医療用医薬品 詳細表示

バラシクロビル錠500mg「ケミファ」

処方せん医薬品

添付文書番号
企業コード
作成又は改訂年月
日本標準商品分類番号
薬効分類名
承認等
一般的名称
2.禁忌(次の患者には投与しないこと)
3.組成・性状
3.1組成
3.2製剤の性状
4.効能又は効果
5.効能又は効果に関連する注意
6.用法及び用量
7.用法及び用量に関連する注意
8.重要な基本的注意
9.特定の背景を有する患者に関する注意
9.1合併症・既往歴等のある患者
9.2腎機能障害患者
9.3肝機能障害患者
9.5妊婦
9.6授乳婦
9.7小児等
9.8高齢者
10.相互作用
10.2併用注意(併用に注意すること)
11.副作用
11.1重大な副作用
11.2その他の副作用
13.過量投与
14.適用上の注意
15.その他の注意
15.1臨床使用に基づく情報
15.2非臨床試験に基づく情報
16.薬物動態
16.1血中濃度
16.2吸収
16.3分布
16.4代謝
16.5排泄
16.6特定の背景を有する患者
16.7薬物相互作用
17.臨床成績
17.1有効性及び安全性に関する試験
17.2製造販売後調査等
17.3その他
18.薬効薬理
18.1作用機序
18.2抗ウイルス作用
19.有効成分に関する理化学的知見
22.包装
23.主要文献
24.文献請求先及び問い合わせ先
26.製造販売業者等

バラシクロビル錠500mg「ケミファ」

添付文書番号

6250019F1217_2_06

企業コード

530213

作成又は改訂年月

2024年3月改訂(第1版)

日本標準商品分類番号

87625

薬効分類名

抗ウイルス化学療法剤

承認等

バラシクロビル錠500mg「ケミファ」

販売名コード

YJコード

6250019F1217

販売名英語表記

Valaciclovir Tablets 500mg“Chemiphar”

販売名ひらがな

ばらしくろびるじょう500mg「けみふぁ」

承認番号等

承認番号

22500AMX01656000

販売開始年月

2013年12月

貯法・有効期間

貯法

室温保存

有効期間

3年

基準名

日本薬局方

バラシクロビル塩酸塩錠

一般的名称

バラシクロビル塩酸塩

2. 禁忌(次の患者には投与しないこと)

本剤の成分あるいはアシクロビルに対し過敏症の既往歴のある患者

3. 組成・性状

3.1 組成

バラシクロビル錠500mg「ケミファ」

添加剤結晶セルロース、クロスポビドン、ポビドン、ステアリン酸マグネシウム、ヒプロメロース、酸化チタン、マクロゴール400、ポリソルベート80、カルナウバロウ
有効成分
(1錠中)
  (日局)バラシクロビル塩酸塩556.21mg
(バラシクロビルとして500.00mg)

3.2 製剤の性状

バラシクロビル錠500mg「ケミファ」

性状白色~微黄白色のフィルムコーティング錠
外形
側面
長径18.5mm
短径7.5mm
厚さ6.2mm
重量700mg
識別コードバラシクロビル 500ケミファ

4. 効能又は効果

  • 単純疱疹
  • 造血幹細胞移植における単純ヘルペスウイルス感染症(単純疱疹)の発症抑制
  • 帯状疱疹
  • 水痘
  • 性器ヘルペスの再発抑制

5. 効能又は効果に関連する注意

  • 〈性器ヘルペスの再発抑制〉
    1. 5.1 本剤の投与により、セックスパートナーへの感染を抑制することが認められている。ただし、本剤投与中もセックスパートナーへの感染リスクがあるため、コンドームの使用等が推奨される。
    2. 5.2 性器ヘルペスの発症を繰り返す患者(免疫正常患者においては、おおむね年6回以上の頻度で再発する者)に対して投与すること。,

6. 用法及び用量

  • [成人]
  • 〈単純疱疹〉

    通常、成人にはバラシクロビルとして1回500mgを1日2回経口投与する。

  • 〈造血幹細胞移植における単純ヘルペスウイルス感染症(単純疱疹)の発症抑制〉

    通常、成人にはバラシクロビルとして1回500mgを1日2回造血幹細胞移植施行7日前より施行後35日まで経口投与する。

  • 〈帯状疱疹〉

    通常、成人にはバラシクロビルとして1回1000mgを1日3回経口投与する。

  • 〈水痘〉

    通常、成人にはバラシクロビルとして1回1000mgを1日3回経口投与する。

  • 〈性器ヘルペスの再発抑制〉

    通常、成人にはバラシクロビルとして1回500mgを1日1回経口投与する。なお、HIV感染症の患者(CD4リンパ球数100/mm3以上)にはバラシクロビルとして1回500mgを1日2回経口投与する。

  • [小児]
  • 〈単純疱疹〉

    通常、体重40kg以上の小児にはバラシクロビルとして1回500mgを1日2回経口投与する。

  • 〈造血幹細胞移植における単純ヘルペスウイルス感染症(単純疱疹)の発症抑制〉

    通常、体重40kg以上の小児にはバラシクロビルとして1回500mgを1日2回造血幹細胞移植施行7日前より施行後35日まで経口投与する。

  • 〈帯状疱疹〉

    通常、体重40kg以上の小児にはバラシクロビルとして1回1000mgを1日3回経口投与する。

  • 〈水痘〉

    通常、体重40kg以上の小児にはバラシクロビルとして1回1000mgを1日3回経口投与する。

  • 〈性器ヘルペスの再発抑制〉

    通常、体重40kg以上の小児にはバラシクロビルとして1回500mgを1日1回経口投与する。なお、HIV感染症の患者(CD4リンパ球数100/mm3以上)にはバラシクロビルとして1回500mgを1日2回経口投与する。

