医療用医薬品 詳細表示

ゲンタマイシン硫酸塩注射液10mg「日医工」/ゲンタマイシン硫酸塩注射液40mg「日医工」/ゲンタマイシン硫酸塩注射液60mg「日医工」

処方せん医薬品

添付文書番号
企業コード
作成又は改訂年月
日本標準商品分類番号
薬効分類名
承認等
一般的名称
2.禁忌(次の患者には投与しないこと)
3.組成・性状
3.1組成
3.2製剤の性状
4.効能又は効果
5.効能又は効果に関連する注意
6.用法及び用量
7.用法及び用量に関連する注意
8.重要な基本的注意
9.特定の背景を有する患者に関する注意
9.1合併症・既往歴等のある患者
9.2腎機能障害患者
9.3肝機能障害患者
9.5妊婦
9.6授乳婦
9.7小児等
9.8高齢者
10.相互作用
10.2併用注意(併用に注意すること)
11.副作用
11.1重大な副作用
11.2その他の副作用
13.過量投与
14.適用上の注意
15.その他の注意
15.1臨床使用に基づく情報
16.薬物動態
16.1血中濃度
16.3分布
16.4代謝
16.5排泄
16.6特定の背景を有する患者
18.薬効薬理
18.1作用機序
18.2抗菌作用
19.有効成分に関する理化学的知見
22.包装
23.主要文献
24.文献請求先及び問い合わせ先
26.製造販売業者等

ゲンタマイシン硫酸塩注射液10mg「日医工」/ゲンタマイシン硫酸塩注射液40mg「日医工」/ゲンタマイシン硫酸塩注射液60mg「日医工」

添付文書番号

6134407A1040_2_08

企業コード

530169

作成又は改訂年月

2023年10月改訂(第1版)

日本標準商品分類番号

876134

薬効分類名

アミノグリコシド系抗生物質製剤

承認等

ゲンタマイシン硫酸塩注射液10mg「日医工」

販売名コード

YJコード

6134407A1040

販売名英語表記

Gentamicin Sulfate Injection

販売名ひらがな

げんたまいしんりゅうさんえんちゅうしゃえき10mg「にちいこう」

承認番号等

承認番号

22200AMX00677000

販売開始年月

2010年11月

貯法・有効期間

貯法

室温保存

有効期間

2年6ヵ月

基準名

日本薬局方

ゲンタマイシン硫酸塩注射液

ゲンタマイシン硫酸塩注射液40mg「日医工」

販売名コード

YJコード

6134407A2101

販売名英語表記

Gentamicin Sulfate Injection

販売名ひらがな

げんたまいしんりゅうさんえんちゅうしゃえき40mg「にちいこう」

承認番号等

承認番号

22300AMX01195000

販売開始年月

1984年6月

貯法・有効期間

貯法

室温保存

有効期間

2年6ヵ月

基準名

日本薬局方

ゲンタマイシン硫酸塩注射液

ゲンタマイシン硫酸塩注射液60mg「日医工」

販売名コード

YJコード

6134407A3094

販売名英語表記

Gentamicin Sulfate Injection

販売名ひらがな

げんたまいしんりゅうさんえんちゅうしゃえき60mg「にちいこう」

承認番号等

承認番号

22300AMX01196000

販売開始年月

1984年6月

貯法・有効期間

貯法

室温保存

有効期間

2年6ヵ月

基準名

日本薬局方

ゲンタマイシン硫酸塩注射液

一般的名称

ゲンタマイシン硫酸塩

2. 禁忌(次の患者には投与しないこと)

本剤の成分並びに他のアミノグリコシド系抗生物質及びバシトラシンに対し過敏症の既往歴のある患者

3. 組成・性状

3.1 組成

ゲンタマイシン硫酸塩注射液10mg「日医工」

有効成分1管(1mL)中
ゲンタマイシン 硫酸塩   10mg(力価)
添加剤1管中
ベンジルアルコール15mg、乾燥亜硫酸ナトリウム0.3mg、ピロ亜硫酸ナトリウム1.7mg

ゲンタマイシン硫酸塩注射液40mg「日医工」

有効成分1管(1mL)中
ゲンタマイシン 硫酸塩   40mg(力価)
添加剤1管中
ベンジルアルコール15mg、乾燥亜硫酸ナトリウム0.5mg、ピロ亜硫酸ナトリウム1.5mg

