医療用医薬品 詳細表示

ロスバスタチン錠2.5mg「ケミファ」/ロスバスタチン錠5mg「ケミファ」/ロスバスタチンOD錠2.5mg「ケミファ」/ロスバスタチンOD錠5mg「ケミファ」

処方せん医薬品

添付文書番号
企業コード
作成又は改訂年月
日本標準商品分類番号
薬効分類名
承認等
一般的名称
2.禁忌(次の患者には投与しないこと)
3.組成・性状
3.1組成
3.2製剤の性状
4.効能又は効果
5.効能又は効果に関連する注意
6.用法及び用量
7.用法及び用量に関連する注意
8.重要な基本的注意
9.特定の背景を有する患者に関する注意
9.1合併症・既往歴等のある患者
9.2腎機能障害患者
9.3肝機能障害患者
9.5妊婦
9.6授乳婦
9.7小児等
10.相互作用
10.1併用禁忌(併用しないこと)
10.2併用注意(併用に注意すること)
11.副作用
11.1重大な副作用
11.2その他の副作用
14.適用上の注意
15.その他の注意
15.1臨床使用に基づく情報
16.薬物動態
16.1血中濃度
16.2吸収
16.3分布
16.4代謝
16.5排泄
16.6特定の背景を有する患者
16.7薬物相互作用
16.8その他
17.臨床成績
17.1有効性及び安全性に関する試験
18.薬効薬理
18.1作用機序
18.2血中コレステロール低下作用
18.3動脈硬化進展抑制作用
18.4トリグリセリド低下作用
19.有効成分に関する理化学的知見
20.取扱い上の注意
22.包装
23.主要文献
24.文献請求先及び問い合わせ先
26.製造販売業者等

ロスバスタチン錠2.5mg「ケミファ」/ロスバスタチン錠5mg「ケミファ」/ロスバスタチンOD錠2.5mg「ケミファ」/ロスバスタチンOD錠5mg「ケミファ」

添付文書番号

2189017F1146_1_12

企業コード

530213

作成又は改訂年月

**2026年3月改訂(第3版)
2024年10月改訂(第2版)

日本標準商品分類番号

872189

薬効分類名

HMG-CoA還元酵素阻害剤

承認等

ロスバスタチン錠2.5mg「ケミファ」

販売名コード

YJコード

2189017F1146

販売名英語表記

Rosuvastatin Tablets 2.5mg“Chemiphar”

販売名ひらがな

ろすばすたちんじょう2.5mg「けみふぁ」

承認番号等

承認番号

22900AMX00677000

販売開始年月

2017年12月

貯法・有効期間

貯法

室温保存

有効期間

3年

基準名

日本薬局方

ロスバスタチンカルシウム錠

ロスバスタチン錠5mg「ケミファ」

販売名コード

YJコード

2189017F2142

販売名英語表記

Rosuvastatin Tablets 5mg“Chemiphar”

販売名ひらがな

ろすばすたちんじょう5mg「けみふぁ」

承認番号等

承認番号

22900AMX00678000

販売開始年月

2017年12月

貯法・有効期間

貯法

室温保存

有効期間

3年

基準名

日本薬局方

ロスバスタチンカルシウム錠

ロスバスタチンOD錠2.5mg「ケミファ」

販売名コード

YJコード

2189017F3130

販売名英語表記

Rosuvastatin OD Tablets 2.5mg“Chemiphar”

販売名ひらがな

ろすばすたちんODじょう2.5mg「けみふぁ」

承認番号等

承認番号

22900AMX00840000

販売開始年月

2017年12月

貯法・有効期間

貯法

室温保存

有効期間

2年

ロスバスタチンOD錠5mg「ケミファ」

販売名コード

YJコード

2189017F4137

販売名英語表記

Rosuvastatin OD Tablets 5mg“Chemiphar”

販売名ひらがな

ろすばすたちんODじょう5mg「けみふぁ」

承認番号等

承認番号

22900AMX00841000

販売開始年月

2017年12月

貯法・有効期間

貯法

室温保存

有効期間

2年

一般的名称

ロスバスタチンカルシウム

2. 禁忌(次の患者には投与しないこと)

  1. 2.1 本剤の成分に対し過敏症の既往歴のある患者
  2. 2.2 肝機能が低下していると考えられる以下のような患者

    急性肝炎、慢性肝炎の急性増悪、肝硬変、肝癌、黄疸,,

  3. 2.3 妊婦又は妊娠している可能性のある女性及び授乳婦,
  4. 2.4 シクロスポリンを投与中の患者,

3. 組成・性状

3.1 組成

ロスバスタチン錠2.5mg「ケミファ」

添加剤乳糖水和物、結晶セルロース、クロスポビドン、乳酸カルシウム水和物、ステアリン酸マグネシウム、ヒプロメロース、トリアセチン、カルナウバロウ、その他2成分
有効成分
(1錠中)
  (日局)ロスバスタチンカルシウム2.60mg
(ロスバスタチンとして2.5mg)

ロスバスタチン錠5mg「ケミファ」

添加剤乳糖水和物、結晶セルロース、クロスポビドン、乳酸カルシウム水和物、ステアリン酸マグネシウム、ヒプロメロース、トリアセチン、カルナウバロウ、その他2成分
有効成分
(1錠中)
  (日局)ロスバスタチンカルシウム5.20mg
(ロスバスタチンとして5.0mg)

ロスバスタチンOD錠2.5mg「ケミファ」

添加剤結晶セルロース、D-マンニトール、低置換度ヒドロキシプロピルセルロース、クロスポビドン、炭酸水素ナトリウム、アミノアルキルメタクリレートコポリマーE、ポリビニルアルコール・ポリエチレングリコール・グラフトコポリマー、スクラロース、ステアリン酸マグネシウム、l-メントール、その他2成分
有効成分
(1錠中)
  (日局)ロスバスタチンカルシウム2.60mg
(ロスバスタチンとして2.5mg)

ロスバスタチンOD錠5mg「ケミファ」

添加剤結晶セルロース、D-マンニトール、低置換度ヒドロキシプロピルセルロース、クロスポビドン、炭酸水素ナトリウム、アミノアルキルメタクリレートコポリマーE、ポリビニルアルコール・ポリエチレングリコール・グラフトコポリマー、スクラロース、ステアリン酸マグネシウム、l-メントール、その他2成分
有効成分
(1錠中)
  (日局)ロスバスタチンカルシウム5.20mg
(ロスバスタチンとして5.0mg)

3.2 製剤の性状

ロスバスタチン錠2.5mg「ケミファ」

性状うすい赤みの黄色からくすんだ赤みの黄色のフィルムコーティング錠
外形
側面
直径5.6mm
厚さ3.1mm
重量77.5mg
識別コードロスバスタチン2.5 ケミファ