7. 用法及び用量に関連する注意

  • 〈効能共通〉
    1. 7.1 本剤の投与は、発病初期に近いほど効果が期待できるので、早期に投与を開始することが望ましい。
    2. 7.2 腎障害を有する成人患者におけるクレアチニンクリアランスに応じた本剤の投与間隔及び投与量の目安は下表のとおりである。また、血液透析を受けている患者に対しては、患者の腎機能、体重又は臨床症状に応じ、クレアチニンクリアランス10mL/min未満の目安よりさらに減量(250mgを24時間毎 等)することを考慮すること。また、血液透析日には透析後に投与すること。なお、腎障害を有する小児患者における本剤の投与間隔及び投与量調節の目安は確立していない。,,,,,

      クレアチニンクリアランス(mL/min)

      ≧50

      30~49

      10~29

      <10

      単純疱疹
      造血幹細胞移植における単純ヘルペスウイルス感染症(単純疱疹)の発症抑制

      500mgを12時間毎

      500mgを12時間毎

      500mgを24時間毎

      500mgを24時間毎

      帯状疱疹
      水痘

      1000mgを8時間毎

      1000mgを12時間毎

      1000mgを24時間毎

      500mgを24時間毎

      性器ヘルペスの再発抑制

      500mgを24時間毎
      なお、HIV感染症の患者(CD4リンパ球数100/mm3以上)には、500mgを12時間毎

      500mgを24時間毎
      なお、HIV感染症の患者(CD4リンパ球数100/mm3以上)には、500mgを12時間毎

      250mgを24時間毎
      なお、HIV感染症の患者(CD4リンパ球数100/mm3以上)には、500mgを24時間毎

      250mgを24時間毎
      なお、HIV感染症の患者(CD4リンパ球数100/mm3以上)には、500mgを24時間毎

  • 〈単純疱疹〉
    1. 7.3 本剤を5日間使用し、改善の兆しが見られないか、あるいは悪化する場合には、他の治療に切り替えること。ただし、初発型性器ヘルペスは重症化する場合があるため、本剤を10日間まで使用可能とする。
  • 〈帯状疱疹〉
    1. 7.4 目安として、皮疹出現後5日以内に投与を開始することが望ましい。
    2. 7.5 本剤を7日間使用し、改善の兆しが見られないか、あるいは悪化する場合には、他の治療に切り替えること。
  • 〈水痘〉
    1. 7.6 目安として、皮疹出現後2日以内に投与を開始することが望ましい。
    2. 7.7 成人においては本剤を5~7日間、小児においては本剤を5日間使用し、改善の兆しが見られないか、あるいは悪化する場合には、他の治療に切り替えること。
  • 〈性器ヘルペスの再発抑制〉
    1. 7.8 免疫正常患者において、性器ヘルペスの再発抑制に本剤を使用している際に再発が認められた場合には、1回500mg1日1回投与(性器ヘルペスの再発抑制に対する用法及び用量)から1回500mg1日2回投与(単純疱疹の治療に対する用法及び用量)に変更すること。治癒後は必要に応じ1回500mg1日1回投与(性器ヘルペスの再発抑制に対する用法及び用量)の再開を考慮すること。また、再発抑制に対して本剤を投与しているにもかかわらず頻回に再発を繰り返すような患者に対しては、症状に応じて1回250mg1日2回又は1回1000mg1日1回投与に変更することを考慮すること。,
    2. 7.9 本剤を1年間投与後、投与継続の必要性について検討することが推奨される。,

8. 重要な基本的注意

  • 〈効能共通〉
    1. 8.1 各効能又は効果に対し設定された用法及び用量で投与した場合、本剤投与時のアシクロビル曝露は、アシクロビル経口製剤投与時よりも高いことから、副作用の発現に留意すること。
    2. 8.2 意識障害等があらわれることがあるので、自動車の運転等、危険を伴う機械の操作に従事する際には注意するよう患者に十分に説明すること。なお、腎機能障害患者では、特に意識障害等があらわれやすいので、患者の状態によっては従事させないよう注意すること。,
  • 〈水痘〉
    1. 8.3 治療上の有益性と危険性を勘案して投与すること。本剤の使用経験は少ない。

9. 特定の背景を有する患者に関する注意

9.1 合併症・既往歴等のある患者

  1. 9.1.1 免疫機能の低下した患者

    水痘の治療において、悪性腫瘍、自己免疫性疾患などの免疫機能の低下した患者に対する有効性及び安全性は確立していない。本剤の使用経験がない。

  2. 9.1.2 脱水症状をおこしやすいと考えられる患者(腎障害のある患者又は腎機能が低下している患者、高齢者、水痘患者等)

    適切な水分補給を行うこと。,

9.2 腎機能障害患者

  1. 9.2.1 腎障害のある患者、腎機能が低下している患者

    投与間隔及び投与量を調節し、患者の状態を観察しながら慎重に投与すること。本剤の活性代謝物であるアシクロビルの曝露量が増加した場合には、精神神経症状や腎機能障害が発現する危険性が高い。適切な減量投与が行われなかったために過量投与の状態となった腎障害患者において、精神神経症状や腎機能障害が発現した症例が報告されている。,,,,,,

9.3 肝機能障害患者

  1. 9.3.1 肝障害のある患者

    肝障害のある患者を対象とした臨床試験は実施していない。

9.5 妊婦

妊婦又は妊娠している可能性のある女性には、治療上の有益性が危険性を上回ると判断される場合にのみ投与すること。
活性代謝物のアシクロビルにおいて、動物実験(ラット)の妊娠10日目に、母動物に腎障害のあらわれる大量(200mg/kg/day以上)を皮下投与した実験では、胎児に頭部及び尾の異常が認められたと報告されている1)

