医療用医薬品 詳細表示

ラスノンメディカル液

添付文書番号

732480BQ1048_1_06

企業コード

530244

作成又は改訂年月

2024年8月改訂(第2版)
2023年11月改訂(第1版)

日本標準商品分類番号

877324

薬効分類名

歯科用小器具消毒剤

承認等

ラスノンメディカル液

販売名コード

YJコード

732480BQ1048

販売名英語表記

RUSNON MEDICAL SOLUTION

承認番号等

承認番号

20100AMZ00303000

販売開始年月

1989年7月

貯法・有効期間

貯法

室温保存

有効期間

3年

一般的名称

ベンゼトニウム塩化物液

3. 組成・性状

3.1 組成

ラスノンメディカル液

有効成分ベンゼトニウム塩化物 100mL中   0.2g
添加剤亜硝酸ジシクロヘキシルアミン(防錆剤)、pH調整剤、その他1成分

3.2 製剤の性状

ラスノンメディカル液

性状本剤は、無色澄明な液で、においはない。

4. 効能又は効果

  • 歯科用小器具の消毒

6. 用法及び用量

  • 本液を常水で2倍にうすめ、10分間浸漬する。
    厳密に消毒する際には予め2%炭酸ナトリウム水溶液で洗い、その後ベンゼトニウム塩化物0.1%溶液(本品の2倍希釈液)中で15分間煮沸する。

14. 適用上の注意

14.1 薬剤調製時の注意

本剤は常水で2倍希釈して使用すること。

14.2 薬剤使用時の注意

  1. 14.2.1 本剤が目に入った場合は、多量の水で洗った後、必要に応じ専門医の処置を受けること。
  2. 14.2.2 血清、膿汁等の有機性物質は殺菌作用を減弱させるので、これらが付着している医療器具等に用いる場合は、十分に洗い落としてから使用すること。
  3. 14.2.3 石けん類は本剤の殺菌作用を弱めるので、石けん分を洗い落としてから使用すること。
  4. 14.2.4 合成ゴム製品、合成樹脂製品、光学器具、鏡器具等への使用は避けること。
  5. 14.2.5 消毒液が揮発して、本剤の成分が析出することがあるため、本剤を使用する際の浸漬容器は常時ふたをすること。
  6. 14.2.6 消毒液の交換は、原則として7~10日ごとに行うこと。
  7. 14.2.7 歯科用小器具のうち、タングステンカーバイトバーについては長時間浸漬した場合、まれに変色や発錆を起こすことがある。

18. 薬効薬理

18.1 作用機序

ベンゼトニウム塩化物は陽イオン界面活性剤で、芽胞のない細菌、真菌類に広く抗菌力を持ち、低濃度で殺菌作用を示す1),2),3),4) 。また毒性が低い5)

18.2 「ラスノン®メディカル液」の効果

本剤の2倍希釈液は、口腔内一般細菌である黄色ブドウ球菌(Staphylococcus aureus)、ミュータンス菌(Streptococcus mutans)、真菌のカンジダ菌(Candida albicans)、および嫌気性菌のジンジバリス菌(Porphyromonas gingivalis)、に対して、5分間の作用時間で完全な殺菌効果を示した。
S.aureusS.mutansC.albicansおよびP.gingivalisに本剤の2倍希釈液を、5分間作用させた際の生菌数の変化を図1に示す6)

18.3 小器具の消毒試験

治療に用いた小器具から微生物を離脱し培養すると、全例に微生物の発育が認められた。一方、同じ検体に本剤を作用させて培養したときには、全例とも微生物の発育は認められなかった7)

18.4 殺菌力の持続性

10日間、本剤を小器具の消毒に使用した後の薬液について抗菌力を調べた結果、S.aureus、S.mutans、L.casei、E.coli、C.albicansに対する殺菌力の低下は認められなかった7)

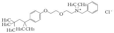
19. 有効成分に関する理化学的知見

ベンゼトニウム塩化物

一般的名称

ベンゼトニウム塩化物(Benzethonium Chloride)

化学名

N-Benzyl-N,N-dimethyl-2-{2-[4-(1,1,3,3-tetramethylbutyl)phenoxy]ethoxy}-ethylaminium chloride

分子式

C27H42ClNO2

分子量

448.08

性状

本品は無色又は白色の結晶で、においはない。本品はエタノール(95)に極めて溶けやすく、水に溶けやすく、ジエチルエーテルにほとんど溶けない。本品の水溶液は振ると強く泡だつ。

化学構造式

20. 取扱い上の注意

直射日光を避けて保存すること。

22. 包装

1,200mL(ボトル)

3,000mL(ボトル)

24. 文献請求先及び問い合わせ先

日本歯科薬品株式会社 お客様窓口

*〒750-0025 山口県下関市竹崎町4-7-24

TEL 0120-8020-96/ FAX 083-222-2220
[ホームページ]https://www.nishika.co.jp/

25. 保険給付上の注意

本剤は保険給付の対象とならない(薬価基準未収載)。

26. 製造販売業者等

26.1 製造販売元

日本歯科薬品株式会社

*山口県下関市竹崎町4-7-24

〒100-0013 東京都千代田区霞が関3-3-2 新霞が関ビル

画面を閉じる

Copyright © Pharmaceuticals and Medical Devices Agency, All Rights reserved.