ロスバスタチン錠5mg「ケミファ」

性状うすい赤みの黄色からくすんだ赤みの黄色のフィルムコーティング錠
外形
側面
直径7.1mm
厚さ3.8mm
重量154.1mg
識別コードロスバスタチン5 ケミファ

ロスバスタチンOD錠2.5mg「ケミファ」

性状うすい黄色のフィルムコーティング錠
外形
側面
直径5.6mm
厚さ3.1mm
厚さ77.5mg
識別コードロスバスタチンOD2.5 ケミファ

ロスバスタチンOD錠5mg「ケミファ」

性状うすい黄色のフィルムコーティング錠
外形
側面
直径7.2mm
厚さ3.6mm
重量154.0mg
識別コードロスバスタチンOD5 ケミファ

4. 効能又は効果

高コレステロール血症、家族性高コレステロール血症

5. 効能又は効果に関連する注意

  1. 5.1 適用の前に十分な検査を実施し、高コレステロール血症、家族性高コレステロール血症であることを確認した上で本剤の適用を考慮すること。
  2. 5.2 家族性高コレステロール血症ホモ接合体については、LDL-アフェレーシス等の非薬物療法の補助として、あるいはそれらの治療法が実施不能な場合に本剤の適用を考慮すること。

6. 用法及び用量

通常、成人にはロスバスタチンとして1日1回2.5mgより投与を開始するが、早期にLDL-コレステロール値を低下させる必要がある場合には5mgより投与を開始してもよい。なお、年齢・症状により適宜増減し、投与開始後あるいは増量後、4週以降にLDL-コレステロール値の低下が不十分な場合には、漸次10mgまで増量できる。10mgを投与してもLDL-コレステロール値の低下が十分でない、家族性高コレステロール血症患者などの重症患者に限り、さらに増量できるが、1日最大20mgまでとする。

7. 用法及び用量に関連する注意

  1. 7.1 クレアチニンクリアランスが30mL/min/1.73m2未満の患者に投与する場合には、2.5mgより投与を開始し、1日最大投与量は5mgとする。,,
  2. 7.2 特に20mg投与時においては腎機能に影響があらわれるおそれがある。20mg投与開始後12週までの間は原則、月に1回、それ以降は定期的(半年に1回等)に腎機能検査を行うなど、観察を十分に行うこと。,,

8. 重要な基本的注意

  1. 8.1 あらかじめ高コレステロール血症治療の基本である食事療法を行い、更に運動療法や高血圧、喫煙等の虚血性心疾患のリスクファクターの軽減等も十分考慮すること。
  2. 8.2 投与中は血中脂質値を定期的に検査し、治療に対する反応が認められない場合には投与を中止すること。
  3. 8.3 投与開始又は増量後12週までの間は原則、月に1回、それ以降は定期的(半年に1回等)に肝機能検査を行うこと。
  4. 8.4 血小板減少があらわれることがあるので、血液検査等の観察を十分に行うこと。

9. 特定の背景を有する患者に関する注意

9.1 合併症・既往歴等のある患者

  1. 9.1.1 横紋筋融解症があらわれやすいとの報告がある以下の患者
  • アルコール中毒患者
  • 甲状腺機能低下症の患者
  • 遺伝性の筋疾患(筋ジストロフィー等)又はその家族歴のある患者
  • 薬剤性の筋障害の既往歴のある患者
  1. 9.1.2 重症筋無力症又はその既往歴のある患者

    重症筋無力症(眼筋型、全身型)が悪化又は再発することがある。

9.2 腎機能障害患者

  1. 9.2.1 腎機能検査値異常のある患者

    本剤とフィブラート系薬剤を併用する場合には、治療上やむを得ないと判断される場合にのみ併用すること。急激な腎機能悪化を伴う横紋筋融解症があらわれやすい。やむを得ず併用する場合には、定期的に腎機能検査等を実施し、自覚症状(筋肉痛、脱力感)の発現、CK上昇、血中及び尿中ミオグロビン上昇並びに血清クレアチニン上昇等の腎機能の悪化を認めた場合は直ちに投与を中止すること。

  2. 9.2.2 腎障害又はその既往歴のある患者

    横紋筋融解症の報告例の多くが腎機能障害を有する患者であり、また、横紋筋融解症に伴って急激な腎機能悪化があらわれることがある。,,

  3. 9.2.3 重度の腎障害のある患者

    本剤の血中濃度が高くなるおそれがある。,,

9.3 肝機能障害患者

  1. 9.3.1 肝機能が低下していると考えられる以下のような患者
  • 急性肝炎、慢性肝炎の急性増悪、肝硬変、肝癌、黄疸

    投与しないこと。これらの患者では、本剤の血中濃度が上昇するおそれがある。また、本剤は主に肝臓に分布して作用するので、肝障害を悪化させるおそれがある。,

  1. 9.3.2 肝障害又はその既往歴のある患者

    本剤は主に肝臓に分布して作用するので、肝障害又はその既往歴のある患者では、肝障害を悪化させるおそれがある。特に、Child-Pughスコアが8~9の患者では、血漿中濃度が他に比べて高かったとの報告がある。,

9.5 妊婦

妊婦又は妊娠している可能性のある女性には投与しないこと。ラットに他のHMG-CoA還元酵素阻害剤を大量投与した場合に胎児の骨格奇形が報告されている。更にヒトでは、他のHMG-CoA還元酵素阻害剤で、妊娠3ヵ月までの間に服用したとき、胎児に先天性奇形があらわれたとの報告がある。

9.6 授乳婦

投与しないこと。ラットで乳汁中への移行が報告されている。

9.7 小児等

小児等を対象とした有効性及び安全性を指標とした臨床試験は実施していない。

10. 相互作用

  • 本剤は、OATP1B1及びBCRPの基質である。

10.1 併用禁忌(併用しないこと)

薬剤名等臨床症状・措置方法機序・危険因子

シクロスポリン

(サンディミュン、
ネオーラル等)

,

シクロスポリンを投与されている心臓移植患者に併用したとき、シクロスポリンの血中濃度に影響はなかったが、本剤のAUC0-24hが健康成人に単独で反復投与したときに比べて約7倍上昇したとの報告がある。

シクロスポリンがOATP1B1及びBCRP等の機能を阻害する可能性がある。

10.2 併用注意(併用に注意すること)

薬剤名等臨床症状・措置方法機序・危険因子

フィブラート系薬剤

  • ベザフィブラート等

フェノフィブラートとの併用においては、いずれの薬剤の血中濃度にも影響はみられていない。しかし一般に、HMG-CoA還元酵素阻害剤との併用で、筋肉痛、脱力感、CK上昇、血中及び尿中ミオグロビン上昇を特徴とし、急激な腎機能悪化を伴う横紋筋融解症があらわれやすい。