9.6 授乳婦

治療上の有益性及び母乳栄養の有益性を考慮し、授乳の継続又は中止を検討すること。本剤投与後、活性代謝物のアシクロビルがヒト乳汁中へ移行することが報告されている。

9.7 小児等

  1. 9.7.1 動物実験(ラット)でバラシクロビルを経口投与したときの活性代謝物であるアシクロビルの曝露量は、成熟動物に比べて幼若動物で大きいことが報告されている。
  2. 9.7.2 低出生体重児、新生児又は乳児を対象とした臨床試験は実施していない。

9.8 高齢者

投与間隔及び投与量を調節し、患者の状態を観察しながら慎重に投与すること。本剤は、活性代謝物のアシクロビルに変換された後、主として腎臓から排泄されるが、高齢者では腎機能が低下していることが多いため血中アシクロビル濃度が高濃度で持続し、精神神経症状や腎機能障害が発現する危険性が高い。適切な減量投与が行われなかったために過量投与の状態となった高齢者において、精神神経症状や腎機能障害が発現した症例が報告されている。,,,,,

10. 相互作用

  • 活性代謝物のアシクロビルは、OAT1、MATE1及びMATE2-Kの基質である。

10.2 併用注意(併用に注意すること)

薬剤名等臨床症状・措置方法機序・危険因子

プロベネシド

本剤の活性代謝物のアシクロビルの排泄が抑制され、アシクロビルの平均血漿中濃度曲線下面積(AUC)が48%増加するとの報告がある2)。特に腎機能低下の可能性がある患者(高齢者等)には慎重に投与すること。

プロベネシドは尿細管分泌に関わるOAT1及びMATE1を阻害するため、活性代謝物のアシクロビルの腎排泄が抑制されると考えられる。

シメチジン

本剤の活性代謝物のアシクロビルの排泄が抑制され、アシクロビルのAUCが27%増加するとの報告がある2)。特に腎機能低下の可能性がある患者(高齢者等)には慎重に投与すること。

シメチジンは尿細管分泌に関わるOAT1、MATE1及びMATE2-Kを阻害するため、活性代謝物のアシクロビルの腎排泄が抑制されると考えられる。

ミコフェノール酸 モフェチル

本剤の活性代謝物のアシクロビルとの併用により、アシクロビル及びミコフェノール酸 モフェチル代謝物の排泄が抑制され、両方のAUCが増加するとの報告がある3)。特に腎機能低下の可能性がある患者(高齢者等)には慎重に投与すること。

活性代謝物のアシクロビルとミコフェノール酸 モフェチル代謝物が尿細管分泌で競合すると考えられる。

テオフィリン

本剤の活性代謝物のアシクロビルとの併用により、テオフィリンの中毒症状があらわれることがある4)

機序は不明であるが、本剤の活性代謝物のアシクロビルがテオフィリンの代謝を阻害するためテオフィリンの血中濃度が上昇することが考えられる。

11. 副作用

次の副作用があらわれることがあるので、観察を十分に行い、異常が認められた場合には投与を中止するなど適切な処置を行うこと。

11.1 重大な副作用

  1. 11.1.1 アナフィラキシーショック、アナフィラキシー(いずれも頻度不明)

    アナフィラキシーショック、アナフィラキシー(呼吸困難、血管性浮腫等)があらわれることがある。

  2. 11.1.2 汎血球減少(0.73%)、無顆粒球症(0.24%)、血小板減少(0.36%)、播種性血管内凝固症候群(DIC)(頻度不明)、血小板減少性紫斑病(頻度不明)
  3. 11.1.3 急性腎障害(0.12%)、尿細管間質性腎炎(頻度不明)

    ,,

  4. 11.1.4 精神神経症状(1.09%)

    意識障害(昏睡)、せん妄、妄想、幻覚、錯乱、痙攣、てんかん発作、麻痺、脳症等があらわれることがある。一般に精神神経症状は本剤の投与中止により回復する。,,

  5. 11.1.5 中毒性表皮壊死融解症(Toxic Epidermal Necrolysis:TEN)、皮膚粘膜眼症候群(Stevens-Johnson症候群)(いずれも頻度不明)
  6. 11.1.6 呼吸抑制、無呼吸(いずれも頻度不明)
  7. 11.1.7 間質性肺炎(頻度不明)
  8. 11.1.8 肝炎、肝機能障害、黄疸(いずれも頻度不明)
  9. 11.1.9 急性膵炎(頻度不明)

11.2 その他の副作用

0.5%以上

0.5%未満

頻度不明

過敏症

発疹、蕁麻疹、瘙痒、光線過敏症

肝臓

肝機能検査値の上昇

消化器

腹痛、下痢、腹部不快感、嘔気

嘔吐

精神神経系

頭痛

めまい

意識低下

腎臓・泌尿器

腎障害

排尿困難

尿閉

13. 過量投与

  1. 13.1 症状

    急性腎障害、精神神経症状(錯乱、幻覚、激越、意識低下、昏睡等)が報告されている。,,,,

  2. 13.2 処置

    血液透析により、アシクロビルを血中より除去することができる。

14. 適用上の注意

14.1 薬剤交付時の注意

PTP包装の薬剤はPTPシートから取り出して服用するように指導すること。PTPシートの誤飲により、硬い鋭角部が食道粘膜へ刺入し、更には穿孔をおこして縦隔洞炎等の重篤な合併症を併発することがある。

