医療用医薬品 詳細表示

ペングッド錠250mg

処方せん医薬品

添付文書番号
企業コード
作成又は改訂年月
日本標準商品分類番号
薬効分類名
承認等
一般的名称
2.禁忌(次の患者には投与しないこと)
3.組成・性状
3.1組成
3.2製剤の性状
4.効能又は効果
5.効能又は効果に関連する注意
6.用法及び用量
8.重要な基本的注意
9.特定の背景を有する患者に関する注意
9.1合併症・既往歴等のある患者
9.2腎機能障害患者
9.5妊婦
9.6授乳婦
9.8高齢者
10.相互作用
10.2併用注意(併用に注意すること)
11.副作用
11.1重大な副作用
11.2その他の副作用
12.臨床検査結果に及ぼす影響
14.適用上の注意
16.薬物動態
16.1血中濃度
16.5排泄
16.6特定の背景を有する患者
17.臨床成績
17.1有効性及び安全性に関する試験
18.薬効薬理
18.1作用機序
18.2抗菌作用
19.有効成分に関する理化学的知見
20.取扱い上の注意
22.包装
23.主要文献
24.文献請求先及び問い合わせ先
26.製造販売業者等

ペングッド錠250mg

添付文書番号

6131004F2054_1_07

企業コード

530169

作成又は改訂年月

2024年11月改訂(第2版)
2023年8月改訂(第1版)

日本標準商品分類番号

876131

薬効分類名

合成ペニシリン製剤

承認等

ペングッド錠250mg

販売名コード

YJコード

6131004F2054

販売名英語表記

Pengood Tablets

販売名ひらがな

ぺんぐっどじょう250mg

承認番号等

承認番号

21300AMY00425000

販売開始年月

1981年9月

貯法・有効期間

貯法

室温保存

有効期間

2年

一般的名称

バカンピシリン塩酸塩

2. 禁忌(次の患者には投与しないこと)

  1. 2.1 本剤の成分に対し過敏症の既往歴のある患者
  2. 2.2 伝染性単核症の患者[発疹の発現頻度を高めることがある。]

3. 組成・性状

3.1 組成

ペングッド錠250mg

有効成分1錠中
バカンピシリン塩酸塩   250mg(力価)
添加剤乳糖水和物、結晶セルロース、ステアリン酸マグネシウム、ヒプロメロース、酸化チタン、タルク、カルナウバロウ

3.2 製剤の性状

ペングッド錠250mg

剤形フィルムコーティング錠
色調白色
外形表面
裏面
側面
大きさ直径15.3×6.9mm
厚さ5.0mm
質量450mg
本体コード-PG250
包装コード-PG250

4. 効能又は効果

  • 〈適応菌種〉

    アンピシリンに感性のブドウ球菌属、レンサ球菌属、肺炎球菌、腸球菌属、淋菌、大腸菌、プロテウス・ミラビリス、インフルエンザ菌

  • 〈適応症〉

    表在性皮膚感染症、深在性皮膚感染症、リンパ管・リンパ節炎、慢性膿皮症、外傷・熱傷及び手術創等の二次感染、乳腺炎、咽頭・喉頭炎、扁桃炎、急性気管支炎、肺炎、慢性呼吸器病変の二次感染、膀胱炎、腎盂腎炎、淋菌感染症、腹膜炎、子宮内感染、子宮付属器炎、眼瞼膿瘍、麦粒腫、角膜炎(角膜潰瘍を含む)、中耳炎、副鼻腔炎、歯周組織炎、歯冠周囲炎、抜歯創・口腔手術創の二次感染、猩紅熱

