医療用医薬品 詳細表示

スタラシドカプセル50/スタラシドカプセル100

処方せん医薬品

添付文書番号
企業コード
作成又は改訂年月
日本標準商品分類番号
薬効分類名
承認等
一般的名称
2.禁忌(次の患者には投与しないこと)
3.組成・性状
3.1組成
3.2製剤の性状
4.効能又は効果
6.用法及び用量
8.重要な基本的注意
9.特定の背景を有する患者に関する注意
9.1合併症・既往歴等のある患者
9.3肝機能障害患者
9.4生殖能を有する者
9.5妊婦
9.6授乳婦
9.7小児等
9.8高齢者
10.相互作用
10.2併用注意(併用に注意すること)
11.副作用
11.1重大な副作用
11.2その他の副作用
14.適用上の注意
15.その他の注意
15.2非臨床試験に基づく情報
16.薬物動態
16.1血中濃度
16.5排泄
17.臨床成績
17.1有効性及び安全性に関する試験
18.薬効薬理
18.1作用機序
19.有効成分に関する理化学的知見
22.包装
23.主要文献
24.文献請求先及び問い合わせ先
26.製造販売業者等

スタラシドカプセル50/スタラシドカプセル100

添付文書番号

4224001M1020_1_15

企業コード

530191

作成又は改訂年月

2022年11月改訂(第1版)

日本標準商品分類番号

874224

薬効分類名

抗悪性腫瘍剤

承認等

スタラシドカプセル50

販売名コード

YJコード

4224001M1020

販売名英語表記

Starasid Capsules 50

承認番号等

承認番号

20400AMZ01120

販売開始年月

1992年12月

貯法・有効期間

貯法

室温保存

有効期間

3.5年

スタラシドカプセル100

販売名コード

YJコード

4224001M2027

販売名英語表記

Starasid Capsules 100

承認番号等

承認番号

20400AMZ01121

販売開始年月

1992年12月

貯法・有効期間

貯法

室温保存

有効期間

3.5年

一般的名称

シタラビン オクホスファート水和物製剤

2. 禁忌(次の患者には投与しないこと)

  1. 2.1 本剤に対し重篤な過敏症の既往歴のある患者

3. 組成・性状

3.1 組成

スタラシドカプセル50

有効成分1カプセル中 シタラビン オクホスファート水和物:   51.5mg
(無水物として   50mg )
添加剤ヒドロキシプロピルセルロース、D-マンニトール、炭酸ナトリウム、ステアリン酸マグネシウム
(カプセル本体)
ラウリル硫酸ナトリウム、赤色3号、青色1号

スタラシドカプセル100

有効成分1カプセル中 シタラビン オクホスファート水和物:   103mg
(無水物として   100mg )
添加剤ヒドロキシプロピルセルロース、炭酸ナトリウム、ステアリン酸マグネシウム
(カプセル本体)
ラウリル硫酸ナトリウム、赤色3号、青色1号

3.2 製剤の性状

スタラシドカプセル50

剤形白色と赤紫色からなる硬カプセル剤で、内容物は微黄白色の粒状の粉末
外形表面
裏面
号数3
質量0.241g
識別コードNK7025

スタラシドカプセル100

剤形白色と赤紫色からなる硬カプセル剤で、内容物は微黄白色の粒状の粉末
外形表面
裏面
号数2
質量0.331g
識別コードNK7021

4. 効能又は効果

  • 成人急性非リンパ性白血病(強力な化学療法が対象となる症例にはその療法を優先する。)
  • 骨髄異形成症候群(Myelodysplastic Syndrome)

6. 用法及び用量

  • 〈成人急性非リンパ性白血病〉

    シタラビン オクホスファートとして、1日100~300mgを2~3週間連続経口投与し、2~3週間休薬する。これを繰り返す。
    なお、投与量は疾患、症状等により適宜増減する。本剤の投与時期は食後とし、1日1~3回に分けて服用する。

  • 〈骨髄異形成症候群(Myelodysplastic Syndrome)〉

    シタラビン オクホスファートとして、1日100~200mgを2~3週間連続経口投与し、2~3週間休薬する。これを繰り返す。
    なお、投与量は疾患、症状等により適宜増減する。本剤の投与時期は食後とし、1日1~3回に分けて服用する。