両剤共に横紋筋融解症の報告がある。

危険因子:腎機能に関する臨床検査値に異常が認められる患者

ニコチン酸

一般に、HMG-CoA還元酵素阻害剤との併用で、筋肉痛、脱力感、CK上昇、血中及び尿中ミオグロビン上昇を特徴とし、急激な腎機能悪化を伴う横紋筋融解症があらわれやすい。

危険因子:腎機能障害のある患者

アゾール系抗真菌薬

  • イトラコナゾール等

一般に、HMG-CoA還元酵素阻害剤との併用で、筋肉痛、脱力感、CK上昇、血中及び尿中ミオグロビン上昇を特徴とし、急激な腎機能悪化を伴う横紋筋融解症があらわれやすい。

危険因子:腎機能障害のある患者

マクロライド系抗生物質

  • エリスロマイシン等

一般に、HMG-CoA還元酵素阻害剤との併用で、筋肉痛、脱力感、CK上昇、血中及び尿中ミオグロビン上昇を特徴とし、急激な腎機能悪化を伴う横紋筋融解症があらわれやすい。

危険因子:腎機能障害のある患者

**,*チカグレロル

本剤の血漿中濃度上昇により横紋筋融解症やミオパチーのリスクが増加するおそれがある。

チカグレロルがBCRPを阻害することにより本剤の排出が阻害され、本剤の血漿中濃度が上昇する可能性がある1)

クマリン系抗凝固剤

  • ワルファリン

抗凝血作用が増強することがある。本剤を併用する場合は、本剤の投与開始時及び用量変更時にも頻回にプロトロンビン時間国際標準比(INR)値等を確認し、必要に応じてワルファリンの用量を調節する等、注意深く投与すること。

機序は不明

制酸剤

  • 水酸化マグネシウム・
    水酸化アルミニウム

本剤の血中濃度が約50%に低下することが報告されている。本剤投与後2時間経過後に制酸剤を投与した場合には、本剤の血中濃度は非併用時の約80%であった。

機序は不明

ロピナビル・リトナビル

アタザナビル/リトナビル

ダルナビル/リトナビル

グレカプレビル・ピブレンタスビル

本剤とロピナビル・リトナビルを併用したとき本剤のAUCが約2倍、Cmaxが約5倍、アタザナビル及びリトナビル両剤と本剤を併用したとき本剤のAUCが約3倍、Cmaxが7倍、ダルナビル及びリトナビル両剤と本剤を併用したとき本剤のAUCが約1.5倍、Cmaxが約2.4倍上昇したとの報告がある。また本剤とグレカプレビル・ピブレンタスビル1) を併用したとき、本剤のAUCが約2.2倍、Cmaxが約5.6倍上昇したとの報告がある。

左記薬剤がOATP1B1及びBCRPの機能を阻害する可能性がある。

ダクラタスビル

アスナプレビル

ダクラタスビル・アスナプレビル・ベクラブビル

本剤とダクラタスビル、アスナプレビル、またはダクラタスビル・アスナプレビル・ベクラブビル1)を併用したとき、本剤の血中濃度が上昇したとの報告がある。

ダクラタスビル、ベクラブビルがOATP1B1、1B3及びBCRPの機能を阻害する可能性がある。また、アスナプレビルがOATP1B1、1B3の機能を阻害する可能性がある。

グラゾプレビル/エルバスビル

本剤とグラゾプレビル1)及びエルバスビルを併用したとき、本剤のAUCが約2.3倍、Cmaxが約5.5倍上昇したとの報告がある。

左記薬剤がBCRPの機能を阻害する可能性がある。

ソホスブビル・ベルパタスビル

本剤とベルパタスビルを併用したとき、本剤のAUCが約2.7倍、Cmaxが約2.6倍上昇したとの報告がある。

ベルパタスビルがOATP1B1、1B3及びBCRPの機能を阻害する可能性がある。

ダロルタミド

本剤とダロルタミドを併用したとき、本剤のAUCが5.2倍2)、Cmaxが5.0倍上昇したとの報告がある。

ダロルタミドがOATP1B1、1B3及びBCRPの機能を阻害する可能性がある。

レゴラフェニブ

本剤とレゴラフェニブを併用したとき、本剤のAUCが3.8倍、Cmaxが4.6倍上昇したとの報告がある。

レゴラフェニブがBCRPの機能を阻害する可能性がある。

カプマチニブ塩酸塩水和物

本剤とカプマチニブ塩酸塩水和物を併用したとき、本剤のAUCが約2.1倍、Cmaxが約3.0倍上昇したとの報告がある。

カプマチニブ塩酸塩がBCRPの機能を阻害することにより、本剤の血中濃度が増加する可能性がある。

バダデュスタット

本剤とバダデュスタットを併用したとき、本剤のAUCが約2.5倍、Cmaxが約2.7倍上昇したとの報告がある。

バダデュスタットがBCRPの機能を阻害することにより、本剤の血中濃度が増加する可能性がある。

フェブキソスタット

本剤とフェブキソスタットを併用したとき、本剤のAUCが約1.9倍、Cmaxが約2.1倍上昇したとの報告がある。

フェブキソスタットがBCRPの機能を阻害することにより、本剤の血中濃度が増加する可能性がある。

エルトロンボパグ

本剤とエルトロンボパグを併用したとき、本剤のAUCが約1.6倍上昇したとの報告がある。

エルトロンボパグがOATP1B1及びBCRPの機能を阻害する可能性がある。

ホスタマチニブナトリウム水和物

本剤とホスタマチニブナトリウム水和物を併用したとき、本剤のAUCが1.96倍、Cmaxが1.88倍上昇したとの報告がある。

ホスタマチニブナトリウム水和物がBCRPの機能を阻害する可能性がある。

ロキサデュスタット

本剤とロキサデュスタットを併用したとき、本剤のAUCが2.93倍、Cmaxが4.47倍上昇したとの報告がある。

ロキサデュスタットがOATP1B1及びBCRPの機能を阻害する可能性がある。

タファミジス

本剤とタファミジスを併用したとき、本剤のAUCが1.97倍、Cmaxが1.86倍上昇したとの報告がある。

タファミジスがBCRPの機能を阻害する可能性がある。

**ベルモスジル

本剤とベルモスジルを併用したとき、本剤のAUC0-lastが4.62倍、Cmaxが3.59倍上昇したとの報告がある3)

ベルモスジルのBCRP及びOATP1B1阻害作用により、本剤の血中濃度が上昇する可能性がある。

**モメロチニブ

本剤とモメロチニブを併用したとき、本剤のAUCinfが2.7倍、Cmaxが3.2倍上昇したとの報告がある4)

