医療用医薬品 詳細表示

ホーリット錠20mg/ホーリット錠40mg/ホーリット散10%

処方せん医薬品

添付文書番号
企業コード
作成又は改訂年月
日本標準商品分類番号
薬効分類名
承認等
一般的名称
3.組成・性状
3.1組成
3.2製剤の性状
4.効能又は効果
6.用法及び用量
8.重要な基本的注意
9.特定の背景を有する患者に関する注意
9.1合併症・既往歴等のある患者
9.3肝機能障害患者
9.5妊婦
9.6授乳婦
9.8高齢者
10.相互作用
10.2併用注意(併用に注意すること)
11.副作用
11.1重大な副作用
11.2その他の副作用
15.その他の注意
15.1臨床使用に基づく情報
16.薬物動態
16.1血中濃度
16.3分布
16.5排泄
17.臨床成績
17.1有効性及び安全性に関する試験
18.薬効薬理
18.1作用機序
18.2薬理作用
19.有効成分に関する理化学的知見
22.包装
23.主要文献
24.文献請求先及び問い合わせ先
26.製造販売業者等

ホーリット錠20mg/ホーリット錠40mg/ホーリット散10%

添付文書番号

1179011B1030_2_03

企業コード

530258

作成又は改訂年月

2024年10月改訂(第2版)
2021年4月改訂(第1版)

日本標準商品分類番号

871179

薬効分類名

統合失調症治療剤

承認等

ホーリット錠20mg

販売名コード

YJコード

1179011F1024

販売名英語表記

FORIT Tablets 20mg

販売名ひらがな

ほーりっとじょう20mg

承認番号等

承認番号

14500AMZ03010

販売開始年月

1972年1月

貯法・有効期間

貯法

室温保存

有効期間

5年

ホーリット錠40mg

販売名コード

YJコード

1179011F2020

販売名英語表記

FORIT Tablets 40mg

販売名ひらがな

ほーりっとじょう40mg

承認番号等

承認番号

14500AMZ03011

販売開始年月

1972年1月

貯法・有効期間

貯法

室温保存

有効期間

5年

ホーリット散10%

販売名コード

YJコード

1179011B1030

販売名英語表記

FORIT Powder 10%

販売名ひらがな

ほーりっとさん10%

承認番号等

承認番号

22000AMX01493

販売開始年月

1972年1月

貯法・有効期間

貯法

室温保存

有効期間

3年

一般的名称

オキシペルチン製剤

3. 組成・性状

3.1 組成

ホーリット錠20mg

有効成分1錠中
オキシペルチン   20mg
添加剤乳糖水和物、トウモロコシデンプン、カルメロースカルシウム、ポリビニルアルコール(部分けん化物)、ステアリン酸マグネシウム、ヒドロキシプロピルセルロース、タルク、白糖、沈降炭酸カルシウム、グリセリン脂肪酸エステル、カルナウバロウ

ホーリット錠40mg

有効成分1錠中
オキシペルチン   40mg
添加剤乳糖水和物、トウモロコシデンプン、カルメロースカルシウム、ポリビニルアルコール(部分けん化物)、ステアリン酸マグネシウム、ヒドロキシプロピルセルロース、タルク、白糖、沈降炭酸カルシウム、グリセリン脂肪酸エステル、カルナウバロウ、黄色5号

ホーリット散10%

有効成分1g中
オキシペルチン   100mg
添加剤乳糖水和物、トウモロコシデンプン

3.2 製剤の性状

ホーリット錠20mg

外形
大きさ直径7.9mm
厚さ4.8mm
質量230mg
識別コードNF114
色・剤形白色の糖衣錠

ホーリット錠40mg

外形
大きさ直径7.9mm
厚さ4.8mm
質量230mg
識別コードNF113
色・剤形うすいだいだい色の糖衣錠

ホーリット散10%

外形
識別コード
色・剤形白色~わずかに黄色の散剤

4. 効能又は効果

統合失調症

6. 用法及び用量

通常成人はオキシペルチンとして最初1回20mgを1日2~3回経口投与し、漸次増量して1回40~80mgを1日2~3回経口投与する。場合により1回100mgを1日3回経口投与する。
年齢、症状により適宜増減する。