5. 効能又は効果に関連する注意

  • 〈咽頭・喉頭炎、扁桃炎、急性気管支炎、中耳炎、副鼻腔炎〉

    「抗微生物薬適正使用の手引き」1)を参照し、抗菌薬投与の必要性を判断した上で、本剤の投与が適切と判断される場合に投与すること。

6. 用法及び用量

通常、成人の場合、1日量500~1000mg(力価)とし、これを3~4回に分割して経口投与する。

小児の場合は、1日量15~40mg(力価)/kgとし、これを3~4回に分割して経口投与する。

なお、年齢、症状により適宜増減する。

8. 重要な基本的注意

  1. 8.1 本剤の使用にあたっては、耐性菌の発現等を防ぐため、原則として感受性を確認し、疾病の治療上必要な最小限の期間の投与にとどめること。
  2. 8.2 ショックがあらわれるおそれがあるので、十分な問診を行うこと。
  3. 8.3 急性腎障害があらわれることがあるので、定期的に検査を行うこと。

9. 特定の背景を有する患者に関する注意

9.1 合併症・既往歴等のある患者

  1. 9.1.1 ペニシリン系又はセフェム系抗生物質に対し過敏症の既往歴のある患者(ただし、本剤に対し過敏症の既往歴のある患者には投与しないこと)
  2. 9.1.2 本人又は両親、兄弟に気管支喘息、発疹、蕁麻疹等のアレルギー反応を起こしやすい体質を有する患者
  3. 9.1.3 経口摂取の不良な患者又は非経口栄養の患者、全身状態の悪い患者

    ビタミンK欠乏症状があらわれることがある。

9.2 腎機能障害患者

  1. 9.2.1 高度の腎障害のある患者

    投与量・投与間隔の適切な調整をするなど慎重に投与すること。血中濃度半減期が延長する。

9.5 妊婦

妊婦又は妊娠している可能性のある女性には、治療上の有益性が危険性を上回ると判断される場合にのみ投与すること。動物実験(ラット)において、大量(3,000mg/kg/day)投与による催奇形作用が報告されている。

9.6 授乳婦

治療上の有益性及び母乳栄養の有益性を考慮し、授乳の継続又は中止を検討すること。母乳中へ移行することが報告されている2)

9.8 高齢者

次の点に注意し、用量並びに投与間隔に留意するなど患者の状態を観察しながら慎重に投与すること。

  1. 9.8.1 生理機能が低下していることが多く、副作用が発現しやすい。
  2. 9.8.2 ビタミンK欠乏による出血傾向があらわれることがある。

10. 相互作用

    10.2 併用注意(併用に注意すること)

    薬剤名等臨床症状・措置方法機序・危険因子

    *アロプリノール

    *アンピシリンとの併用により、発疹の発現が増加するとの報告がある3)

    *機序不明だが薬剤性の発疹がアロプリノールとアンピシリンを併用していた67例の入院患者のうち22.4%に認められ、アンピシリン単独服用例の1,257例では7.5%に認められた。またアンピシリンを併用しないアロプリノール服用患者283例のうち2.1%が薬剤性発疹を経験したという報告がある。