ゲンタマイシン硫酸塩注射液60mg「日医工」

有効成分1管(1.5mL)中
ゲンタマイシン 硫酸塩   60mg(力価)
添加剤1管中
ベンジルアルコール22.5mg、乾燥亜硫酸ナトリウム0.75mg、ピロ亜硫酸ナトリウム2.25mg

3.2 製剤の性状

ゲンタマイシン硫酸塩注射液10mg「日医工」

pH4.0~6.0
浸透圧比0.6~0.9
(生理食塩液に対する比)
剤形・性状水性注射剤
無色澄明の液

ゲンタマイシン硫酸塩注射液40mg「日医工」

pH4.0~6.0
浸透圧比0.8~1.2
(生理食塩液に対する比)
剤形・性状水性注射剤
無色澄明の液

ゲンタマイシン硫酸塩注射液60mg「日医工」

pH4.0~6.0
浸透圧比0.8~1.2
(生理食塩液に対する比)
剤形・性状水性注射剤
無色澄明の液

4. 効能又は効果

  • 〈適応菌種〉

    ゲンタマイシンに感性のブドウ球菌属、大腸菌、クレブシエラ属、エンテロバクター属、セラチア属、プロテウス属、モルガネラ・モルガニー、プロビデンシア属、緑膿菌

  • 〈適応症〉

    敗血症、外傷・熱傷及び手術創等の二次感染、肺炎、膀胱炎、腎盂腎炎、腹膜炎、中耳炎

5. 効能又は効果に関連する注意

  • 〈中耳炎〉

    「抗微生物薬適正使用の手引き」1) を参照し、抗菌薬投与の必要性を判断した上で、本剤の投与が適切と判断される場合に投与すること。

6. 用法及び用量

通常、成人ではゲンタマイシン硫酸塩として1日3mg(力価)/kgを3回に分割して筋肉内注射または点滴静注する。増量する場合は、1日5mg(力価)/kgを限度とし、3~4回に分割して投与する。
小児では、1回2.0~2.5mg(力価)/kgを1日2~3回筋肉内注射または点滴静注する。
点滴静注においては30分~2時間かけて注入する。
なお、年齢、症状により適宜減量する。

7. 用法及び用量に関連する注意

  1. 7.1 腎機能障害患者では、血中濃度の半減期が延長し、高い血中濃度が長時間持続して、第8脳神経障害又は腎障害があらわれるおそれがあるので、腎機能障害度に応じて、次のような方法により投与量及び投与間隔を調節すること。,,,
    1. 7.1.1 投与間隔を調節する方法

      通常量を「血清クレアチニン値(mg/dL)×8」時間毎に投与する。

    2. 7.1.2 1回投与量を調節する方法

      初回は通常量を投与し、以降の維持量は通常量を血清クレアチニン値(mg/dL)で除した用量を8時間毎に投与する。

  2. 7.2 成人に1日最大5mg(力価)/kgまで増量した場合、副作用の発現を防ぐため、臨床的改善が認められた場合は、速やかに減量すること。

8. 重要な基本的注意

  1. 8.1 本剤の使用にあたっては、耐性菌の発現等を防ぐため、原則として感受性を確認し、疾病の治療上必要な最小限の期間の投与にとどめること。
  2. 8.2 本剤によるショック、アナフィラキシーの発生を確実に予知できる方法がないので、次の措置をとること。
    1. 8.2.1 事前に既往歴等について十分な問診を行うこと。なお、抗生物質等によるアレルギー歴は必ず確認すること。
    2. 8.2.2 投与に際しては、必ずショック等に対する救急処置のとれる準備をしておくこと。
    3. 8.2.3 投与開始から投与終了後まで、患者を安静の状態に保たせ、十分な観察を行うこと。特に、投与開始直後は注意深く観察すること。
  3. 8.3 眩暈、耳鳴、難聴等の第8脳神経障害があらわれることがあるので慎重に投与すること。特に腎機能障害患者、高齢者、長期間投与患者及び大量投与患者等では血中濃度が高くなりやすく、聴力障害の危険性がより大きくなるので、聴力検査を実施することが望ましい。アミノグリコシド系抗生物質の聴力障害は、高周波音に始まり低周波音へと波及するので、障害の早期発見のために、聴力検査の最高周波数である8kHzでの検査が有用である。,,,,,,
  4. 8.4 急性腎障害等の重篤な腎障害があらわれることがあるので、定期的に検査を実施するなど観察を十分に行うこと。,,,
  5. 8.5 投与期間中は血中濃度をモニタリングすることが望ましい。特に、腎機能障害患者、低出生体重児、新生児、高齢者、長期間投与患者及び大量投与患者等では血中濃度が高くなりやすいので、注意すること。,,,,,

