関節注25mg「日医工」

有効成分1管(2.5mL)中
精製ヒアルロン酸ナトリウム   25mg
添加剤1管中  
塩化ナトリウム   21mg
リン酸二水素ナトリウム水和物   0.16mg
リン酸水素ナトリウム水和物   3.22mg

3.2 製剤の性状

ヒアルロン酸ナトリウム関節注25mg「日医工」

pH6.8~7.8
浸透圧比約1
(生理食塩液に対する比)
剤形・性状水性注射剤
無色澄明な粘稠性のある液

4. 効能又は効果

○変形性膝関節症、肩関節周囲炎

○関節リウマチにおける膝関節痛(下記(1)~(4)の基準を全て満たす場合に限る)

(1)抗リウマチ薬等による治療で全身の病勢がコントロールできていても膝関節痛のある場合

(2)全身の炎症症状がCRP値として10mg/dL以下の場合

(3)膝関節の症状が軽症から中等症の場合

(4)膝関節のLarsen X線分類がGradeⅠからGradeⅢの場合

5. 効能又は効果に関連する注意

  • 〈関節リウマチにおける膝関節痛〉
    1. 5.1 膝関節以外の使用経験はなく、他の関節については有効性・安全性が確立していないため本剤を投与しないこと。
    2. 5.2 関節リウマチでは膝関節の器質的変化が高度なものは有効性・安全性が確立していないため本剤を投与しないこと。

6. 用法及び用量

  • 〈変形性膝関節症、肩関節周囲炎〉

    通常、成人1回1アンプルを1週間ごとに連続5回膝関節腔内又は肩関節(肩関節腔、肩峰下滑液包又は上腕二頭筋長頭腱腱鞘)内に投与するが、症状により投与回数を適宜増減する。

  • 〈関節リウマチにおける膝関節痛〉

    通常、成人1回2.5mLを1週間毎に連続5回膝関節腔内に投与する。

     

    本剤は関節内に投与するので、厳重な無菌的操作のもとに行うこと。

7. 用法及び用量に関連する注意

  • 〈効能共通〉
    1. 7.1 症状の改善が認められない場合は、5回を限度として投与を中止すること。
  • 〈関節リウマチにおける膝関節痛〉
    1. 7.2 本剤による治療は原因療法ではなく局所に対する対症療法であるので抗リウマチ薬等と併用すること。本剤は漫然と連用する薬剤ではない。

8. 重要な基本的注意

  • 〈効能共通〉
    1. 8.1 本剤の投与により、ときに局所痛があらわれることがあるので、投与後の局所安静を指示するなどの措置を講じること。
    2. 8.2 関節腔外に漏れると疼痛を起こすおそれがあるので、関節腔内に確実に投与すること。
  • 〈変形性膝関節症、関節リウマチにおける膝関節痛〉
    1. 8.3 投与関節の炎症又は関節液貯留が著しい場合は、本剤の投与により局所炎症症状の悪化を招くことがあるので、炎症症状を抑えてから本剤を投与することが望ましい。

9. 特定の背景を有する患者に関する注意

9.1 合併症・既往歴等のある患者

  1. 9.1.1 他の薬剤に対して過敏症の既往歴のある患者
  2. 9.1.2 投与関節部に皮膚疾患又は感染のある患者

    本剤は関節内に投与するため。

9.3 肝機能障害患者

  1. 9.3.1 肝障害又はその既往歴のある患者

    肝障害の既往歴のある患者においてAST、ALT異常値例がみられた。

9.5 妊婦

妊婦又は妊娠している可能性のある女性には、治療上の有益性が危険性を上回ると判断される場合にのみ投与すること。動物実験(ウサギ)では催奇形性は認められていない。

9.6 授乳婦

治療上の有益性及び母乳栄養の有益性を考慮し、授乳の継続又は中止を検討すること。
動物実験(ラット)で乳汁中へ移行することが認められている。

9.7 小児等

小児等を対象とした臨床試験は実施していない。

11. 副作用

次の副作用があらわれることがあるので、観察を十分に行い、異常が認められた場合には投与を中止するなど適切な処置を行うこと。

11.1 重大な副作用

  1. 11.1.1 ショック(頻度不明)

    ショック症状があらわれることがある。

11.2 その他の副作用

0.1~5%未満

頻度不明

過敏症

蕁麻疹等の発疹、そう痒感、浮腫(顔面、眼瞼等)、顔面発赤

投与関節

疼痛(主に投与後の一過性の疼痛)、熱感、局所の重苦しさ

腫脹、水腫、発赤、関節周囲のしびれ感

肝臓

AST上昇、ALT上昇、Al-P上昇、LDH上昇

血液

好酸球増多、ヘマトクリット低下、白血球増多

その他

嘔気・嘔吐、発熱、倦怠感、蛋白尿、尿沈渣異常、動悸、ほてり、総蛋白低下、BUN上昇

14. 適用上の注意

14.1 薬剤投与前の注意

  1. 14.1.1 関節液の貯留があるときには、必要に応じ穿刺により排液すること。

14.2 薬剤投与時の注意

  1. 14.2.1 本剤は膝関節腔内又は肩関節内に投与するので、厳重な無菌的操作のもとに行うこと。
  2. 14.2.2 本剤は粘稠なため、アンプルの頭部に注射液が付着することがあるので、アンプルを振り、付着した注射液をアンプルの底部に流下させ、ゆっくりと注射筒へ吸入すること。18~20G程度の太めの注射針を用いて注射筒に吸引し、22~23G程度の注射針を用いて投与することが望ましい。
  3. 14.2.3 眼科用には使用しないこと。
  4. 14.2.4 血管内へは投与しないこと。

18. 薬効薬理

18.1 作用機序

関節軟骨表面の被覆・保護作用などにより、疼痛の緩解や関節可動域の改善をもたらす1)

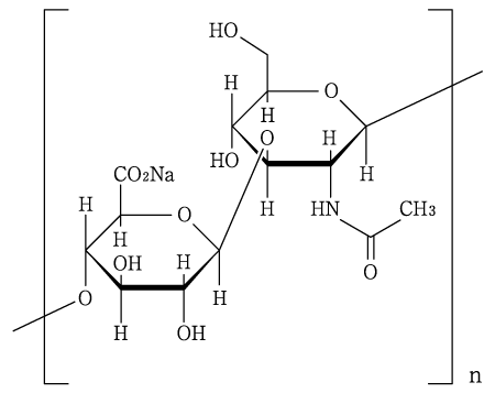
19. 有効成分に関する理化学的知見

一般的名称

精製ヒアルロン酸ナトリウム(Purified Sodium Hyaluronate)

分子式

(C14H20NNaO11)n

分子量

平均分子量 50万~149万

性状

白色の粉末、粒又は繊維状の塊である。
水にやや溶けにくく、エタノール(99.5)にほとんど溶けない。
吸湿性である。

化学構造式

22. 包装

2.5mL×10管

24. 文献請求先及び問い合わせ先

日医工株式会社 お客様サポートセンター

〒930-8583 富山市総曲輪1丁目6番21

TEL(0120)517-215

FAX(076)442-8948

26. 製造販売業者等

26.1 製造販売元

日医工株式会社

富山市総曲輪1丁目6番21

〒100-0013 東京都千代田区霞が関3-3-2 新霞が関ビル

画面を閉じる

Copyright © Pharmaceuticals and Medical Devices Agency, All Rights reserved.