14.2 薬剤投与時の注意

  1. 14.2.1 本剤は主薬の苦みを防ぐため、コーティングを施しているので、錠剤をつぶすことなく服用させること。
  2. 14.2.2 本剤を飲みにくい場合には多めの水で1錠ずつ、服用させること。

15. その他の注意

15.1 臨床使用に基づく情報

海外において、本剤の高用量(8g/日)を用い、重度の免疫不全患者(特に進行性HIV感染症患者)におけるCMV感染症予防に対する臨床試験が実施されている。この試験において、本剤が長期間にわたり投与された患者で、腎不全、微小血管溶血性貧血及び血小板減少(ときに併発)の発現が認められている。また、これらの症状は本剤の投与を受けていない同じ基礎疾患、合併症等を有する患者においても発現が認められている。

15.2 非臨床試験に基づく情報

  1. 15.2.1 Ames試験及びラット骨髄細胞染色体異常試験では陰性であったが、マウス骨髄小核試験では、高用量(経口投与、500mg/kg、アシクロビルのヒト血漿中濃度の26~51倍相当)において小核出現頻度の軽度増加を認めた。
  2. 15.2.2 マウスリンフォーマ細胞を用いた遺伝子突然変異試験では、代謝活性化系の存在下で1000μg/mL以上の濃度において弱い遺伝毒性(変異コロニー頻度の増加)を示した。

16. 薬物動態

16.1 血中濃度

  1. 16.1.1 単回投与

    6例の健康成人にバラシクロビル500mg又は1000mgを単回経口投与した場合、その活性代謝物であるアシクロビルに主に肝臓において速やかに代謝され、血漿中アシクロビルの薬物動態パラメータは下記のとおりであった5)

    バラシクロビル
    投与量

    例数

    単回経口投与時のアシクロビルの薬物動態パラメータ

    Cmax
    (μg/mL)

    Tmax
    (hr)

    AUC0-∞
    (μg・hr/mL)

    t1/2
    (hr)

    500mg

    6

    3.66±0.83

    1.50±0.63

    12.74±2.77

    2.96±0.41

    1000mg

    6

    5.84±1.08

    2.17±0.61

    22.26±5.73

    3.55±0.27

    平均値±標準偏差

  2. 16.1.2 反復投与

    バラシクロビル500mgを1日2回(12時間毎)又は1000mgを1日3回(8時間毎)6日間反復経口投与した場合、数回の投与で血漿中アシクロビル濃度は定常状態に達し、トラフ濃度の平均はそれぞれ0.22~0.29μg/mL及び0.94~1.18μg/mLであり蓄積性は認められなかった5)

  3. 16.1.3 生物学的同等性試験

    バラシクロビル錠500mg「ケミファ」とバルトレックス錠500を、クロスオーバー法によりそれぞれ1錠(バラシクロビルとして500mg)健康成人男子に絶食単回経口投与して血漿中アシクロビル(活性代謝物)濃度を測定し、得られた薬物動態パラメータ(AUC、Cmax)について90%信頼区間法にて統計解析を行った結果、log(0.80)~log(1.25)の範囲内であり、両剤の生物学的同等性が確認された6)

    判定パラメータ

    参考パラメータ

    AUC0-12
    (μg・hr/mL)

    Cmax
    (μg/mL)

    Tmax
    (hr)

    t1/2
    (hr)

    バラシクロビル錠500mg
    「ケミファ」

    10.13±2.47

    2.9141±0.7513

    1.83±0.62

    2.8±0.3

    バルトレックス錠500

    9.80±2.59

    2.8421±0.8304

    1.89±0.63

    2.8±0.3

    平均値±標準偏差,n=18

    血漿中濃度並びにAUC、Cmax等のパラメータは、被験者の選択、体液の採取回数・時間等の試験条件によって異なる可能性がある。

16.2 吸収

  1. 16.2.1 食事の影響

    食事によりアシクロビルの最高血漿中濃度到達時間は僅かに遅延したが、AUCに有意な差を認めなかった7),8)(外国人データ)。

  2. 16.2.2 バイオアベイラビリティ

    健康成人にバラシクロビル1000mgを単回経口投与した場合のアシクロビルの生物学的利用率は54.2%であった9)(外国人データ)。

16.3 分布

  1. 16.3.1 血漿蛋白結合率

    In vitroでのバラシクロビル及びアシクロビル(活性代謝物)の血漿蛋白結合率は、それぞれ13.5~17.9及び22~33%であった10),11)

  2. 16.3.2 乳汁中濃度

    ヒトにバラシクロビル500mg経口投与後、アシクロビルの乳汁中Cmaxは、母体血清中Cmaxの0.5~2.3倍(中央値:1.4)を示し、アシクロビルの乳汁中AUCは、母体血清中AUCの1.4~2.6倍(中央値:2.2)を示した12)(外国人データ)。

16.4 代謝

ヒト肝において、バラシクロビルの加水分解活性は高かった13)

16.5 排泄

6例の健康成人にバラシクロビル1000mgを単回経口投与した場合、主な排泄経路は尿中であり、24時間以内の尿中に未変化体、アシクロビル及び9-カルボキシメトキシメチルグアニン(既知のアシクロビルの代謝物)がそれぞれ投与量の0.4%、43.1%及び5.0%排泄された5)

16.6 特定の背景を有する患者

  1. 16.6.1 腎機能障害患者

    透析患者(クレアチニンクリアランス値 平均0.93mL/min)にバラシクロビル1000mgを単回経口投与した場合の薬物動態パラメータは以下のとおりであった14)。また、4時間の透析により血漿中のアシクロビルは約70%が除去された。,,

