医療用医薬品 詳細表示

クロルフェニラミンマレイン酸塩散1%「日医工」

処方せん医薬品以外の医薬品

添付文書番号
企業コード
作成又は改訂年月
日本標準商品分類番号
薬効分類名
承認等
一般的名称
2.禁忌(次の患者には投与しないこと)
3.組成・性状
3.1組成
3.2製剤の性状
4.効能又は効果
6.用法及び用量
8.重要な基本的注意
9.特定の背景を有する患者に関する注意
9.1合併症・既往歴等のある患者
9.5妊婦
9.6授乳婦
9.7小児等
9.8高齢者
10.相互作用
10.2併用注意(併用に注意すること)
11.副作用
11.1重大な副作用
11.2その他の副作用
18.薬効薬理
18.1作用機序
19.有効成分に関する理化学的知見
22.包装
23.主要文献
24.文献請求先及び問い合わせ先
26.製造販売業者等

クロルフェニラミンマレイン酸塩散1%「日医工」

添付文書番号

4419003B1291_1_04

企業コード

530169

作成又は改訂年月

2023年5月改訂(第1版)

日本標準商品分類番号

874419

薬効分類名

抗ヒスタミン剤

承認等

クロルフェニラミンマレイン酸塩散1%「日医工」

販売名コード

YJコード

4419003B1291

販売名英語表記

Chlorpheniramine Maleate Powder 1%

販売名ひらがな

くろるふぇにらみんまれいんさんえんさん1%「にちいこう」

承認番号等

承認番号

21900AMX01419000

販売開始年月

1985年7月

貯法・有効期間

貯法

室温保存

有効期間

5年

基準名

日本薬局方

クロルフェニラミンマレイン酸塩散

一般的名称

クロルフェニラミンマレイン酸塩散

2. 禁忌(次の患者には投与しないこと)

  1. 2.1 本剤の成分又は類似化合物に対し過敏症の既往歴のある患者
  2. 2.2 閉塞隅角緑内障の患者[抗コリン作用により眼圧が上昇し、症状を悪化させることがある。]
  3. 2.3 前立腺肥大等下部尿路に閉塞性疾患のある患者[抗コリン作用により尿の貯留をきたすおそれがある。]
  4. 2.4 低出生体重児・新生児

3. 組成・性状

3.1 組成

クロルフェニラミンマレイン酸塩散1%「日医工」

有効成分1g中
クロルフェニラミンマレイン酸塩   10mg
添加剤乳糖水和物、トウモロコシデンプン

3.2 製剤の性状

クロルフェニラミンマレイン酸塩散1%「日医工」

剤形散剤
色調白色

4. 効能又は効果

じん麻疹、血管運動性浮腫、枯草熱、皮膚疾患に伴う瘙痒(湿疹・皮膚炎、皮膚瘙痒症、薬疹)、アレルギー性鼻炎、血管運動性鼻炎、感冒等上気道炎に伴うくしゃみ・鼻汁・咳嗽