8. 重要な基本的注意

  1. 8.1 本剤はその薬物動態及び臨床試験の成績から2~3週間連日投与により効果が発現されることから、寛解導入療法などの強力な化学療法が対象となる患者には本剤の投与は避け寛解導入療法を優先的に実施すること。,
  2. 8.2 本剤による骨髄抑制に伴う出血症状の発現又は増悪に十分注意すること。,
  3. 8.3 本剤の投与により原疾患による骨髄不全に伴う出血症状の増悪が起こることがあるので、出血の有無の確認、血液検査、臨床症状の観察を十分行うこと。,
  4. 8.4 骨髄抑制等の重篤な副作用が起こることがあるので、頻回に臨床検査(血液検査、肝機能検査、腎機能検査等)を行うなど、患者の状態を十分に観察すること。また、使用が長期間にわたると副作用が強くあらわれ、遷延性に推移することがあるので、投与は慎重に行うこと。,
  5. 8.5 感染症の発現又は増悪に十分注意すること。

9. 特定の背景を有する患者に関する注意

9.1 合併症・既往歴等のある患者

  1. 9.1.1 骨髄抑制のある患者

    骨髄抑制を増悪することがある。,,,

  2. 9.1.2 感染症を合併している患者

    骨髄抑制により、感染症を増悪させることがある。

  3. 9.1.3 薬物過敏症の既往歴のある患者

9.3 肝機能障害患者

代謝機能等が低下しているので、副作用が強くあらわれることがある。

9.4 生殖能を有する者

生殖可能な年齢の患者に投与する必要がある場合には、性腺に対する影響を考慮すること。

9.5 妊婦

妊婦又は妊娠している可能性のある女性には、投与しないことが望ましい。動物実験(ラット、ウサギ)で催奇形性が報告されている。

9.6 授乳婦

授乳しないことが望ましい。動物実験(ラット)で母乳中への移行が認められている。

9.7 小児等

やむを得ず投与する場合は観察を十分に行い、慎重に投与すること。小児等を対象とした有効性及び安全性を指標とした臨床試験は実施していない。

9.8 高齢者

用量に留意して患者の状態を観察しながら慎重に投与すること。本剤は、主として肝臓で代謝されるが、高齢者では肝機能等の生理機能が低下していることが多い。

10. 相互作用

    10.2 併用注意(併用に注意すること)

    薬剤名等臨床症状・措置方法機序・危険因子

    抗悪性腫瘍剤

    骨髄抑制等の副作用が増強することがある。併用療法を行う場合は患者の状態を観察しながら、減量するなど用量に注意すること。

    ともに骨髄抑制作用を有する。

    11. 副作用

    次の副作用があらわれることがあるので、観察を十分に行い、異常が認められた場合には投与を中止するなど適切な処置を行うこと。

    11.1 重大な副作用

    1. 11.1.1 骨髄抑制(頻度不明)

      汎血球減少、貧血、血小板減少、白血球減少、顆粒球減少等があらわれることがある。,,,

    2. 11.1.2 間質性肺炎(頻度不明)

      発熱、咳嗽、呼吸困難、胸部X線異常、好酸球増多等を伴う間質性肺炎があらわれることがあるので、観察を十分に行い、異常が認められた場合には投与を中止し、副腎皮質ホルモン剤の投与など適切な処置を行うこと。

    11.2 その他の副作用

    10%以上

    1~10%未満

    1%未満

    頻度不明

    消化器

    悪心・嘔吐、食欲不振(35.0%)

    下痢、口内炎

    下血、黒色便

    腹痛

    肝臓

    AST上昇、ALT上昇、LDH上昇、Al-P上昇、総ビリルビン上昇

    γ-GTP上昇

    過敏症

    発疹

    皮膚

    脱毛

    泌尿器

    血尿、BUN上昇、クレアチニン上昇

    その他

    発熱、倦怠感

    血清蛋白減少

    14. 適用上の注意

    14.1 薬剤交付時の注意

    PTP包装の薬剤はPTPシートから取り出して服用するよう指導すること。PTPシートの誤飲により、硬い鋭角部が食道粘膜へ刺入し、更には穿孔をおこして縦隔洞炎等の重篤な合併症を併発することがある。

    15. その他の注意

    15.2 非臨床試験に基づく情報

    1. 15.2.1 細菌を用いた復帰変異試験では、突然変異誘発性は陰性であったが、培養ヒトリンパ球を用いた染色体異常試験及びマウスを用いた小核試験では、染色体異常誘発能を有することが報告されている。