    被験者

    例数

    単回経口投与時のアシクロビルの薬物動態パラメータ

    Cmax
    (μg/mL)

    Tmax注1)
    (hr)

    t1/2
    (hr)

    AUC0-∞
    (μg・hr/mL)

    腎機能障害患者

    18

    10.60±4.22

    2.00
    (1.00-4.00)

    22.2±5.0

    249.43±105.09

    平均値±標準偏差、注1)中央値(範囲)

  2. 16.6.2 高齢者

    高齢者(平均72歳、クレアチニンクリアランス値 平均57mL/min)にバラシクロビルを経口投与した場合、健康成人に比べ血漿中アシクロビルのCmax及びAUCはそれぞれ15~20%及び30~50%増加した。この変化は高齢者での加齢に伴う腎機能低下によると考えられた15)(外国人データ)。,

  3. 16.6.3 小児等

    小児水痘患者(1~9歳)にバラシクロビル25mg/kg(顆粒剤50mg/kg)注)を1日3回5日間反復経口投与した場合の初回投与時の血漿中アシクロビルの薬物動態パラメータは下記のとおりであった。投与5日目の血漿中アシクロビル濃度に反復投与による蓄積性は認められなかった16)
    注)水痘における本剤の承認用量は、通常、体重40kg以上の小児にはバラシクロビルとして1回1000mgを1日3回経口投与である。

    投与量
    (mg/kg)

    年齢
    (歳)

    例数

    初回投与時のアシクロビルの薬物動態パラメータ

    Cmax
    (μg/mL)

    Tmax注1)
    (hr)

    AUC0-∞
    (μg・hr/mL)

    t1/2
    (hr)

    25

    1~9

    11注2)

    6.21±2.46

    1.03
    (1.00-4.08)

    16.90±6.99

    1.34±0.29

    平均値±標準偏差
    注1)中央値(最小値-最大値)
    注2)AUC0-∞及びt1/2については、9例

16.7 薬物相互作用

  1. 16.7.1 In vitro

    バラシクロビルの活性代謝物であるアシクロビルは、OAT1、OAT2、MATE1及びMATE2-Kの基質であった17),18),19),20)

  2. 16.7.2 吸収過程における相互作用(in situ

    ラット小腸にバラシクロビル0.01mMを含む緩衝液を灌流した時、バラシクロビルの小腸透過係数はペプチドトランスポーター(PEPT)1の基質として知られるβ-ラクタム系抗生物質(アモキシシリン、アンピシリン、セファドロキシル、セファラジン;各々5mM)の高濃度の共存下で有意に低下したことから、バラシクロビルの吸収過程にはPEPT1が関与していることが示された21)

17. 臨床成績

17.1 有効性及び安全性に関する試験

  • 〈単純疱疹〉
    1. 17.1.1 国内第Ⅱ相試験

      成人単純疱疹患者を対象としたバラシクロビルの用量設定試験(計56施設、152例)の結果は以下のとおりである22)
      バラシクロビルの有効率(1回500mg 1日2回5日間投与)は90.0%(36/40例)であった。
      バラシクロビルとの関連性が疑われた副作用(臨床検査値異常を含む)の発現状況は以下のとおりである。

      安全性解析
      対象症例数

      発現件数

      主な種類(件)

      131

      27

      ALT上昇(5)、頭痛(2)、眠気(2)、白血球減少[血液](2)、好酸球増多(2)、尿蛋白(2)

    2. 17.1.2 国内第Ⅲ相試験

      成人単純疱疹患者を対象としたバラシクロビルのアシクロビル対照二重盲検比較試験(計59施設、300例、アシクロビル投与群:1回200mg 1日5回5日間投与)の結果は以下のとおりである23)
      バラシクロビルの有効率(1回500mg 1日2回投与)は95.9%(141/147例)であった。
      バラシクロビル又はアシクロビルとの関連性が疑われた副作用(臨床検査値異常を含む)の発現状況は以下のとおりである。

      安全性解析
      対象症例数

      発現症例数
      (件)

      主な種類(件)

      バラシクロビル投与群

      149

      33(55)

      眠気(7)、頭痛(6)、白血球増多[尿中](5)、軟便(3)、血小板増多(3)

      アシクロビル投与群

      148

      39(50)

      白血球増多[尿中](4)、不快感[胃](3)、下痢(3)、嘔気(3)、カリウム上昇[血清](3)、頭痛(3)

  • 〈造血幹細胞移植における単純ヘルペスウイルス感染症(単純疱疹)の発症抑制〉
    1. 17.1.3 国内第Ⅲ相試験

      成人及び小児造血幹細胞移植患者を対象としたバラシクロビルの非対照非盲検試験(計11施設、40例)の結果(臨床効果)は以下のとおりである24)(錠剤及び顆粒剤の成績)。
      成人にはバラシクロビルを1回500mg 1日2回、小児には1回25mg/kg 1日2回(1回最高用量は500mg)注)、造血幹細胞移植施行7日前より施行後35日までの計43日間投与することにより、投与期間中の単純疱疹の発症を認めなかった。本試験において、副作用はみられなかった。
      注)造血幹細胞移植患者における本剤の承認用量は、通常、体重40kg以上の小児には1回500mgを1日2回経口投与である。

  • 〈帯状疱疹〉
    1. 17.1.4 国内第Ⅱ相試験

      皮疹出現後72時間以内の成人帯状疱疹患者を対象としたバラシクロビルの用量設定試験(計56施設、183例)の結果は以下のとおりである25),26)
      バラシクロビルの有効率(1回1000mg 1日3回7日間投与)は89.1%(49/55例)であった。
      バラシクロビルとの関連性が疑われた副作用(臨床検査値異常を含む)の発現状況は以下のとおりである。