9. 特定の背景を有する患者に関する注意

9.1 合併症・既往歴等のある患者

  1. 9.1.1 本人又はその血族がアミノグリコシド系抗生物質による難聴又はその他の難聴のある患者

    難聴が発現又は増悪するおそれがある。,

  2. 9.1.2 重症筋無力症の患者

    神経筋遮断作用がある。

  3. 9.1.3 経口摂取の不良な患者又は非経口栄養の患者、全身状態の悪い患者

    観察を十分に行うこと。ビタミンK欠乏症状があらわれることがある。

9.2 腎機能障害患者

投与量を減ずるか、投与間隔をあけて使用すること。高い血中濃度が持続し、腎障害が悪化するおそれがあり、また、第8脳神経障害等の副作用が強くあらわれるおそれがある。,,,

9.3 肝機能障害患者

肝障害を悪化させるおそれがある。

9.5 妊婦

妊婦又は妊娠している可能性のある女性には、治療上の有益性が危険性を上回ると判断される場合にのみ投与すること。新生児に第8脳神経障害があらわれるおそれがある。また、動物実験(モルモット)で新生仔に外有毛細胞の消失がみられたとの報告がある。

9.6 授乳婦

治療上の有益性及び母乳栄養の有益性を考慮し、授乳の継続又は中止を検討すること。母乳中へ移行することが報告されている。

9.7 小児等

    1. 9.7.1 小児等を対象とした有効性及び安全性を指標とした臨床試験は実施していない。
  • 〈低出生体重児、新生児〉
    1. 9.7.2 やむを得ず投与する場合には投与間隔を延長するなど慎重に投与すること。低出生体重児や新生児では腎の発達が未熟であるため、高い血中濃度が長時間持続するおそれがある。また、本剤は添加剤としてベンジルアルコールを含有しており、外国において、低出生体重児へのベンジルアルコールの静脈内大量投与(一日平均投与量99~234mg/kg)によりGasping症候群が発現したとの報告がある。

9.8 高齢者

次の点に注意し、用量並びに投与間隔に留意するなど患者の状態を観察しながら慎重に投与すること。

  1. 9.8.1 本剤は主として腎臓から排泄されるが、高齢者では腎機能が低下していることが多いため、高い血中濃度が持続するおそれがあり、第8脳神経障害、腎障害等の副作用があらわれやすい。,,
  2. 9.8.2 ビタミンK欠乏による出血傾向があらわれることがある。

10. 相互作用

    10.2 併用注意(併用に注意すること)

    薬剤名等臨床症状・措置方法機序・危険因子
    • 腎障害を起こすおそれのある血液代用剤
      • デキストラン、ヒドロキシエチルデンプン 等

    腎障害が発現、悪化することがあるので、併用は避けることが望ましい。
    腎障害が発生した場合には、投与を中止し、透析療法等適切な処置を行うこと。

    機序は明確ではないが、併用によりアミノグリコシド系抗生物質の血中濃度の上昇、近位尿細管上皮の空胞変性が生じるという報告がある。

    • ループ利尿剤
      • エタクリン酸、アゾセミド、フロセミド 等

    腎障害及び聴器障害が発現、悪化するおそれがあるので、併用は避けることが望ましい。

    機序は明確ではないが、併用によりアミノグリコシド系抗生物質の血中濃度の上昇、腎への蓄積が起こるという報告がある。

    • 腎毒性及び聴器毒性を有する薬剤
      • バンコマイシン塩酸塩、エンビオマイシン硫酸塩、白金含有抗悪性腫瘍剤(シスプラチン、カルボプラチン、ネダプラチン) 等

    腎障害及び聴器障害が発現、悪化するおそれがあるので、併用は避けることが望ましい。

    両薬剤ともに腎毒性、聴器毒性を有するが相互作用の機序は不明。

    • 麻酔剤、筋弛緩剤
      • ツボクラリン塩化物塩酸塩水和物、パンクロニウム臭化物、ベクロニウム臭化物、トルペリゾン塩酸塩、ボツリヌス毒素 等
    • 筋弛緩作用を有する薬剤
      • コリスチンメタンスルホン酸ナトリウム 等