    *抗凝血剤

    *ペニシリンが血小板の凝集・凝固に影響を与え、出血傾向を増強するおそれがある。

    *抗凝血作用とペニシリンの血小板凝集抑制作用により相加的に出血傾向が増強される可能性がある。

    経口避妊薬

    • ノルエチステロン・エチニルエストラジオール 等

    経口避妊薬の効果が減弱するおそれがある。

    腸内細菌叢を変化させ、経口避妊薬の腸肝循環による再吸収を抑制すると考えられる。

    *ラロキシフェン塩酸塩

    *ラロキシフェン塩酸塩の血中濃度が低下するおそれがある。

    *アンピシリンにより腸内細菌叢が減少することによりラロキシフェン塩酸塩の腸肝循環が低下するためと考えられる。

    *メトトレキサート

    *ペメトレキセドナトリウム水和物

    *これらの薬剤の血中濃度が増加し、副作用が増強するおそれがあるので、併用療法を行う場合には、慎重に投与すること。

    *本剤がこれらの薬剤の腎排泄を競合的に阻害し、クリアランスを遅延させるおそれがある。

    *プロベネシド

    *併用により、本剤の血中濃度上昇、血中濃度半減期の延長、本剤の持つ毒性リスクの上昇のおそれがある。

    *プロベネシドの尿細管分泌抑制作用により本剤の排泄が遅延するおそれがある。

    *パラアミノ馬尿酸ナトリウム

    *本剤の作用が増強するおそれがある。

    *パラアミノ馬尿酸ナトリウムが本剤の尿中排泄を阻害し、本剤の血中濃度を上昇させると考えられている。

    11. 副作用

    次の副作用があらわれることがあるので、観察を十分に行い、異常が認められた場合には投与を中止するなど適切な処置を行うこと。

    11.1 重大な副作用

    1. 11.1.1 ショック(0.1%未満)、アナフィラキシー(0.1%未満)

      不快感、口内異常感、喘鳴、呼吸困難、眩暈、全身潮紅、全身そう痒感、血管浮腫、血圧低下等の症状があらわれた場合には投与を中止し、適切な処置を行うこと。

    2. 11.1.2 中毒性表皮壊死融解症(Toxic Epidermal Necrolysis:TEN)、皮膚粘膜眼症候群(Stevens-Johnson症候群)、急性汎発性発疹性膿疱症(いずれも頻度不明)
    3. 11.1.3 急性腎障害(頻度不明)

      急性腎障害等の重篤な腎障害があらわれることがある。

    4. 11.1.4 偽膜性大腸炎、出血性大腸炎(いずれも頻度不明)

      偽膜性大腸炎、出血性大腸炎等の血便を伴う重篤な大腸炎があらわれることがある。腹痛、頻回の下痢があらわれた場合には直ちに投与を中止するなど適切な処置を行うこと。

    5. 11.1.5 肝機能障害、黄疸(いずれも頻度不明)

      AST、ALT、γ-GTP、LDH、Al-P上昇等を伴う肝機能障害、黄疸があらわれることがある。

    11.2 その他の副作用

    0.1~5%未満

    0.1%未満

    頻度不明

    過敏症

    発疹、そう痒感

    発熱、蕁麻疹

    血液

    貧血、顆粒球減少、血小板減少、好酸球増多

    消化器

    下痢、 悪心・嘔吐、胃部不快感、食欲不振

    腹部膨満感、便秘、胸やけ

    菌交代症

    口内炎、大腸炎(カンジダあるいは非感受性のKlebsiella等による)

    ビタミン欠乏症

    ビタミンK欠乏症状(低プロトロンビン血症、出血傾向等)、ビタミンB群欠乏症状(舌炎、口内炎、食欲不振、神経炎等)

    12. 臨床検査結果に及ぼす影響

    本剤の投与により、ベネディクト試薬、あるいはフェーリング試薬による尿糖検査では偽陽性を呈することがある。

    14. 適用上の注意

    14.1 薬剤交付時の注意

    PTP包装の薬剤はPTPシートから取り出して服用するよう指導すること。PTPシートの誤飲により、硬い鋭角部が食道粘膜へ刺入し、更には穿孔をおこして縦隔洞炎等の重篤な合併症を併発することがある。

    14.2 薬剤投与時の注意

    食道に停留し崩壊すると、まれに食道潰瘍を起こすことがあるので、多めの水で服用させ、特に就寝直前の服用等には注意すること。

    16. 薬物動態

    16.1 血中濃度

    1. 16.1.1 単回投与

      健康成人男子6名にバカンピシリン250mg(力価)を空腹時又は食後に経口投与した場合、血清中濃度は投与後1時間で最高に達し、その濃度は各々6.29μg/mL、4.22μg/mLであり、食事の影響をほとんど受けなかった4)

      バカンピシリンを健康成人に空腹時又は食後に1回経口投与したときの血清中濃度(n=6、平均値±SE)

    16.5 排泄

    健康成人にバカンピシリン250mg(力価)を空腹時又は食後に経口投与した場合、大部分はアンピシリンとして、6時間までに各々59.4%、55.3%が尿中に排泄された4)