      安全性解析
      対象症例数

      発現件数

      主な種類(件)

      172

      54

      ALT上昇(9)、AST上昇(7)、腹痛(5)、BUN上昇(4)、白血球増多[血液](3)、食欲不振(2)、頭痛(2)、単球減少(2)、総コレステロール減少(2)

    2. 17.1.5 国内第Ⅲ相試験

      皮疹出現後72時間以内の成人帯状疱疹患者を対象としたバラシクロビルのアシクロビル対照二重盲検比較試験(計58施設、202例、アシクロビル投与群:1回800mg 1日5回7日間投与)の結果は以下のとおりである27)
      バラシクロビルの有効率(1回1000mg 1日3回投与)は87.3%(89/102例)であった。
      バラシクロビル又はアシクロビルとの関連性が疑われた副作用(臨床検査値異常を含む)の発現状況は以下のとおりである。

      安全性解析
      対象症例数

      発現症例数(件)

      主な種類(件)

      バラシクロビル投与群

      102

      26(39)

      ALT上昇(5)、BUN上昇(3)、血清クレアチニン上昇(3)、倦怠感(2)、腹痛(2)、不快感[胃](2)、下痢(2)、尿糖(2)、AST上昇(2)、急性腎障害(1)

      アシクロビル投与群

      98

      22(32)

      不快感[胃](3)、倦怠感(2)、腹部膨満感(2)、ALT上昇(2)、尿蛋白(2)、血小板増多(2)、BUN上昇(1)

    3. 17.1.6 海外臨床試験

      無作為化二重盲検比較試験において、50歳以上の免疫機能が正常な成人帯状疱疹患者を対象に、バラシクロビル1000mg 1日3回7日間投与(384例)又は14日間投与(381例)、アシクロビル800mg 1日5回7日間投与(376例)した3群間で帯状疱疹に伴う疼痛の消失推移を比較した。その結果、バラシクロビル7日間投与群及び14日間投与群はアシクロビル投与群に比べPHN(帯状疱疹後神経痛、Post Herpetic Neuralgia)を含む帯状疱疹に伴う疼痛消失までの期間を有意に短縮した(p=0.001及びp=0.03、Cox比例ハザードモデル)。また、疼痛消失までの日数(中央値)はバラシクロビル7日間投与群で38日、バラシクロビル14日間投与群で44日、アシクロビル7日間投与群で51日であった。なお、バラシクロビル7日間投与群と14日間投与群の間には、有意な差が認められなかった28)

  • 〈水痘〉
    1. 17.1.7 国内臨床試験

      バラシクロビルの非対照非盲検試験(計10施設、43例)の結果は以下のとおりである16),29)(顆粒剤の成績)。
      小児水痘患者にバラシクロビルを1回25mg/kg 1日3回注)、5日間投与することにより、前胸部の皮疹数は、顕著な増加を認めることなく、投与2日目以後は減少を続ける推移を示した。なお、本試験の結果とアシクロビルを1回20mg/kg 1日4回、5日間投与した試験における前胸部の皮疹数の推移とを比較した結果は以下のとおりである。
      注)本剤の承認用量は、通常、体重40kg以上の小児には1回1000mgを1日3回経口投与である。

      バラシクロビル試験

      投与後日数

      0

      1

      2

      3

      4

      5

      6

      例数

      41

      41

      41

      41

      41

      41

      40

      平均値

      30.7

      54.6

      57.0

      49.4

      40.9

      35.1

      26.4

      アシクロビル試験

      投与後日数

      0

      1

      2

      3

      4

      5

      6

      例数

      51

      22

      28

      38

      27

      25

      19

      平均値

      45.5

      38.1

      48.1

      51.5

      36.7

      25.3

      18.2

      バラシクロビルとの関連性が疑われた副作用(臨床検査値異常を含む)の発現状況は以下のとおりである。

      安全性解析
      対象症例数

      発現症例数
      (件)

      種類(件)

      43

      2(3)

      ALT増加(1)、AST増加(1)、便秘(1)

  • 〈性器ヘルペスの再発抑制〉
    1. 17.1.8 海外臨床試験

      成人免疫正常患者及びHIVに重複感染し免疫不全状態にある成人患者を対象とした用量設定試験の結果は以下のとおりである30),31),32),,
      性器ヘルペスの未再発率、プラセボ群又はアシクロビル投与群と比較した再発リスク低下率は以下のとおりであった。

      未再発率

      再発リスク低下率
      (95%信頼区間)

      免疫正常患者

      52週間投与

      年間6回以上性器ヘルペスの再発を繰り返す患者

      バラシクロビル500mg 1日1回投与群(266例)

      40%

      71%注1)
      (63~78)

      プラセボ投与群
      (134例)

      5%

      HIV感染患者

      48週間投与

      1年以内に性器ヘルペスが再発した患者

      バラシクロビル500mg 1日2回投与群(355例)

      82%

      27%注2)
      (-6~50)

      アシクロビル1回400mg 1日2回投与群(349例)

      78%

      注1)プラセボ投与群との比較
      注2)アシクロビル1回400mg 1日2回投与群との比較

      なお、年間6回以上性器ヘルペスの再発を繰り返す免疫正常患者に対して、バラシクロビル1000mg 1日1回投与注)(269例)又はバラシクロビル250mg 1日2回投与(274例)した場合の、52週間投与時の未再発率は、それぞれ48%、50%であり、プラセボ群と比較した再発リスク低下率(95%信頼区間)は、それぞれ78%(71~83)、79%(73~84)であった。
      注)性器ヘルペスの再発抑制における本剤の承認用量は、通常、1回500mgを1日1回経口投与である。