モメロチニブのBCRP阻害作用により、本剤の血中濃度が上昇する可能性がある。

1) 承認用量外の用量における試験結果に基づく。

11. 副作用

次の副作用があらわれることがあるので、観察を十分に行い、異常が認められた場合には投与を中止するなど適切な処置を行うこと。

11.1 重大な副作用

  1. 11.1.1 横紋筋融解症(0.1%未満)

    筋肉痛、脱力感、CK上昇、血中及び尿中ミオグロビン上昇を特徴とする横紋筋融解症があらわれ、急性腎障害等の重篤な腎障害があらわれることがあるので、このような場合には直ちに投与を中止すること。

  2. 11.1.2 ミオパチー(頻度不明)

    広範な筋肉痛、高度な脱力感や著明なCKの上昇があらわれた場合には投与を中止すること。

  3. 11.1.3 免疫介在性壊死性ミオパチー(頻度不明)

    近位筋脱力、CK高値、炎症を伴わない筋線維の壊死、抗HMG-CoA還元酵素(HMGCR)抗体陽性等を特徴とする免疫介在性壊死性ミオパチーがあらわれ、投与中止後も持続する例が報告されているので、患者の状態を十分に観察すること。なお、免疫抑制剤投与により改善がみられたとの報告例がある。

  4. 11.1.4 重症筋無力症(頻度不明)

    重症筋無力症(眼筋型、全身型)が発症又は悪化することがある。

  5. 11.1.5 肝炎(0.1%未満)、肝機能障害(1%未満)、黄疸(頻度不明)

    肝炎、AST、ALTの上昇等を伴う肝機能障害、黄疸があらわれることがある。

  6. 11.1.6 血小板減少(0.1%未満)

  7. 11.1.7 過敏症状(0.1%未満)

    **血管性浮腫を含む過敏症状があらわれることがある。

  8. 11.1.8 間質性肺炎(0.1%未満)

    長期投与であっても、発熱、咳嗽、呼吸困難、胸部X線異常等が認められた場合には投与を中止し、副腎皮質ホルモン剤の投与等の適切な処置を行うこと。

  9. 11.1.9 末梢神経障害(0.1%未満)

    四肢の感覚鈍麻、しびれ感等の感覚障害、疼痛、あるいは筋力低下等の末梢神経障害があらわれることがある。

  10. 11.1.10 多形紅斑(頻度不明)

11.2 その他の副作用

2~5%未満

0.1~2%未満

0.1%未満

頻度不明

皮膚

そう痒症、発疹、蕁麻疹

苔癬様皮疹

消化器

腹痛、便秘、嘔気、下痢

膵炎、口内炎

筋・骨格系

CK上昇

無力症、筋肉痛、関節痛

筋痙攣

精神神経系

頭痛、浮動性めまい

健忘、睡眠障害(不眠、悪夢等)、抑うつ

内分泌

女性化乳房

代謝異常

HbA1c上昇、血糖値上昇

肝臓

肝機能異常(AST上昇、ALT上昇)

腎臓

蛋白尿2)、腎機能異常(BUN上昇、血清クレアチニン上昇)

2) 通常一過性であるが、原因不明の蛋白尿が持続する場合には減量するなど適切な処置を行うこと。
発現頻度は使用成績調査から算出した。

14. 適用上の注意

14.1 薬剤交付時の注意

  • 〈製剤共通〉
    1. 14.1.1 PTP包装の薬剤はPTPシートから取り出して服用するよう指導すること。PTPシートの誤飲により、硬い鋭角部が食道粘膜へ刺入し、更には穿孔をおこして縦隔洞炎等の重篤な合併症を併発することがある。
  • 〈OD錠〉
    1. 14.1.2 本剤は舌の上にのせて唾液を浸潤させると崩壊するため、水なしで服用可能である。また、水で服用することもできる。

15. その他の注意

15.1 臨床使用に基づく情報

海外において、本剤を含むHMG-CoA還元酵素阻害剤投与中の患者では、糖尿病発症のリスクが高かったとの報告がある。

16. 薬物動態

16.1 血中濃度

  1. 16.1.1 単回投与

    健康成人男性6例にロスバスタチンカルシウムを5mgの用量で空腹時に単回経口投与したところ、血漿中ロスバスタチン濃度は投与後5時間にCmaxを示し、消失半減期(t1/2)は20.2±7.8時間であった。また、Cmax及びAUC0-24hはそれぞれ3.56±1.35ng/mL及び31.3±13.6ng∙h/mLであった(平均値±標準偏差)5)
    なお、ロスバスタチンの体内動態は線形であると考えられている(外国人データ)6)

  2. 16.1.2 反復投与

    健康成人男性6例にロスバスタチンカルシウム10及び20mgを1日1回7日間、空腹時に反復経口投与したところ、投与後24時間の血漿中ロスバスタチン濃度は徐々に上昇し、反復投与3回目にはほぼ定常状態に到達した7)。定常状態におけるAUC0-24hは単回投与時の1.2倍であり、その値は単回投与での結果からの予測値と同程度であった。したがって、反復投与による予想以上の蓄積性はないと考えられた。なお、日本人におけるCmax及びAUCは白人の約2倍であった8)

    表1 健康成人男性におけるロスバスタチンの薬物動態パラメータ(n=6)

    用量

    (mg)

    Cmaxa)

    (ng/mL)

    Tmaxb)

    (h)

    AUC0-24ha)

    (ng∙h/mL)

    AUC0-∞a)

    (ng∙h/mL)

    t1/2c)

    (h)

    10

    単回

    7.87
    (54.4)

    5(4-5)

    74.2(56.0)

    126(39.3)d)

    15.1±5.36d)

    反復

    9.38
    (71.5)

    5(5-5)

    90.5(67.0)

    167(30.0)e)

    18.4±4.62e)

    20

    単回

    20.5
    (54.6)

    4(3-5)

    171(53.0)

    209(50.1)

    19.1±5.81

    反復

    22.1
    (68.0)

    5(5-5)

    206(63.9)

    248(62.2)

    14.8±5.76

    a) 幾何平均値(変動係数)、b) 中央値(範囲)、c) 平均値±標準偏差
    d) n=3、e) n=4

    高コレステロール血症患者にロスバスタチンカルシウム2.5~20mgを1日1回6週間反復経口投与し、定常状態の血漿中ロスバスタチン濃度を測定した9)。高コレステロール血症患者の血漿中ロスバスタチン濃度は用量にほぼ比例して増加し、健康成人男性での値(投与後10時間の幾何平均値、10mg:4.06ng/mL、20mg:9.82ng/mL)とほぼ同程度であった。なお、本試験で日本人と白人の結果を比較したところ、日本人における定常状態の血漿中ロスバスタチン濃度は白人の約2倍であった10)