8. 重要な基本的注意

眠気、注意力・集中力・反射運動能力等の低下があらわれることがあるので、本剤投与中の患者には自動車の運転等危険を伴う機械の操作に従事させないよう注意すること。

9. 特定の背景を有する患者に関する注意

9.1 合併症・既往歴等のある患者

  1. 9.1.1 低血圧のある患者

    一過性の血圧降下があらわれることがある。

  2. 9.1.2 血液障害のある患者

    症状が悪化するおそれがある。

  3. 9.1.3 脱水・栄養不良状態等を伴う身体的疲弊のある患者

    Syndrome malin(悪性症候群)が起こるおそれがある。

  4. 9.1.4 不動状態、長期臥床、肥満、脱水状態等の患者

    肺塞栓症、静脈血栓症等の血栓塞栓症が報告されている。

9.3 肝機能障害患者

症状が悪化するおそれがある。

9.5 妊婦

妊婦又は妊娠している可能性のある女性には投与しないことが望ましい。動物実験(ラット)で、流産、胎児死亡等の胎児毒性が認められている。また、妊娠後期に抗精神病薬が投与されている場合、新生児に哺乳障害、傾眠、呼吸障害、振戦、筋緊張低下、易刺激性等の離脱症状や錐体外路症状があらわれたとの報告がある。

9.6 授乳婦

投与中及び投与後一定期間は授乳しないことが望ましい。

9.8 高齢者

少量から投与を開始するなど注意すること。一般に生理機能が低下している。

10. 相互作用

    10.2 併用注意(併用に注意すること)

    薬剤名等臨床症状・措置方法機序・危険因子

    モノアミン酸化酵素阻害薬

    中枢神経系の興奮及び心悸亢進、血圧上昇などの副作用が発現するおそれがある。

    相互に作用を増強すると考えられている。

    11. 副作用

    次の副作用があらわれることがあるので、観察を十分に行い、異常が認められた場合には投与を中止するなど適切な処置を行うこと。

    11.1 重大な副作用

    1. 11.1.1 Syndrome malin(悪性症候群)(頻度不明)

      無動緘黙、強度の筋強剛、嚥下困難、頻脈、血圧の変動、発汗等が発現し、それに引き続き発熱がみられる場合は、投与を中止し、体冷却、水分補給等の全身管理とともに適切な処置を行うこと。本症発症時には、白血球の増加や血清CKの上昇がみられることが多く、また、ミオグロビン尿を伴う腎機能の低下がみられることがある。なお、高熱が持続し、意識障害、呼吸困難、循環虚脱、脱水症状、急性腎障害へと移行し、死亡した例が報告されている。

    2. 11.1.2 麻痺性イレウス(頻度不明)

      腸管麻痺(初期症状:食欲不振、悪心・嘔吐、著しい便秘、腹部の膨満あるいは弛緩、腸内容物のうっ滞等)をきたし、麻痺性イレウスに移行することがあるので、腸管麻痺が認められた場合には、投与を中止すること。なお、この悪心・嘔吐は、本剤の制吐作用により不顕性化することもあるので注意すること。

    3. 11.1.3 無顆粒球症、白血球減少(頻度不明)

    4. 11.1.4 肺塞栓症、深部静脈血栓症(頻度不明)

      肺塞栓症、静脈血栓症等の血栓塞栓症が報告されているので、観察を十分に行い、息切れ、胸痛、四肢の疼痛、浮腫等が認められた場合には、投与を中止するなど適切な処置を行うこと。

    11.2 その他の副作用

    5%以上

    0.1~5%未満

    循環器

    起立性低血圧、血圧降下、血圧上昇、心悸亢進

    血液

    白血球数の異常

    肝臓

    AST・ALT上昇等の肝機能検査値の異常

    錐体外路症状注2)

    手指振戦(11.6%)、アカシジア等

    筋強剛、眼球挙上等

    精神神経系

    不眠(13.3%)

    不安・焦燥等

    消化器

    食欲不振、悪心、便秘、下痢

    過敏症

    発疹等

    その他

    眠気、鼻閉、倦怠感、めまい、流涎、口渇

    注1)発現頻度は承認後の臨床試験等を含む。
    注2)症状があらわれた場合には、減量又は抗パーキンソン病薬を併用することが望ましい。

    15. その他の注意

    15.1 臨床使用に基づく情報

    *外国で実施された高齢認知症患者を対象とした17の臨床試験において、非定型抗精神病薬投与群はプラセボ投与群と比較して死亡率が1.6~1.7倍高かったとの報告がある。また、外国での疫学調査において、定型抗精神病薬も非定型抗精神病薬と同様に死亡率の上昇に関与するとの報告がある。