    16.6 特定の背景を有する患者

    1. 16.6.1 腎機能障害患者

      腎機能障害患者にバカンピシリン500mg(力価)を経口投与した場合、腎機能低下に応じて、排泄速度が遅延した。また、t1/2が延長し、AUCの上昇がみられた5)

      腎機能障害患者11例 500mg(力価)単回経口投与(平均値±SD)

      Group

      例数

      (例)

      血清クレアチニン

      (mg/dL)

      排泄速度定数

      (/h)

      Cmax

      (μg/mL)

      tmax

      (h)

      t1/2

      (h)

      AUC0-24h

      (μg・h/mL)

      A1

      2

      0.8

      0.66±0.06

      11.33±2.34

      0.50±0.18

      1.05±0.09

      23.55±3.54

      A2

      2

      2.7~2.8

      0.20±0.08

      10.93±7.46

      3.55±1.55

      3.69±1.44

      108.50±70.73

      A3

      2

      3.6~7.5

      0.12±0.02

      12.16±2.19

      2.37±0.39

      5.67±0.93

      122.86±28.19

      A4

      5

      7.2~15.7

      0.08±0.02

      17.04±9.60

      3.38±2.81

      9.63±3.00

      292.88±206.11

      ※腎機能(血清クレアチニン)により4Groupに分類。

      A1:腎機能正常例、A2:血清クレアチニンが2~3mg/dLの症例、A3:血清クレアチニンが3~8mg/dLの症例、A4:血液透析患者

      バカンピシリンを腎機能障害患者に単回経口投与したときの血中濃度(one-compartment open model)
    2. 16.6.2 小児等

      小児患者(4~12歳)にバカンピシリン10mg/kg又は20mg/kg(力価)を空腹時に経口投与した場合、投与後6時間までに、各々53.5%、47.2%が尿中に排泄され、その半分以上が2時間までに排泄された。血中濃度は1~2時間後に最高に達した。Cmax及びAUCには、年齢による差はみられなかった6)

      小児患者19例 空腹時単回経口投与(one-compartment modelによる解析)

      投与量

      (mg/kg)

      例数

      Cmax

      (μg/mL)

      tmax

      (h)

      t1/2

      (min)

      AUC0-24h

      (μg・h/mL)

      10

      11

      7.02

      1.02

      45.23

      14.67

      20

      8

      12.81

      0.76

      61.16

      23.26

      バカンピシリンを小児患者に空腹時単回経口投与したときの血中濃度
      (one-compartment modelによる解析)

      ※小児患者(4~9歳)のデータ

      注)本剤の承認された用法及び用量は、成人の場合、1日量500~1000mg(力価)を3~4回に分割して経口投与である。

    17. 臨床成績

    17.1 有効性及び安全性に関する試験

    1. 17.1.1 国内二重盲検比較試験

      せつ、せつ腫症、毛包炎(ニキビを除く)、蜂巣織炎、リンパ管炎の患者に対しバカンピシリン(BAPC)1000mg(8錠:1錠中に125mg(力価))1)/日又はアンピシリン(ABPC)2000mg(8錠:1錠中に250mg(力価))/日を1日4回(毎食後及び就寝前)経口投与する二重盲検比較試験において、有効率は下表のとおりであり、本剤の有用性が示された。また、両群間に有意差を認めなかった。BAPC投与群において副作用は13.6%(8/59例)に認められ、主な副作用は発疹、食欲減少各3.8%(2/53例)であった7)

      薬剤

      投与例数

      著効(例)

      有効(例)

      有効率(%)

      BAPC

      53

      31

      18

      92.5(49/53)

      ABPC

      54

      30

      18

      88.9(48/54)

    2. 17.1.2 国内一般臨床試験

      呼吸器感染症(咽喉頭炎、気管支炎、肺炎、気管支肺炎、気道感染の増悪)の患者に対しバカンピシリン750mgないし1000mg(3又は4錠:1錠中に250mg(力価))/日を1日3回(毎食後)又は4回(毎食後及び就寝前)経口投与した臨床試験において、投与80例に対して著効15例、有効53例で有効率85.0%(68/80例)であった。副作用は4.8%(4/87例:投与中止症例3例を含む)に認められ、悪心2.3%(2/87例)、嘔吐、下痢、食欲不振、発疹各1.1%(1/87例)であった8)