    16. 薬物動態

    16.1 血中濃度

    1. 16.1.1 反復投与

      悪性腫瘍患者3名に1日1回100mgを5日間連続経口投与した時の血漿中の活性代謝物ara-C濃度のCmaxは初回及び5日投与後で、各々1.2ng/mL、2.3ng/mLであり、5日目の方が高値を示した。本剤を連続投与すると、ara-Cの血漿中濃度はほぼ一定に推移するものと推定された1)

    16.5 排泄

    悪性腫瘍患者15名に1日1回100~900mg1)を5日間連続経口投与したとき、尿中には未変化体は排泄されず、活性代謝物のara-Cが投与量の0.5%以下、主要尿中代謝物としてara-Uが最大で23.2%排泄された。

    1) 本剤の承認された1日最大用量は300mg(なお、投与量は疾患、症状等により適宜増減する)である。

    17. 臨床成績

    17.1 有効性及び安全性に関する試験

    1. 17.1.1 国内第Ⅱ相臨床試験

      造血器腫瘍患者を対象に、本剤1日100mg~300mgを2週間以上連日経口投与した際の有効性および安全性を評価した。
      急性非リンパ性白血病患者53例における寛解率はCR2例、PR9例で20.8%(11/53例)であった。病型別寛解率は、急性骨髄性白血病(AML)で13.0%(3/23例)、骨髄異形成症候群(MDS)からAMLに移行した症例で29.4%(5/17例)、慢性骨髄性白血病の急性転化症例で22.2%(2/9例)、低形成性白血病で25%(1/4例)であった。
      MDS患者2)45例における寛解率はCR2例、GR6例、PR5例で28.9%(13/45例)であった。病型別寛解率は、RAEB in Tで34.8%(8/23例)、RAEBで22.2%(4/18例)、CMMoLで25%(1/4例)であった。
      副作用解析対象例163例における主な副作用は、食欲不振35.0%(57/163例)、悪心・嘔吐19.0%(31/163例)、全身倦怠感17.8%(29/163例)であった。主な臨床検査値異常はALT上昇8.7%(14/161例)、AST上昇8.0%(13/162例)、LDH上昇6.3%(10/160例)であった2)

      2) 本剤の承認された1日用量は100mg~200mg(なお、投与量は疾患、症状等により適宜増減する)である。

    18. 薬効薬理

    18.1 作用機序

    本剤は、ara-Cのプロドラッグであり、体内で活性代謝物のara-Cに代謝された後、腫瘍細胞内でara-CTPとなり、DNAポリメラーゼを阻害することにより抗腫瘍作用を示す3)

    18.2 抗腫瘍作用

    本剤は、経口投与で、L1210白血病をはじめとする各種マウス腫瘍に延命効果を示す。この効果は投与スケジュールに依存せず総投与量に依存する4)
    また、マウスP388白血病でアドリアマイシン、ダウノマイシン、マイトマイシンC、シスプラチン又はビンクリスチンとの2剤同時併用で顕著な相乗効果を示した5)

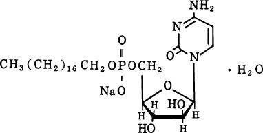
    19. 有効成分に関する理化学的知見

    一般的名称

    シタラビン オクホスファート水和物(Cytarabine Ocfosfate Hydrate)

    化学名

    4-amino-1-β-D-arabinofuranosyl-2(1H)-pyrimidinone 5'-(sodium octadecyl phosphate)monohydrate

    分子式

    C27H49N3NaO8P・H2O

    分子量

    615.67

    性状

    シタラビン オクホスファート水和物は、白色の結晶又は結晶性の粉末である。水又はメタノールに溶けやすく、エタノール(95)に溶けにくく、ジエチルエーテルにはほとんど溶けない。

    化学構造式

    22. 包装

    • スタラシドカプセル50

      40カプセル[10カプセル(PTP)×4]

    • スタラシドカプセル100

      40カプセル[10カプセル(PTP)×4]

    24. 文献請求先及び問い合わせ先

    日本化薬株式会社 医薬品情報センター

    〒100-0005 東京都千代田区丸の内二丁目1番1号

    TEL.0120-505-282

    26. 製造販売業者等

    26.1 製造販売元

    日本化薬株式会社

    東京都千代田区丸の内二丁目1番1号

    〒100-0013 東京都千代田区霞が関3-3-2 新霞が関ビル

    画面を閉じる

    Copyright © Pharmaceuticals and Medical Devices Agency, All Rights reserved.