    呼吸抑制があらわれるおそれがある。
    呼吸抑制があらわれた場合には、必要に応じ、コリンエステラーゼ阻害剤、カルシウム製剤の投与等の適切な処置を行うこと。

    両薬剤ともに神経筋遮断作用を有しており、併用によりその作用が増強される。

    • 腎毒性を有する薬剤
      • シクロスポリン、タクロリムス水和物、アムホテリシンB、ホスカルネットナトリウム水和物、コリスチンメタンスルホン酸ナトリウム 等

    腎障害が発現、悪化するおそれがある。

    両薬剤ともに腎毒性を有するが、相互作用の機序は不明。

    11. 副作用

    次の副作用があらわれることがあるので、観察を十分に行い、異常が認められた場合には投与を中止するなど適切な処置を行うこと。

    11.1 重大な副作用

    1. 11.1.1 ショック(頻度不明)

      チアノーゼ、呼吸困難、胸内苦悶、心悸亢進、血圧低下等があらわれた場合には投与を中止し、適切な処置を行うこと。

    2. 11.1.2 急性腎障害(0.1%未満)

      急性腎障害等の重篤な腎障害があらわれることがある。

    3. 11.1.3 第8脳神経障害(0.1%未満)

      眩暈、耳鳴、難聴等の第8脳神経障害があらわれることがある。,

    11.2 その他の副作用

    0.1~5%未満1)

    0.1%未満1)

    頻度不明

    過敏症

    発疹、発熱

    そう痒

    腎臓

    腎機能障害(BUN・クレアチニン上昇、尿所見異常、乏尿等)

    血尿、カリウム等電解質の異常

    浮腫

    肝臓

    肝機能障害(AST・ALT・Al-Pの上昇等)

    ビリルビン上昇

    神経

    頭痛

    四肢のしびれ感、幻覚、妄想、痙攣、意識障害

    血液

    好酸球増多

    貧血、白血球減少、血小板減少

    消化器

    悪心

    嘔吐、食欲不振

    ビタミン欠乏症

    ビタミンK欠乏症状(低プロトロンビン血症、出血傾向等)、ビタミンB群欠乏症状(舌炎、口内炎、食欲不振、神経炎等)

    注射部位2)

    疼痛、硬結

    1) 発現頻度は点滴静注の使用成績調査に基づく
    2) 筋肉内注射時

    13. 過量投与

    1. 13.1 症状

      腎障害、聴覚障害、前庭障害、神経筋遮断症状、呼吸麻痺があらわれることがある。

    2. 13.2 処置

      血液透析等による薬剤の除去を行う。神経筋遮断症状、呼吸麻痺に対してはコリンエステラーゼ阻害剤、カルシウム製剤の投与又は機械的呼吸補助を行う。

    14. 適用上の注意

    14.1 薬剤調製時の注意

    ヘパリンナトリウムと混合すると、本剤の活性低下を来すので、それぞれ別経路で投与すること。

    14.2 薬剤投与時の注意

    • 〈点滴静注〉
      1. 14.2.1 急速に投与しないこと。
    • 〈筋肉内注射〉
      1. 14.2.2 組織・神経等への影響を避けるため以下の点に注意すること。
        • 同一部位への反復注射はなるべく行わないこと。また、低出生体重児、新生児、乳児、幼児、小児には特に注意すること。
        • 神経走行部位を避けるよう注意すること。なお、注射針を刺入したとき、神経にあたったと思われるような激痛を訴えた場合は、直ちに針を抜き、部位を変えて注射すること。
        • 注射器の内筒を軽くひき、血液の逆流がないことを確かめて注射すること。
        • 硬結を来すことがあるので、注射直後は局所を十分にもむこと。

    15. その他の注意

    15.1 臨床使用に基づく情報

    クエン酸で抗凝固処理した血液を大量輸血された患者にアミノグリコシド系抗生物質を投与すると、投与経路にかかわらず、神経筋遮断症状、呼吸麻痺があらわれることがある。

    16. 薬物動態

    16.1 血中濃度

    1. 16.1.1 腎機能に異常のない成人感染症患者に、ゲンタマイシン60mg(力価)を筋肉内注射又は30分、1時間及び2時間点滴静注したときの血清中濃度及び薬物動態パラメータは表16-1に示したとおりであった。筋肉内注射6時間後に平均1.09μg/mL、点滴静注開始6時間40分~8時間後には平均0.68~1.45μg/mLに低下した2)
      表16-1 腎機能に異常のない成人感染症患者に、ゲンタマイシン60mg(力価)を筋肉内注射又は点滴静注したときの血清中濃度及び薬物動態パラメータ