    3. 17.1.3 国内二重盲検比較試験

      細菌性肺炎の患者に対しバカンピシリン(BAPC)1000mg(4錠:1錠中に250mg(力価))/日又はアモキシシリン(AMPC)1000mg(4カプセル:1カプセル中に250mg(力価))/日を1日4回経口投与する二重盲検比較試験において、有効率は下表のとおりであり、両剤投与群間に有意差を認めなかった。BAPC投与群において副作用は28.2%(20/71例:投与中止症例を含む)に認められ、主な副作用は血清トランスアミナーゼの上昇12.7%(9/71例)、好酸球増多、血液像異常各5.6%(4/71例)であった9)

      薬剤

      投与例数

      著効(例)

      有効(例)

      有効率(%)

      BAPC

      57

      4

      35

      68.4(39/57)

      AMPC

      59

      4

      41

      76.3(45/59)

    4. 17.1.4 国内一般臨床試験

      急性扁桃炎の患者に対しバカンピシリン1000mg(4錠:1錠中に250mg(力価))/日を1日4回経口投与する臨床試験において、投与30例に対して著明改善25例、改善3例で改善率93.3%であった。副作用は全例にみとめなかった10)

    5. 17.1.5 国内二重盲検比較試験

      急性化膿性中耳炎及び急性扁桃炎の患者に対しバカンピシリン(BAPC)1000mg(4錠:1錠中に250mg(力価))/日又はアモキシシリン(AMPC)1000mg(4カプセル:1カプセル中に250mg(力価))/日を1日4回(毎食後及び就寝前)経口投与する二重盲検比較試験において、有効率は下表のとおりであり、2群間に有意差を認めなかった。BAPC投与群において副作用は7.1%(9/126例)に認められ、主な副作用は胃腸症状4.8%(6/126例)であった11)

      対象疾患

      薬剤

      投与例数

      改善度

      有効率(%)

      著明(例)

      中等度(例)

      軽度(例)

      急性中耳炎

      BAPC

      60

      23

      21

      7

      85.0(51/60)

      AMPC

      58

      24

      17

      11

      89.7(52/58)

      急性扁桃炎

      BAPC

      62

      49

      8

      5

      100 (62/62)

      AMPC

      65

      41

      15

      6

      95.4(62/65)

    6. 17.1.6 国内二重盲検比較試験

      急性単純性膀胱炎の患者に対しバカンピシリン(BAPC)1000mg(4錠:1錠中に250mg(力価))/日ないし500mg(4錠:1錠中に125mg(力価)1))/日又はアンピシリン(ABPC)1000mg(4錠:1錠中に250mg(力価))/日を1日4回(毎食後及び就寝前)経口投与する二重盲検比較試験において、有効率は下表のとおりであり、3群間に有意差を認めなかった。副作用はBAPC1000mg投与群において5.1%(5/98例)に認められ、うち4例は消化器障害であった12)

      薬剤

      投与例数

      著効(例)

      有効(例)

      有効率(%)

      BAPC(1000mg)

      98

      69

      20

      90.8(89/98)

      BAPC(500mg)

      93

      49

      34

      89.2(83/93)

      ABPC(1000mg)

      99

      54

      36

      90.9(90/99)

    7. 17.1.7 国内一般臨床試験

      膀胱炎の患者に対しバカンピシリン750mgないし1000mg(3又は4錠:1錠中に250mg(力価))/日を1日3回(毎食後)又は4回(毎食後及び就寝前)経口投与した臨床試験において、有効率は下表のとおりであった。副作用は急性単純性膀胱炎の患者2例において胃腸障害を認めた13)

      対象疾患

      投与例数

      著効(例)

      有効(例)

      有効率(%)

      急性単純性膀胱炎

      14

      11

      3

      100(14/14)

      慢性複雑性膀胱炎

      6

      3

      1

      66.7(4/6)