    表2 高コレステロール血症患者における定常状態の血漿中ロスバスタチン濃度

    投与量

    血漿中ロスバスタチン濃度(ng/mL)

    2.5mg(n=16)

    1.26(72.7)

    5mg(n=12)

    2.62(41.5)

    10mg(n=13)

    4.17(75.5)

    20mg(n=17)

    11.7(50.0)

    幾何平均値(変動係数) 採血時間:投与後7~16時間

  3. 16.1.3 投与時間の影響

    外国人健康成人21例にロスバスタチンカルシウム10mgをクロスオーバー法で1日1回14日間、午前7時あるいは午後6時に経口投与したところ、血漿中ロスバスタチン濃度推移は両投与時間で同様であり、ロスバスタチンの体内動態は投与時間の影響を受けないと考えられた11)

  4. 16.1.4 生物学的同等性試験
    • 〈ロスバスタチン錠5mg「ケミファ」〉

      ロスバスタチン錠5mg「ケミファ」とクレストール錠5mgを、クロスオーバー法によりそれぞれ1錠(ロスバスタチンとして5mg)健康成人男性に絶食単回経口投与して血漿中未変化体濃度を測定し、得られた薬物動態パラメータ(AUC、Cmax)について90%信頼区間法にて統計解析を行った結果、log(0.80)~log(1.25)の範囲内であり、両剤の生物学的同等性が確認された12)

      判定パラメータ

      参考パラメータ

      AUC0-72h
      (ng・h/mL)

      Cmax
      (ng/mL)

      Tmax
      (h)

      t1/2
      (h)

      ロスバスタチン錠
      5mg「ケミファ」

      60.958
      ±17.007

      6.2358
      ±2.1834

      3.9
      ±1.1

      6.85
      ±3.09

      クレストール錠5mg

      55.705
      ±17.985

      5.8899
      ±2.4300

      4.0
      ±1.0

      5.99
      ±2.98

      平均値±標準偏差、n=24

    • 〈ロスバスタチンOD錠5mg「ケミファ」〉

      ロスバスタチンOD錠5mg「ケミファ」とクレストール錠5mgを、クロスオーバー法によりそれぞれ1錠(ロスバスタチンとして5mg)健康成人男性に絶食単回経口投与(水で服用及び水なしで服用)して血漿中未変化体濃度を測定し、得られた薬物動態パラメータ(AUC、Cmax)について90%信頼区間法にて統計解析を行った結果、log(0.80)~log(1.25)の範囲内であり、両剤の生物学的同等性が確認された12)

      1. (1) 水で服用

        判定パラメータ

        参考パラメータ

        AUC0-72h
        (ng・h/mL)

        Cmax
        (ng/mL)

        Tmax
        (h)

        t1/2
        (h)

        ロスバスタチン
        OD錠5mg「ケミファ」

        72.76±26.81

        6.39±2.34

        4.60±0.99

        16.20±10.18

        クレストール錠5mg

        69.42±25.73

        6.26±2.51

        4.10±1.12

        14.22±3.84

        平均値±標準偏差、n=20

      2. (2) 水なしで服用(クレストール錠5mgは水で服用)

        判定パラメータ

        参考パラメータ

        AUC0-72h
        (ng・h/mL)

        Cmax
        (ng/mL)

        Tmax
        (h)

        t1/2
        (h)

        ロスバスタチン
        OD錠5mg「ケミファ」

        81.56±17.09

        7.28±1.78

        4.35±1.09

        14.37±2.85

        クレストール錠5mg

        75.31±23.25

        6.87±2.23

        4.40±1.23

        18.22±6.46

        平均値±標準偏差、n=20

        血漿中濃度並びにAUC、Cmax等のパラメータは、被験者の選択、体液の採取回数・時間等の試験条件によって異なる可能性がある。

16.2 吸収

  1. 16.2.1 生物学的利用率

    健康成人男性10例におけるロスバスタチンの生物学的利用率は29.0%(90%信頼区間:24.1~34.9)であった13)。また、静脈内投与して得られたロスバスタチンの全身クリアランス及び腎クリアランスはそれぞれ31.9及び11.6L/hであり、ロスバスタチンは主に肝臓による消失を受けると考えられた。

  2. 16.2.2 食事の影響

    外国人健康成人20例にロスバスタチンカルシウム10mgをクロスオーバー法で1日1回14日間、空腹時(食後3時間)あるいは食後に経口投与した14)。食後投与したときのロスバスタチンの吸収は空腹時に比べて緩やかであり、Cmaxは食事によって20%低下した。しかし、食後投与時のAUC0-24hは空腹時投与の94%であり、ロスバスタチンの吸収量への食事の影響はないと考えられた。

16.3 分布

ヒト血漿中におけるロスバスタチンの蛋白結合率は89.0%(日本人)~88.0%(外国人)であり、主結合蛋白はアルブミンであった15)

16.4 代謝

外国人健康成人男性6例に14C-ロスバスタチンカルシウム20mgを単回経口投与したところ、尿及び糞中に存在する放射能の主成分は未変化体であり、尿糞中の主な代謝物は、N-脱メチル体及び5S-ラクトン体であった16)
ヒト血漿中にはN-脱メチル体及び5S-ラクトン体が検出されたが、HMG-CoA還元酵素阻害活性体濃度はロスバスタチン濃度と同様の推移を示し、血漿中におけるHMG-CoA還元酵素阻害活性に対する代謝物の寄与はわずかであると考えられた(外国人データ)17)

16.5 排泄

外国人健康成人男性6例に14C-ロスバスタチンカルシウム20mgを単回経口投与したところ、放射能は主に糞中に排泄され(90.2%)、尿中放射能排泄率は10.4%であった。また、尿及び糞中への未変化体排泄率は、それぞれ投与量の4.9%及び76.8%であった16)

16.6 特定の背景を有する患者

  1. 16.6.1 性差及び加齢の影響

    外国人の男性若年者、男性高齢者、女性若年者及び女性高齢者各8例にロスバスタチンカルシウム40mg(承認外用量)を単回経口投与したところ、男性のCmax及びAUC0-tはそれぞれ女性の82%及び91%であった18)。また、若年者のCmax及びAUC0-tはそれぞれ高齢者の112%及び106%であり、臨床上問題となる性差や加齢の影響はないと考えられた。

  2. 16.6.2 肝障害の影響

    Child-Pugh A(スコア:5~6)あるいはChild-Pugh B(スコア:7~9)の肝障害を有する外国人患者各6例にロスバスタチンカルシウム10mgを1日1回14日間反復経口投与し、血漿中ロスバスタチン濃度を測定した19)。肝障害患者のCmax及びAUC0-24hは健康成人群のそれぞれ1.5~2.1倍及び1.05~1.2倍であり、特に、Child-Pughスコアが8~9の患者2例における血漿中濃度は、他に比べて高かった。,