      投与法

      例数

      Tmax
      (hr)

      Cmax
      (μg/mL)

      t1/2
      (hr)

      AUC
      (μg・hr/mL)

      筋肉内注射

      4

      0.54

      5.09

      2.49

      20.69

      点滴静注(30min)

      3

      0.5

      6.66

      3.27

      27.09

      点滴静注(1hr)

      5

      1.0

      5.79

      3.14

      19.66

      点滴静注(2hr)

      5

      2.0

      5.17

      4.33

      22.05

      :点滴終了時

    2. 16.1.2 生物学的同等性試験

      ゲンタマイシン硫酸塩注射液10mg「日医工」及びゲンタシン注10を、クロスオーバー法によりそれぞれ1管(ゲンタマイシン硫酸塩として10mg(力価))健康成人男子に単回筋肉内投与して血漿中ゲンタマイシン濃度を測定し、得られた薬物動態パラメータ(AUC、Cmax)について90%信頼区間法にて統計解析を行った結果、log(0.80)~log(1.25)の範囲内であり、両剤の生物学的同等性が確認された3)

      表16-2 薬物動態パラメータ

      判定パラメータ

      参考パラメータ

      AUC0→10
      (ng・hr/mL)

      Cmax
      (ng/mL)

      Tmax
      (hr)

      t1/2
      (hr)

      ゲンタマイシン硫酸塩注射液10mg「日医工」

      2641±295

      803±137

      0.63±0.20

      2.46±0.25

      ゲンタシン注10

      2760±344

      818±199

      0.73±0.28

      2.51±0.31

      (1管投与,Mean±S.D.,n=16)

      血漿中薬物濃度推移

      血漿中濃度並びにAUC、Cmax等のパラメータは、被験者の選択、体液の採取回数・時間等の試験条件によって異なる可能性がある。

    16.3 分布

    1. 16.3.1 体液・組織内移行
      1. (1) 脳脊髄液中濃度

        頭部外傷患者にゲンタマイシン80mg(力価)を筋肉内注射したとき、投与1時間後に1.15~1.50μg/mLの最高脳脊髄液中濃度を示した4)

      2. (2) 胆汁中濃度

        胆石の胆のう摘出後患者にゲンタマイシン40mg(力価)を筋肉内注射したとき、胆汁中濃度は投与30分後に最高値7.2μg/mL又は投与2時間後に最高値5.0~6.4μg/mLを示した4),5)

      3. (3) 母乳中濃度

        授乳婦にゲンタマイシン80mg(力価)を筋肉内注射したとき、母乳中濃度はピーク時の血中濃度の約1/50の値(0.157μg/mL)であった6)

    2. 16.3.2 血清蛋白結合

      ヒト血清蛋白結合率は10μg/mLの濃度で3.4%であった7)in vitro)。

    16.4 代謝

    ラット及びイヌの尿中に抗菌活性をもつ代謝産物は認められなかった7)

    16.5 排泄

    ゲンタマイシンの主排泄経路は尿中排泄であった。健康成人にゲンタマイシン1mg(力価)/kgを筋肉内注射及び点滴静注(1時間及び2時間)したとき、投与開始6時間後までに点滴静注(1時間)で83.0%、点滴静注(2時間)で85.7%、筋肉内注射で96.5%が尿中に排泄された8)

    16.6 特定の背景を有する患者

    1. 16.6.1 腎機能障害患者においては、消失半減期が延長し高い血中濃度が持続する9),,
    2. 16.6.2 乳児、幼児、小児にゲンタマイシン2.0又は2.5mg(力価)/kgを30分又は1時間点滴静注したときの血清中濃度及び薬物動態パラメータは表16-3に示したとおりであった。いずれの年齢区分においても、Cmaxの平均値は5~10μg/mLに達し、投与終了6時間後には2μg/mL未満に低下した10)
      表16-3 小児にゲンタマイシンを単回投与したときの薬物動態パラメータ

      点滴時間
      (min)

      用量

      年齢区分

      薬物動態パラメータ

      Cmax
      (μg/mL)

      t1/2
      (hr)

      30

      2.5mg
      (力価)/kg

      乳児

      7.63(4)

      1.84

      30

      2.5mg
      (力価)/kg

      幼児

      9.94(4)

      1.46

      30

      2.5mg
      (力価)/kg

      小児

      9.84(4)