      バラシクロビルとの関連性が疑われた副作用(臨床検査値異常を含む)の発現状況は以下のとおりである。

      安全性解析対象症例数

      発現症例数
      (件)

      主な種類
      (発現率)

      免疫正常患者

      52週間投与

      年間6回以上性器ヘルペスの再発を繰り返す患者

      バラシクロビル500mg 1日1回投与群

      266

      88
      (178)

      頭痛(11~14%)、悪心(5~8%)、下痢(2~7%)

      バラシクロビル1000mg 1日1回投与群注)

      269

      96
      (173)

      頭痛(11~14%)、悪心(5~8%)、下痢(2~7%)

      バラシクロビル250mg 1日2回投与群注)

      274

      87
      (173)

      頭痛(11~14%)、悪心(5~8%)、下痢(2~7%)

      HIV感染患者

      48週間投与

      1年以内に性器ヘルペスが再発した患者

      バラシクロビル500mg 1日2回投与群

      355

      94
      (-)

      悪心(7%)、下痢(6%)、頭痛(5%)

    2. 17.1.9 海外臨床試験

      成人免疫正常患者及びHIVに重複感染し免疫不全状態にある成人患者を対象としたプラセボ対照二重盲検比較試験の結果は以下のとおりである32),33),34),35),,
      性器ヘルペスの未再発率、プラセボ群と比較した再発リスク低下率は以下のとおりであった。

      未再発率

      再発リスク低下率
      (95%信頼区間)

      免疫正常患者

      16週間投与

      年間8回以上性器ヘルペスの再発を繰り返す患者

      バラシクロビル500mg 1日1回投与群(288例)

      69%

      85%注1)
      (79~89)

      プラセボ投与群
      (94例)

      9.5%

      HIV感染患者

      6ヵ月間投与

      年間4回以上性器ヘルペスの再発を繰り返す患者

      バラシクロビル500mg 1日2回投与群(194例)

      81%

      80%注1)
      (70~87)

      プラセボ投与群
      (99例)

      37%

      注1)プラセボ投与群との比較

      バラシクロビルとの関連性が疑われた副作用(臨床検査値異常を含む)の発現状況は以下のとおりである。

      安全性解析対象症例数

      発現症例数
      (件)

      主な種類
      (発現率)

      免疫正常患者

      16週間投与

      年間8回以上性器ヘルペスの再発を繰り返す患者

      バラシクロビル500mg 1日1回投与群

      288

      66
      (112)

      頭痛(7%)、嘔気(6%)

      HIV感染患者

      6ヵ月間投与

      年間4回以上性器ヘルペスの再発を繰り返す患者

      バラシクロビル500mg 1日2回投与群

      194

      23
      (-)

      頭痛(5%)、下痢(3%)

17.2 製造販売後調査等

  • 〈帯状疱疹〉

    国内において実施された特定使用成績調査において、成人帯状疱疹患者にバラシクロビルを投与(平均2944mg/日×7.2日)した316例の帯状疱疹に伴う疼痛の消失推移を検討した。その結果、疼痛消失までの日数(中央値)は35日であり、PHN移行率(皮疹発現90日後の疼痛残存率)は24.7%(78/316例)であった36)

17.3 その他

海外において実施された、性器ヘルペスの年間再発回数が9回以下の成人免疫正常患者を対象としたプラセボ対照無作為化二重盲検比較試験(1484例)の結果は以下のとおりである37)
8ヵ月投与時のセックスパートナーへのHSV-2による性器ヘルペス初感染発症率は、バラシクロビル1回500mg 1日1回投与群で0.5%(4/743例)、プラセボ投与群で2.2%(16/741例)であった。

18. 薬効薬理

18.1 作用機序

バラシクロビルはアシクロビルのL-バリルエステルであり、経口投与後、主に肝初回通過効果によりアシクロビルに変換されて抗ウイルス作用を発現する。アシクロビルは、単純ヘルペスウイルスあるいは水痘・帯状疱疹ウイルスが感染した細胞内に入ると、ウイルス性チミジンキナーゼにより一リン酸化された後、細胞性キナーゼによりリン酸化され、アシクロビル三リン酸(ACV-TP)となる。ACV-TPは正常基質であるdGTPと競合してウイルスDNAポリメラーゼによりウイルスDNAの3’末端に取り込まれると、ウイルスDNA鎖の伸長を停止させ、ウイルスDNAの複製を阻害する。
アシクロビルリン酸化の第一段階である一リン酸化は感染細胞内に存在するウイルス性チミジンキナーゼによるため、ウイルス非感染細胞に対する障害性は低いものと考えられる13),38),39),40),41),42),43)

18.2 抗ウイルス作用

  1. 18.2.1 単純ヘルペスウイルスに対する作用

    バラシクロビルの活性代謝物であるアシクロビルは、単純ヘルペスウイルス1型及び2型のin vitroにおける増殖を抑制し、IC50はそれぞれ0.01~1.25μg/mL及び0.01~3.20μg/mLであった44),45)

  2. 18.2.2 水痘・帯状疱疹ウイルスに対する作用

    バラシクロビルの活性代謝物であるアシクロビルは、水痘・帯状疱疹ウイルスのin vitroにおける増殖を抑制し、IC50は0.17~7.76μg/mLであった38),46),47)。また、サル水痘ウイルスを気道に接種したサルにバラシクロビル200及び400mg/kg/日を1日3回に分割し連続10日間経口投与したところ、皮疹の発現が抑制され、血中ウイルス価が減少した48)