  3. 16.6.3 腎障害の影響

    重症度の異なる腎障害を有する外国人患者(4~8例)にロスバスタチンカルシウム20mgを1日1回14日間反復経口投与し、血漿中ロスバスタチン濃度を測定した20)。軽度から中等度の腎障害のある患者では、ロスバスタチンの血漿中濃度に対する影響はほとんど認められなかった。しかし、重度(クレアチニンクリアランス<30mL/min/1.73m2)の腎障害のある患者では、健康成人に比べて血漿中濃度が約3倍に上昇した。,

16.7 薬物相互作用

  1. 16.7.1 制酸剤

    制酸剤を同時併用投与した場合、ロスバスタチンのCmax及びAUC0-24hはそれぞれ50%及び46%まで低下したが、ロスバスタチン投与後2時間に制酸剤を投与した場合には、ロスバスタチンのCmax及びAUC0-24hはそれぞれ非併用時の84%及び78%であった(外国人データ)21)

  2. 16.7.2 シクロスポリン

    シクロスポリンを投与されている心臓移植患者にロスバスタチンを併用投与したとき、ロスバスタチンのCmax及びAUC0-24hは、健康成人に単独で反復投与したときに比べてそれぞれ10.6倍及び7.1倍上昇した(外国人データ)22)。ロスバスタチンはOATP1B1を介して肝臓に取り込まれ、シクロスポリンはその取り込みを阻害することによって、ロスバスタチンの血漿中濃度を増加させると考えられている。,

  3. 16.7.3 ゲムフィブロジル

    ゲムフィブロジル(本邦未承認)と併用投与したとき、ロスバスタチンのCmax及びAUC0-tはそれぞれ2.21倍及び1.88倍に増加した(外国人データ)23)。ロスバスタチンはOATP1B1を介して肝臓に取り込まれ、ゲムフィブロジルはその取り込みを阻害することによって、ロスバスタチンの血漿中濃度を増加させると考えられている。

  4. 16.7.4 その他の薬剤

    ロスバスタチンの体内動態に及ぼすP450阻害剤の影響を検討するために、フルコナゾール24)(CYP2C9及びCYP2C19の阻害剤)、ケトコナゾール25)、イトラコナゾール26)及びエリスロマイシン27)(以上CYP3A4及びP糖蛋白の阻害剤)との併用試験を実施したが、明らかな相互作用は認められなかった(外国人データ)。
    ワルファリン28)(CYP2C9及びCYP3A4の基質)あるいはジゴキシン29)の体内動態に及ぼす影響を検討したが、薬物動態学的相互作用は認められなかった(外国人データ)。
    CYP3A4誘導作用の有無を検討するために、経口避妊薬との併用試験を実施したが、エチニルエストラジオールの血漿中濃度に減少はみられず、ロスバスタチンはCYP3A4に対する誘導作用を示さないと考えられた(外国人データ)30)

  5. 16.7.5 in vitro試験

    ヒト遊離肝細胞を用いるin vitro試験においてN-脱メチル体が生成したが、その代謝速度は非常に緩徐であった。また、N-脱メチル化に関与する主なP450分子種はCYP2C9及びCYP2C19であったが、CYP2D6やCYP3A4が関与する可能性も示唆された31),32)

    ロスバスタチン(50µg/mL)によるP450(CYP1A2、CYP2C9、CYP2C19、CYP2D6、CYP2E1及びCYP3A4)活性の阻害率は10%以下であった31)

16.8 その他

  • 〈ロスバスタチン錠2.5mg「ケミファ」〉

    ロスバスタチン錠2.5mg「ケミファ」は、「含量が異なる経口固形製剤の生物学的同等性試験ガイドライン」に基づき、ロスバスタチン錠5mg「ケミファ」を標準製剤としたとき、溶出挙動が同等と判断され、生物学的に同等とみなされた12)

  • 〈ロスバスタチンOD錠2.5mg「ケミファ」〉

    ロスバスタチンOD錠2.5mg「ケミファ」は、「含量が異なる経口固形製剤の生物学的同等性試験ガイドライン」に基づき、ロスバスタチンOD錠5mg「ケミファ」を標準製剤としたとき、溶出挙動が同等と判断され、生物学的に同等とみなされた12)

17. 臨床成績

17.1 有効性及び安全性に関する試験

  • 〈高コレステロール血症〉
    1. 17.1.1 海外第III相用量反応試験33),34)

      高コレステロール血症患者を対象として二重盲検法により実施された試験において、ロスバスタチン(5~80mg)又はアトルバスタチン(10~80mg)を1日1回6週間投与した結果、ロスバスタチンは、LDL-コレステロール、総コレステロール、トリグリセリドには低下効果を、HDL-コレステロールには増加効果を示した。また、アポ蛋白B、非HDL-コレステロールを低下させ、アポ蛋白A-Iを増加させた。更に、LDL-コレステロール/HDL-コレステロール比、総コレステロール/HDL-コレステロール比、非HDL-コレステロール/HDL-コレステロール比、アポ蛋白B/アポ蛋白A-I比を低下させた。
      ロスバスタチンの薬効は、投与後1週間以内にあらわれ、通常2週間までに最大効果の90%となった。最大効果は通常4週間までにあらわれ、その後持続した。

      副作用発現頻度は、ロスバスタチン5mg投与群で10.5%(4/38例)、10mg投与群では15.6%(7/45例)、及び20mg投与群で17.9%(7/39例)であった。いずれの投与群でも、3例以上発現した副作用はなかった。

    2. 17.1.2 国内第II相試験35)

      二重盲検法により実施された試験において、ロスバスタチン2.5~20mgを1日1回6週間投与した際の血清脂質値の平均変化率は表1のとおりであった。

      表1 血清脂質値の平均変化率(高コレステロール血症患者対象試験)

      投与量

      2.5mg

      (n=17)

      5mg

      (n=12)

      10mg

      (n=14)

      20mg

      (n=18)

      LDL-コレステロール(%)

      - 44.99

      - 52.49

      - 49.60

      - 58.32

      総コレステロール(%)

      - 31.59

      - 36.40

      - 34.60

      - 39.58

      トリグリセリド(%)

      - 17.35

      - 23.58

      - 19.59

      - 17.01

      HDL-コレステロール(%)

      7.64

      9.09

      14.04

      11.25

      アポ蛋白B(%)

      - 38.56

      - 45.93

      - 43.97

      - 50.38

      アポ蛋白A-I(%)