6. 用法及び用量

dl-クロルフェニラミンマレイン酸塩として、通常成人1回2~6mgを1日2~4回経口投与する。
なお、年令・症状により適宜増減する。

8. 重要な基本的注意

眠気を催すことがあるので、本剤投与中の患者には自動車の運転等危険を伴う機械の操作には従事させないよう十分注意すること。

9. 特定の背景を有する患者に関する注意

9.1 合併症・既往歴等のある患者

  1. 9.1.1 眼内圧亢進のある患者

    抗コリン作用により眼内圧が上昇し、症状が増悪するおそれがある。

  2. 9.1.2 開放隅角緑内障の患者

    抗コリン作用により眼圧が上昇し、症状を悪化させることがある。

  3. 9.1.3 甲状腺機能亢進症の患者

    抗コリン作用により症状が増悪するおそれがある。

  4. 9.1.4 狭窄性消化性潰瘍、幽門十二指腸通過障害のある患者

    抗コリン作用により平滑筋の運動抑制、緊張低下がおこり、症状が増悪するおそれがある。

  5. 9.1.5 循環器系疾患のある患者

    抗コリン作用による心血管系への作用により、症状が増悪するおそれがある。

  6. 9.1.6 高血圧症の患者

    抗コリン作用により血管拡張が抑制され、血圧が上昇するおそれがある。

9.5 妊婦

妊婦又は妊娠している可能性のある女性には、治療上の有益性が危険性を上回ると判断される場合にのみ投与すること。

9.6 授乳婦

治療上の有益性及び母乳栄養の有益性を考慮し、授乳の継続又は中止を検討すること。

9.7 小児等

  1. 9.7.1 低出生体重児及び新生児

    投与しないこと。中枢神経系興奮など抗コリン作用に対する感受性が高く、痙攣など重篤な反応があらわれるおそれがある。

  2. 9.7.2 乳児、幼児及び小児

    乳児、幼児及び小児を対象とした臨床試験は実施していない。

9.8 高齢者

患者の状態を観察しながら慎重に投与すること。一般に生理機能が低下している。

10. 相互作用

    10.2 併用注意(併用に注意すること)

    薬剤名等臨床症状・措置方法機序・危険因子

    中枢神経抑制剤

    • バルビツール酸系薬剤等

    中枢神経抑制作用が増強されるおそれがある。

    いずれも中枢神経抑制作用を有する。

    アルコール

    精神運動障害が起こることがある。

    いずれも中枢神経抑制作用を有する。

    MAO阻害剤

    本剤の作用が増強されるおそれがある。

    抗コリン作用が増強されると考えられる。

    ドロキシドパ
    ノルアドレナリン

    血圧の異常上昇を起こすおそれがある。

    本剤がヒスタミンによる毛細血管拡張を抑制すると考えられる。

    11. 副作用

    次の副作用があらわれることがあるので、観察を十分に行い、異常が認められた場合には投与を中止するなど適切な処置を行うこと。

    11.1 重大な副作用

    1. 11.1.1 再生不良性貧血、無顆粒球症(いずれも頻度不明)

    11.2 その他の副作用

    頻度不明

    過敏症

    発疹

    泌尿器

    多尿、排尿困難

    精神神経系

    神経過敏、頭痛、焦燥感、複視、眠気

    消化器

    口渇、胸やけ

    肝臓

    肝機能障害(AST、ALT、ALPの上昇)

    血液

    血小板減少

    18. 薬効薬理

    18.1 作用機序

    H1受容体拮抗薬でH1受容体を介するヒスタミンの作用を抑制する1)

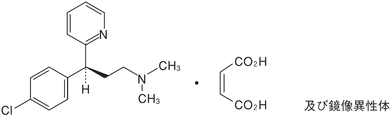
    19. 有効成分に関する理化学的知見

    一般的名称

    クロルフェニラミンマレイン酸塩(Chlorpheniramine Maleate)

    化学名

    (3RS)-3-(4-Chlorophenyl)-N,N-dimethyl-3-pyridin-2-ylpropylamine monomaleate

    分子式

    C16H19ClN2・C4H4O4

    分子量

    390.86

    性状

    白色の微細な結晶である。
    酢酸(100)に極めて溶けやすく、水又はメタノールに溶けやすく、エタノール(99.5)にやや溶けやすい。
    希塩酸に溶ける。
    水溶液(1→20)は旋光性を示さない。

    化学構造式

    融点

    130~135℃

    22. 包装

    500g[アルミ袋;バラ]

    24. 文献請求先及び問い合わせ先

    日医工株式会社 お客様サポートセンター

    〒930-8583 富山市総曲輪1丁目6番21

    TEL(0120)517-215

    FAX(076)442-8948

    26. 製造販売業者等

    26.1 製造販売元

    日医工株式会社

    富山市総曲輪1丁目6番21

    〒100-0013 東京都千代田区霞が関3-3-2 新霞が関ビル

    画面を閉じる

    Copyright © Pharmaceuticals and Medical Devices Agency, All Rights reserved.