    16. 薬物動態

    16.1 血中濃度

    統合失調症患者6例にオキシペルチン50mg、60mg、70mgをそれぞれ経口投与した場合、吸収には個人差があり、30分以内に最高血清中濃度(約400ng/mL)を示す群と、投与後4時間目まで徐々に血清中濃度が上昇していく群とが認められたが、投与後4時間には両群ともほぼ同じ血清中濃度(200~300ng/mL)を示した。
    また、150mg、180mg、210mgを1日3分服として6週間連続投与した場合、血清中濃度は7日以内に定常状態に達した1)

    16.3 分布

    ラット及びマウスに5mg/kgを経口投与した場合、血中濃度は30分~1時間後に最高を示すが、脾、腎では2~3時間後、他の臓器では30分後にそれぞれ最高濃度を示し、脳にも比較的よく分布した。

    16.5 排泄

    ラット及びマウスに5mg/kgを経口投与した場合の排泄率は、尿、糞中合わせて72時間後にラットで約78%、マウスで約65%であった。

    17. 臨床成績

    17.1 有効性及び安全性に関する試験

    1. 17.1.1 国内臨床試験

      国内17施設で実施された統合失調症患者230例を対象とした臨床試験において改善率は著明改善及び中等度改善では25%(57例)であり、軽度改善を含めると58%(134例)であった。特に自発性減退、感情鈍麻等の情動表出障害を改善し、疎通性、対人接触、感情表出を高める。また、治療の初期に、一過性に興奮、衝動行為、不安、焦燥、多幸等の随伴症状がみられることがあるが、これは症状の悪化ではなく、むしろ、情動表出障害の改善への“ゆさぶり”で、本剤の賦活効果のあらわれと考えられている。
      上記のような賦活効果のほか、国内の臨床試験において、特に精神運動興奮、衝動性等に対し、鎮静的効果が認められている。また、2種の二重盲検比較試験で本剤の有用性が認められている。

    18. 薬効薬理

    18.1 作用機序

    オキシペルチンはフェノチアジン系、ブチロフェノン系薬剤とは異なり、脳内アミン類似の構造を有する。また、脳内アミンに対しては、ノルアドレナリン含量を低下2)させ、ドパミンに対してレセプター遮断ないし枯渇作用を有することが報告されている。

    18.2 薬理作用

    • 行動薬理試験を含む薬理学的検索の結果、オキシペルチンはクロルプロマジンと作用スペクトルは類似している。
    1. 18.2.1 自発性運動抑制作用

      マウスに経口投与した実験では、クロルプロマジンの8倍の自発性運動抑制作用が認められている。

    2. 18.2.2 条件回避反応抑制作用

      ラットに経口投与した実験では、50%有効量は7.6mg/kgでクロルプロマジンと同程度の条件回避反応抑制作用が認められている。

    3. 18.2.3 静穏・馴化作用、カタレプシー惹起作用

      サルに経口投与した実験では、クロルプロマジンの2倍の静穏・馴化作用を示す。また、カタレプシー惹起作用はクロルプロマジンの4倍を示す。

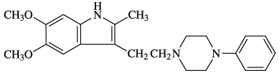
    19. 有効成分に関する理化学的知見

    一般的名称

    オキシペルチン(Oxypertine)

    化学名

    5,6-dimethoxy-2-methyl-3-[2-(4-phenylpiperazin-1-yl)ethyl]-1H-indole

    分子式

    C23H29N3O2

    分子量

    379.50

    性状

    白色~淡黄色の粉末で、においはない。クロロホルムに極めて溶けやすく、酢酸(100)又はアセトンに溶けやすく、メタノール、エタノール(95)又は酢酸エチルにやや溶けやすく、ジエチルエーテルにやや溶けにくく、水にほとんど溶けない。光によって徐々に着色する。

    化学構造式

    融点

    138~142℃

    22. 包装

    • 〈ホーリット錠20mg〉

      100錠[ガラス瓶、バラ]

    • 〈ホーリット錠40mg〉

      100錠[ガラス瓶、バラ]

    • 〈ホーリット散10%〉

      100g[ポリエチレン袋、バラ]

    24. 文献請求先及び問い合わせ先

    アルフレッサ ファーマ株式会社 製品情報部

    〒540-8575 大阪市中央区石町二丁目2番9号

    TEL 06-6941-0306 FAX 06-6943-8212

    26. 製造販売業者等

    26.1 製造販売元

    アルフレッサ ファーマ株式会社

    大阪市中央区石町二丁目2番9号

    〒100-0013 東京都千代田区霞が関3-3-2 新霞が関ビル

    画面を閉じる

    Copyright © Pharmaceuticals and Medical Devices Agency, All Rights reserved.