      5.42

      6.25

      10.61

      9.72

      アポ蛋白A-II(%)

      0.38

      4.27

      7.78

      7.73

      副作用発現頻度は、ロスバスタチン2.5mg投与群で38.9%(7/18例)、5mg投与群で20.0%(3/15例)、10mg投与群で13.3%(2/15例)、及び20mg投与群で47.4%(9/19例)であった。計67例において3例以上認められた副作用は、腹痛、CK上昇及びγ-GTP上昇(各3例)であった。

    3. 17.1.3 海外第III相試験36)

      二重盲検法により実施された3試験の集積データをまとめた。ロスバスタチン5mg又は10mgを1日1回12週間投与した際の血清脂質の平均変化率は表2のとおりであり、高コレステロール血症患者の脂質レベルを総合的に改善することが認められた。

      表2 血清脂質値の平均変化率(外国人高コレステロール血症患者対象試験)

      投与量

      5mg(n=390)

      10mg(n=389)

      LDL-コレステロール(%)

      - 41.9

      - 46.7

      総コレステロール(%)

      - 29.6

      - 33.0

      トリグリセリド(%)

      - 16.4

      - 19.2

      HDL-コレステロール(%)

      8.2

      8.9

      非HDL-コレステロール(%)

      - 38.2

      - 42.6

      アポ蛋白B(%)

      - 32.7

      - 36.5

      アポ蛋白A-I(%)

      6.0

      7.3

    4. 17.1.4 海外第III相長期投与試験37),38)

      高コレステロール血症患者を対象として二重盲検法により実施された試験において、ロスバスタチン5mg又は10mgから投与を開始し、LDL-コレステロール値がNCEP IIガイドラインの目標値に達するまで増量した。52週時において初回投与量の5mg又は10mgの継続投与を受けていた症例の割合は、それぞれ76%(92/121例)及び82%(88/107例)であった。

      副作用の発現率はロスバスタチン5mg群で29.4%(40/136例)、ロスバスタチン10mg群で26.5%(35/132例)であった。いずれかの投与群で3例以上発現した副作用は下痢、消化不良、鼓腸、筋痛、不眠症、発疹、腹痛及び無力症であった。

  • 〈家族性高コレステロール血症〉
    1. 17.1.5 国内第II相長期投与試験39),40)

      家族性高コレステロール血症へテロ接合体患者にロスバスタチン10mgから投与を開始し、6週間隔で強制増量した。そのときの血清脂質値の平均変化率は表3のとおりであった。

      表3 血清脂質値の平均変化率
      (家族性高コレステロール血症患者対象試験)

      投与量

      10mg(n=37)

      20mg(n=37)

      LDL-コレステロール(%)

      - 49.17

      - 53.91

      総コレステロール(%)

      - 39.4

      - 43.3

      トリグリセリド(%)

      - 18.2

      - 23.6

      HDL-コレステロール(%)

      9.6

      13.8

      3例以上に認められた副作用はCK上昇(3/37例、8.1%)であった。

18. 薬効薬理

18.1 作用機序

ロスバスタチンカルシウムは、肝臓内に能動的に取り込まれ、肝臓でのコレステロール生合成系の律速酵素であるHMG-CoA還元酵素を選択的かつ競合的に阻害し、コレステロール生合成を強力に抑制する。その結果、肝臓内のコレステロール含量が低下し、これを補うためLDL受容体の発現が誘導される。このLDL受容体を介して、コレステロール含有率の高いリポ蛋白であるLDLの肝臓への取り込みが増加し、血中コレステロールが低下する。ロスバスタチンは、肝臓では主として能動輸送系を介して取り込まれ41),42)、脂質親和性が比較的低いため、能動輸送系を持たない他の臓器には取り込まれにくく、肝特異的なHMG-CoA還元酵素阻害剤であると考えられる。

  1. 18.1.1 HMG-CoA還元酵素阻害作用

    ロスバスタチンカルシウムは、ラット及びヒト肝ミクロソーム由来のHMG-CoA還元酵素及びヒトHMG-CoA還元酵素の触媒ドメインに対して阻害作用を示した(in vitro43)

  2. 18.1.2 肝コレステロール合成阻害作用

    ロスバスタチンカルシウムは、ラット肝細胞のコレステロール合成を用量依存的に阻害した。また、その阻害作用は、他のHMG-CoA還元酵素阻害剤に比べて長期間持続した43)

  3. 18.1.3 LDL受容体誘導作用

    ロスバスタチンカルシウムは、ヒト肝癌由来HepG2細胞のLDL受容体mRNAの発現を濃度依存的に誘導し、また、LDL結合活性を増加させた(in vitro44)

18.2 血中コレステロール低下作用

ロスバスタチンカルシウムは、イヌ45)、カニクイザル46)、WHHLウサギ(ヒト家族性高コレステロール血症のモデル動物)47)において血清総コレステロールを、また、アポ蛋白E*3Leidenトランスジェニックマウス(高VLDL血症モデル動物)48)及びヒトアポ蛋白B/CETP(コレステロールエステル転送蛋白)トランスジェニックマウス(ヒトのコレステロール代謝に類似した脂質代謝環境を有するモデル動物)49)においては血漿中コレステロールを有意に低下させた。イヌにおいては、HMG-CoA還元酵素の反応産物であるメバロン酸の血中濃度を用量依存的に低下させた45)

18.3 動脈硬化進展抑制作用

ロスバスタチンカルシウムは、WHHLウサギにおいて、大動脈の脂質沈着面積、コレステロール含量の低下をもたらし、動脈硬化病変の進展を抑制した47)

18.4 トリグリセリド低下作用

ロスバスタチンカルシウムは、アポ蛋白E*3Leidenトランスジェニックマウス及びヒトアポ蛋白B/CETPトランスジェニックマウスの血漿中トリグリセリドを低下させた48),49)

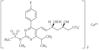
19. 有効成分に関する理化学的知見

一般的名称

ロスバスタチンカルシウム
(Rosuvastatin Calcium)

化学名

Monocalcium bis[(3R,5S,6E)-7-{4-(4-fluorophenyl)-6-(1-methylethyl)-2-[methyl(methylsulfonyl)amino]pyrimidin-5-yl}-3,5-dihydroxyhept-6-enoate]

分子式

(C22H27FN3O6S)2Ca

分子量

1001.14

性状

本品は白色の粉末である。
本品はアセトニトリルに溶けやすく、メタノールにやや溶けやすく、水又はエタノール(99.5)に溶けにくい。
本品は吸湿性である。

化学構造式

20. 取扱い上の注意

  • 〈錠〉
    1. 20.1 開封後は湿気を避けて保存すること。
  • 〈OD錠〉
    1. 20.2 開封後は湿気を避けて遮光して保存すること。

22. 包装

  • 〈ロスバスタチン錠2.5mg「ケミファ」〉

    100錠[10錠(PTP)×10]
    500錠[10錠(PTP)×50]
    500錠[ポリエチレンビン、バラ、乾燥剤入り]