      1.85

      60

      2.0mg
      (力価)/kg

      乳児

      5.28(3)

      1.98

      60

      2.0mg
      (力価)/kg

      幼児

      5.33(2)

      1.39

      60

      2.0mg
      (力価)/kg

      小児

      7.31(2)

      1.35

      60

      2.5mg
      (力価)/kg

      幼児

      7.56(3)

      1.68

      60

      2.5mg
      (力価)/kg

      小児

      8.58(2)

      1.31

      測定方法:イムノアッセイ法
      ( )内は例数

    (注)本剤の承認された成人投与量は、1日3mg(力価)/kgを3分割[増量する場合は、1日5mg(力価)/kgを限度とし3~4分割]である。

    18. 薬効薬理

    18.1 作用機序

    作用機序は、他のアミノグリコシド系抗生物質と同様に細菌の蛋白合成阻害であり殺菌的に作用する。黄色ブドウ球菌、緑膿菌を含むグラム陰性桿菌にすぐれた抗菌力を示し、フラジオマイシンやカナマイシンなどの、他のアミノグリコシド系抗生物質との交差耐性菌の出現頻度が低い9)

    18.2 抗菌作用

    ゲンタマイシンの抗菌作用は殺菌的であり、臨床分離株の緑膿菌、プロテウス属、モルガネラ・モルガニー、プロビデンシア属、セラチア属、ブドウ球菌属、大腸菌、クレブシエラ属、エンテロバクター属に抗菌作用を示す11),12),13)in vitro)。

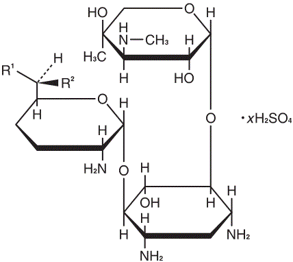
    19. 有効成分に関する理化学的知見

    一般的名称

    ゲンタマイシン硫酸塩(Gentamicin Sulfate)

    化学名

    ゲンタマイシンC1硫酸塩:
    (6R)-2-Amino-2,3,4,6-tetradeoxy-6-methylamino-6-methyl-α-D-erythro-hexopyranosyl-(1→4)-[3-deoxy-4-C-methyl-3-methylamino-β-L-arabinopyranosyl-(1→6)]-2-deoxy-D-streptamine sulfate

    ゲンタマイシンC2硫酸塩:
    (6R)-2,6-Diamino-2,3,4,6-tetradeoxy-6-methyl-α-D-erythro-hexopyranosyl-(1→4)-[3-deoxy-4-C-methyl-3-methylamino-β-L-arabinopyranosyl-(1→6)]-2-deoxy-D-streptamine sulfate

    ゲンタマイシンC1a硫酸塩:
    2,6-Diamino-2,3,4,6-tetradeoxy-α-D-erythro-hexopyranosyl-(1→4)-[3-deoxy-4-C-methyl-3-methylamino-β-L-arabinopyranosyl-(1→6)]-2-deoxy-D-streptamine sulfate

    性状

    白色~淡黄白色の粉末である。
    水に極めて溶けやすく、エタノール(99.5)にほとんど溶けない。
    吸湿性である。

    化学構造式

    ゲンタマイシンC1硫酸塩:R1=CH3 R2=NHCH3
    ゲンタマイシンC2硫酸塩:R1=CH3 R2=NH2
    ゲンタマイシンC1a硫酸塩:R1=H R2=NH2
    本品の力価は、ゲンタマイシンC1(C21H43N5O7:477.60)としての量を質量(力価)で示す。

    略号

    GM

    22. 包装

    • 〈ゲンタマイシン硫酸塩注射液10mg「日医工」〉

      1mL×10管

    • 〈ゲンタマイシン硫酸塩注射液40mg「日医工」〉

      1mL×10管

    • 〈ゲンタマイシン硫酸塩注射液60mg「日医工」〉

      1.5mL×10管

    24. 文献請求先及び問い合わせ先

    日医工株式会社 お客様サポートセンター

    〒930-8583 富山市総曲輪1丁目6番21

    TEL(0120)517-215
    FAX(076)442-8948

    26. 製造販売業者等

    26.1 製造販売元

    日医工株式会社

    富山市総曲輪1丁目6番21

    〒100-0013 東京都千代田区霞が関3-3-2 新霞が関ビル

    画面を閉じる

    Copyright © Pharmaceuticals and Medical Devices Agency, All Rights reserved.