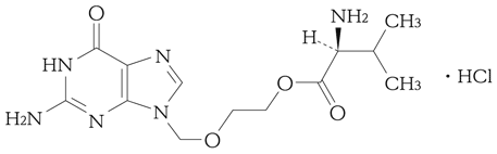
19. 有効成分に関する理化学的知見

一般的名称

バラシクロビル塩酸塩(Valaciclovir Hydrochloride)

化学名

2-[(2-Amino-1,6-dihydro-6-oxo-9H-purin-9-yl)methoxy]ethyl L-valinate monohydrochloride

分子式

C13H20N6O4・HCl

分子量

360.80

性状

白色~微黄白色の結晶性の粉末である。水に溶けやすく、エタノール(99.5)に極めて溶けにくい。
0.05mol/L塩酸試液に溶ける。

化学構造式

22. 包装

42錠[6錠(PTP)×7]

23. 主要文献

1) Stahlmann R,et al.:Infection.1987;15:261-262

2) De Bony F,et al.:Antimicrob Agents Chemother.2002;46:458-463

3) Bullingham RES,et al.:Clin Pharmacokinet.1998;34:429-455

4) Maeda Y,et al.:Biol Pharm Bull.1996;19:1591-1595

5) 東 純一ほか :臨床医薬.1998;14:2683-2700

6) 日本ケミファ株式会社:生物学的同等性に関する資料(社内資料)

7) Obenshain MK,et al.:Pharm Res.1994;11(Suppl.10):S435

8) 食事の影響(バルトレックス錠:2000年7月3日承認、申請資料概要ヘ.3.1.3)

9) Soul-Lawton J,et al.:Antimicrob Agents Chemother.1995;39:2759-2764

10) Perry CM,et al.:Drugs.1996;52:754-772

11) 血漿蛋白質との結合(バルトレックス錠:2000年7月3日承認、申請資料概要ヘ.2.2.4)

12) Sheffield JS,et al.:Am J Obstet Gynecol.2002;186:100-102

13) Burnette TC,et al.:J Biol Chem.1995;270:15827-15831

14) Hara K,et al.:Drug Metab Pharmacokinet.2008;23:306-312

15) Wang LH,et al.:Antimicrob Agents Chemother.1996;40:80-85

16) 浅野喜造ほか:臨床医薬.2007;23:183-200

17) Cheng Y,et al.:Drug Metab Dispos.2012;40:617-624

18) Takeda M,et al.:J Pharmacol Exp Ther.2002;300:918-924

19) Nies AT,et al.:Expert Opin Drug Metab Toxicol.2012;8:1565-1577

20) Tanihara Y,et al.:Biochem Pharmacol.2007;74:359-371

21) Sinko PJ,et al.:Biopharm Drug Dispos.1998;19:209-217

22) 新村眞人ほか:臨床医薬.2002;18:1131-1154

23) 川島 眞ほか:臨床医薬.2002;18:1155-1175

24) 陶山和明ほか:臨床医薬.2014;30:583-591

25) 新村眞人ほか:臨床医薬.1998;14:2833-2866

26) 後期第二相試験(照合後)(バルトレックス錠:2000年7月3日承認、申請資料概要ト.1.4)

27) 新村眞人ほか:臨床医薬.1998;14:2867-2902

28) Beutner KR,et al.:Antimicrob Agents Chemother.1995;39:1546-1553

29) 全試験を通しての結果の比較と解析(バルトレックス顆粒:2007年4月18日承認、申請資料概要2.7.3.3)

30) Reitano M,et al.:J Infect Dis.1998;178:603-610

31) Conant MA,et al.:Int J STD AIDS.2002;13:12-21

32) 臨床に関する資料(バルトレックス錠/顆粒:2006年9月13日承認、審査報告書)

33) Patel R,et al.:Genitourin Med.1997;73:105-109

34) DeJesus E,et al.:J Infect Dis.2003;188:1009-1016

35) Warren T,et al.:Clinical Infectious Diseases.2004;39(Suppl.5):S258-266

36) 村川和重ほか:臨床医薬.2008;24(4):321-335

37) Corey L,et al.:N Engl J Med.2004;350:11-20

38) Biron KK,et al.:Antimicrob Agents Chemother.1980;18:443-447

39) Furman PA,et al.:Antimicrob Agents Chemother.1981;20:518-524

40) St Clair MH,et al.:Antimicrob Agents Chemother.1980;18:741-745

41) Biron KK,et al.:Herpesvirus NY,NY:Alan R Liss,Inc.1984;677-685

42) Furman PA,et al.:J Virol.1979;32:72-77

43) Miller WH,et al.:J Biol Chem.1980;255:7204-7207

44) Al-Hasani AM,et al.:J Antimicrob Chemother.1986;18(Suppl.B):113-119

45) McLaren C,et al.:Am J Med.1982;73(1A):376-379

46) Machida H:Antimicrob Agents Chemother.1986;29:524-526

47) 武藤茂生ほか:小児科臨床.1983;36:2785-2790

48) バラシクロビルの抗ウイルス作用(in vivo)(バルトレックス錠:2000年7月3日承認、申請資料概要ホ.1.1.2)

24. 文献請求先及び問い合わせ先

日本薬品工業株式会社 安全管理課

〒101-0032 東京都千代田区岩本町2丁目2番3号

TEL 03-5833-5011 FAX 03-5833-5100

26. 製造販売業者等

26.1 製造販売元

日本ケミファ株式会社

東京都千代田区岩本町2丁目2-3

26.2 販売元

日本薬品工業株式会社

東京都千代田区岩本町2丁目2-3

〒100-0013 東京都千代田区霞が関3-3-2 新霞が関ビル

画面を閉じる

Copyright © Pharmaceuticals and Medical Devices Agency, All Rights reserved.