  • 〈ロスバスタチン錠5mg「ケミファ」〉

    100錠[10錠(PTP)×10]

  • 〈ロスバスタチンOD錠2.5mg「ケミファ」〉

    100錠[10錠(PTP)×10]
    500錠[10錠(PTP)×50]
    500錠[ポリエチレンビン、バラ、乾燥剤入り]

  • 〈ロスバスタチンOD錠5mg「ケミファ」〉

    100錠[10錠(PTP)×10]

23. 主要文献

1) *Lehtisalo M, et al. Br J Clin Pharmacol. 2023;89(7):2309-15

2) Zurth C, et al. Eur J Drug Metab Pharmacokinet. 2019;44(6):747-59

3) **Schueller O, et al. J Clin Pharmacol. 2025;65(8):1026-38

4) **Ho Y, et al. Clin Transl Sci. 2024;17(4):e13799

5) 単回投与後の血漿中濃度(クレストール錠:2005年1月19日承認、申請資料概要へ3.3.1.2)

6) Martin PD, et al. Clin Ther. 2003;25(8):2215-24

7) 反復投与後の血漿中濃度 (クレストール錠:2005年1月19日承認、申請資料概要へ3.4)

8) 関野久邦他. 臨床医薬. 2005;21(2):187-203

9) 患者における血漿中濃度(クレストール錠:2005年1月19日承認、申請資料概要へ3.6)

10) 患者における反復投与時の血漿中濃度(クレストール錠:2005年1月19日承認、申請資料概要へ3.7.8)

11) Martin PD, et al. Br J Clin Pharmacol. 2002;54(5):472-7

12) 日本ケミファ株式会社:生物学的同等性に関する資料(社内資料)

13) 生物学的利用率(クレストール錠:2005年1月19日承認、申請資料概要へ3.5)

14) 食事の影響(クレストール錠:2005年1月19日承認、申請資料概要へ3.7.5)

15) 蛋白結合率(クレストール錠:2005年1月19日承認、申請資料概要へ2.2.5)

16) 尿糞中排泄率(クレストール錠:2005年1月19日承認、申請資料概要へ3.7.9.5)

17) HMG-CoA還元酵素阻害活性体の血漿中濃度(クレストール錠:2005年1月19日承認、申請資料概要へ3.7.9.4)

18) Martin PD, et al. J Clin Pharmacol. 2002;42(10):1116-21

19) Simonson SG, et al. Eur J Clin Pharmacol. 2003;58(10):669-75

20) 腎障害の影響(クレストール錠:2005年1月19日承認、申請資料概要へ3.7.11)

21) 薬物相互作用−制酸剤(クレストール錠:2005年1月19日承認、申請資料概要へ3.7.12.2(f))

22) Simonson SG, et al. Clin Pharmacol Ther. 2004;76(2):167-77

23) Schneck DW, et al. Clin Pharmacol Ther. 2004;75(5):455-63

24) Cooper KJ, et al. Eur J Clin Pharmacol. 2002;58(8):527-31

25) Cooper KJ, et al. Br J Clin Pharmacol. 2003;55(1):94-9

26) Cooper KJ, et al. Clin Pharmacol Ther. 2003;73(4):322-9

27) Cooper KJ, et al. Eur J Clin Pharmacol. 2003;59(1):51-6

28) Simonson SG, et al. J Clin Pharmacol. 2005;45(8):927-34

29) Martin PD, et al. J Clin Pharmacol. 2002;42(12):1352-7

30) Simonson SG, et al. Br J Clin Pharmacol. 2004;57(3):279-86

31) McCormick AD, et al. J Clin Pharmacol. 2000;40:1055

32) ロスバスタチンのin vitro代謝(クレストール錠:2005年1月19日承認、申請資料概要へ3.7.9.1)

33) Schneck DW, et al. Am J Cardiol. 2003;91(1):33-41

34) アトルバスタチンとの用量反応比較試験(クレストール錠:2005年1月19日承認、申請資料概要ト1.3.2)

35) 日本人高コレステロール血症患者における有効性(クレストール錠:2005年1月19日承認、申請資料概要ト1.2.3)

36) 外国人高コレステロール血症患者における有効性(クレストール錠:2005年1月19日承認、申請資料概要ト2.1.2.1)

37) 外国人高コレステロール血症患者の長期投与における有効性(クレストール錠:2005年1月19日承認、申請資料概要ト1.5.2)

38) Olsson AG, et al. Am Heart J. 2002;144(6):1044-51

39) Mabuchi H, et al. J Atheroscler Thromb. 2004;11(3):152-8

40) ヘテロ接合体性FH患者における日本の増量、長期投与試験(クレストール錠:2005年1月19日承認、申請資料概要ト1.4.2)

41) Nezasa K, et al. Xenobiotica. 2003;33(4):379-88

42) 作用機序のまとめ(クレストール錠:2005年1月19日承認、申請資料概要ホ1.2.8)

43) McTaggart F, et al. Am J Cardiol. 2001;87(5A):28B-32B

44) LDL受容体に対する作用(クレストール錠:2005年1月19日承認、申請資料概要ホ1.2.3)

45) イヌの血中脂質に対する作用(クレストール錠:2005年1月19日承認、申請資料概要ホ1.1.1)

46) カニクイザルの血清コレステロール及びリポ蛋白コレステロールに対する作用(クレストール錠:2005年1月19日承認、申請資料概要ホ1.1.2)

47) WHHLウサギの血清コレステロール及び動脈硬化病変に対する作用(クレストール錠:2005年1月19日承認、申請資料概要ホ1.1.3)

48) アポ蛋白E3Leidenトランスジェニックマウスに対する作用(クレストール錠:2005年1月19日承認、申請資料概要ホ1.1.4)

49) ヒトアポ蛋白B/CETPトランスジェニックマウスに対する作用(クレストール錠:2005年1月19日承認、申請資料概要ホ1.1.5)

24. 文献請求先及び問い合わせ先

日本ケミファ株式会社 安全管理部

〒101-0032 東京都千代田区岩本町2丁目2番3号

TEL 0120-47-9321 03-3863-1225
FAX 03-3861-9567

26. 製造販売業者等

26.1 製造販売元

日本ケミファ株式会社

東京都千代田区岩本町2丁目2-3

〒100-0013 東京都千代田区霞が関3-3-2 新霞が関ビル

画面を閉じる

Copyright © Pharmaceuticals and Medical Devices Agency, All Rights reserved.