    8. 17.1.8 国内一般臨床試験(小児)

      扁桃炎、咽頭炎、猩紅熱、中耳炎、頸部リンパ節炎、歯肉口内炎の患児に対しバカンピシリン750mg(3錠:1錠中に250mg(力価))/日(19~40mg/kg/日)を1日3回(毎食後)経口投与した臨床試験において、投与17例に対して有効率は82.4%(14/17例)であった。副作用は全例に認めなかった14)

    9. 17.1.9 国内二重盲検比較試験(小児)

      猩紅熱の患児(体重15kg以上30kg以下)に対しバカンピシリン(BAPC)又はタランピシリン(TAPC)を1日投与量がほぼ20~30mg(力価)/kgとなるように体重20kg未満には400mg(力価)/日(8カプセル:1カプセル中に50mg(力価)1))、20kg以上30kg以下には600mg(力価)/日(12カプセル)1日4回(毎食後及び就寝前)経口投与した二重盲検比較試験において、有効率は下表のとおりであり、両群間に差はなかった。BAPC投与群において副作用は4.5%(6/133例)に認められ、主な副作用は薬疹3.8%(5/133例)であった15)

      薬剤

      投与例数

      著効(例)

      有効(例)

      有効率(%)

      BAPC

      120

      61

      54

      95.8(115/120)

      TAPC

      115

      58

      52

      95.6(110/115)

      ※タランピシリン(TAPC)は販売中止品。

      1) 本剤の承認された剤形は250mg錠である。

    18. 薬効薬理

    18.1 作用機序

    バカンピシリンは、生体内でアンピシリンとなり、細菌の細胞壁合成を阻害することにより殺菌的に作用する16)

    18.2 抗菌作用

    1. 18.2.1 試験管内での作用

      インフルエンザ菌、大腸菌、プロテウス・ミラビリス及び淋菌などのグラム陰性菌並びに肺炎球菌、腸球菌、化膿レンサ球菌、表皮ブドウ球菌及び黄色ブドウ球菌などのグラム陽性菌に対して優れた抗菌作用を示す。

    2. 18.2.2 動物での作用

      マウスでの感染治療実験で、インフルエンザ菌、大腸菌、プロテウス・ミラビリス、黄色ブドウ球菌などによる感染症に対して優れた治療効果を示す。また、生体防御能の低下した状態のマウス(実験的白血球減少症マウス)での大腸菌による感染症において、アンピシリン、アモキシシリンより優れた治療効果が認められている17),18)

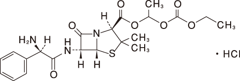
    19. 有効成分に関する理化学的知見

    一般的名称

    バカンピシリン塩酸塩(Bacampicillin Hydrochloride)

    化学名

    1-Ethoxycarbonyloxyethyl(2S,5R,6R)-6-[(2R)-2-amino-2-phenylacetylamino]-3,3-dimethyl-7-oxo-4-thia-1-azabicyclo[3.2.0]heptane-2-carboxylate monohydrochloride

    分子式

    C21H27N3O7S・HCl

    分子量

    501.98

    性状

    白色~微黄色の結晶性の粉末である。
    メタノール又はエタノール(95)に溶けやすく、水にやや溶けやすい。

    化学構造式

    略号

    BAPC

    20. 取扱い上の注意

    アルミピロー包装開封後は、湿気を避けて保存すること。

    22. 包装

    100錠[10錠×10;PTP:乾燥剤入り]

    24. 文献請求先及び問い合わせ先

    日医工株式会社 お客様サポートセンター

    〒930-8583 富山市総曲輪1丁目6番21

    TEL(0120)517-215
    FAX(076)442-8948

    26. 製造販売業者等

    26.1 製造販売元(輸入)

    日医工株式会社

    富山市総曲輪1丁目6番21

    〒100-0013 東京都千代田区霞が関3-3-2 新霞が関ビル

    画面を閉じる

    Copyright © Pharmaceuticals and Medical Devices Agency, All Rights reserved.