医療用医薬品 詳細表示

乳糖水和物(結晶)「NikP」

添付文書番号

7111001X1353_1_03

企業コード

530169

作成又は改訂年月

2024年3月改訂(第1版)

日本標準商品分類番号

877111

薬効分類名

賦形剤

承認等

乳糖水和物(結晶)「NikP」

販売名コード

YJコード

7111001X1353

販売名英語表記

Lactose Hydrate

販売名ひらがな

にゅうとうすいわぶつ(けっしょう)「NikP」

承認番号等

許可番号

16A2X00045

販売開始年月

1979年5月

貯法・有効期間

貯法

室温保存

有効期間

3年

基準名

日本薬局方

乳糖水和物

一般的名称

乳糖水和物

3. 組成・性状

3.1 組成

乳糖水和物(結晶)「NikP」

有効成分1g中
乳糖水和物   1g

3.2 製剤の性状

乳糖水和物(結晶)「NikP」

剤形・性状白色の結晶である。

4. 効能又は効果

賦形剤として調剤に用いる。

6. 用法及び用量

賦形剤として調剤に用いる。

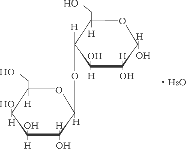
19. 有効成分に関する理化学的知見

一般的名称

乳糖水和物(Lactose Hydrate)

化学名

β-D-Galactopyranosyl-(1→4)-α-D-glucopyranose monohydrate

分子式

C12H22O11・H2O

分子量

360.31

性状

水に溶けやすく、エタノール(99.5)にほとんど溶けない。

化学構造式

22. 包装

500g

24. 文献請求先及び問い合わせ先

日医工株式会社 お客様サポートセンター

〒930-8583 富山市総曲輪1丁目6番21

TEL(0120)517-215

FAX(076)442-8948

26. 製造販売業者等

26.1 製造販売元

日医工株式会社

富山市総曲輪1丁目6番21

〒100-0013 東京都千代田区霞が関3-3-2 新霞が関ビル

画面を閉じる

Copyright © Pharmaceuticals and Medical Devices Agency, All Rights reserved.