医療用医薬品 詳細表示

アクトシン注射用300mg

処方せん医薬品

添付文書番号
企業コード
作成又は改訂年月
日本標準商品分類番号
薬効分類名
承認等
一般的名称
3.組成・性状
3.1組成
3.2製剤の性状
4.効能又は効果
6.用法及び用量
8.重要な基本的注意
9.特定の背景を有する患者に関する注意
9.1合併症・既往歴等のある患者
9.7小児等
9.8高齢者
11.副作用
11.1重大な副作用
11.2その他の副作用
14.適用上の注意
16.薬物動態
16.1血中濃度
16.3分布
16.4代謝
16.5排泄
17.臨床成績
17.1有効性及び安全性に関する試験
18.薬効薬理
18.1作用機序
18.2細胞膜通過性
18.3ホスホジエステラーゼ(PDE)阻害作用
18.4心機能賦活作用
18.5末梢循環改善作用
18.6利尿作用
18.7エネルギー代謝改善作用
18.8生存率増加作用
19.有効成分に関する理化学的知見
22.包装
23.主要文献
24.文献請求先及び問い合わせ先
26.製造販売業者等

アクトシン注射用300mg

添付文書番号

2119405D1035_2_02

企業コード

530258

作成又は改訂年月

2021年5月改訂(第1版)

日本標準商品分類番号

872119

薬効分類名

サイクリックAMP製剤

承認等

アクトシン注射用300mg

販売名コード

YJコード

2119405D1035

販売名英語表記

ACTOSIN For Injection 300mg

販売名ひらがな

あくとしんちゅうしゃよう300mg

承認番号等

承認番号

22000AMX01459

販売開始年月

1984年12月

貯法・有効期間

貯法

室温保存

有効期間

4年

一般的名称

ブクラデシンナトリウム注

3. 組成・性状

3.1 組成

アクトシン注射用300mg

有効成分1アンプル中
ブクラデシンナトリウム   300mg
添加剤
添付溶解液1アンプル中
注射用水(日局)  5mL

3.2 製剤の性状

アクトシン注射用300mg

pH5.2~7.2
(添付溶解液で溶解後)
浸透圧比約0.7~0.8(生理食塩液対比)
(添付溶解液で溶解後)
性状白色の塊又は粉末

4. 効能又は効果

急性循環不全における心収縮力増強、末梢血管抵抗軽減、インスリン分泌促進、血漿遊離脂肪酸及び無機リン低減ならびに利尿

6. 用法及び用量

用時、添付の溶解液に溶解し、ブクラデシンナトリウムとして1分間あたり0.005~0.2mg/kgを静脈内に投与する。
必要に応じて日局ブドウ糖注射液、ブドウ糖・乳酸ナトリウム・無機塩類剤で希釈する。
なお、投与量は患者の病態に応じ適宜増減する。

8. 重要な基本的注意

  1. 8.1 投与前に体液、呼吸等全身管理に必要な処置を行うこと。
  2. 8.2 投与中は血圧、脈拍数、心電図、尿量、全身状態、また可能な限り肺動脈楔入圧、心拍出量、血液ガス等の観察を行うこと。
  3. 8.3 用量の増加に伴い、循環器系副作用(血圧低下、心拍数増加等)の発現頻度が高まる傾向がみられるので、投与開始にあたっては少量から始めること。
  4. 8.4 本剤は末梢血管収縮作用を示さないので過度の血圧低下を伴う場合は、末梢血管収縮薬を投与するなど、他の適切な処置を考慮すること。
  5. 8.5 本剤は血糖上昇作用を有するため、投与中は血糖値に注意し、著しい上昇が認められた場合は、インスリン製剤の投与、本剤の減量・中止等適切な処置を行うこと。

9. 特定の背景を有する患者に関する注意

9.1 合併症・既往歴等のある患者

  1. 9.1.1 急性心筋梗塞及び心筋症の患者

    全身状態が悪化するおそれがある。

  2. 9.1.2 不整脈のある患者

    不整脈が悪化するおそれがある。

  3. 9.1.3 糖尿病の患者

9.7 小児等

少量より開始するなど慎重に投与すること。小児等を対象とした臨床試験は実施していない。

9.8 高齢者

減量するなど注意すること。一般に生理機能が低下している。

11. 副作用

次の副作用があらわれることがあるので、観察を十分に行い、異常が認められた場合には投与を中止するなど適切な処置を行うこと。

11.1 重大な副作用

  1. 11.1.1 高度な血圧低下、期外収縮・心室性頻拍・心房細動等の不整脈、肺動脈楔入圧上昇、心拍出量低下(いずれも頻度不明)

    ,,,,

11.2 その他の副作用

1%以上

1%未満

頻度不明

循環器

動悸

胸部不快感、胸痛、頻脈

呼吸器

動脈血酸素分圧(PaO2)低下

消化器

悪心

嘔吐

食欲不振、腹痛

肝臓

AST上昇、ALT上昇

腎臓

BUN上昇、血中クレアチニン上昇

その他

頭痛、倦怠感、熱感

高血糖、尿糖、発汗、四肢冷感、注射部発赤

14. 適用上の注意

14.1 薬剤投与時の注意

点滴あるいは持続注入器により静脈内に投与すること。

16. 薬物動態

16.1 血中濃度

  1. 16.1.1 単回投与

    健康成人(5例)にブクラデシンナトリウムを300mg静注した場合、未変化体のt1/2は5.5分であった。
    また、開心術後患者(5例)にブクラデシンナトリウムを点滴静注した場合、未変化体の血漿中濃度は経時的に増加し、投与速度に比例した。点滴開始60分では0.1mg/kg/minで平均4.7μg/mL、0.2mg/kg/minでは平均10.83μg/mLに達し、点滴終了後は速やかに減少した。なお、血漿中には代謝物は認められなかった。

    点滴静注した時のブクラデシンナトリウムの血漿中濃度推移

16.3 分布

ラットに14C-ブクラデシンナトリウムを投与した場合、多くの組織に移行するが、肝、腎で高く、筋肉、睾丸、脂肪、脳では低く、消失は血液と同様緩やかである。母体血液から胎児への移行は軽度である。

16.4 代謝

14C-ブクラデシンナトリウム投与ラットにおける尿、胆汁、血液及び組織中代謝物の検討結果より、ブクラデシンナトリウムは組織に取り込まれ脱アシル化酵素によりN6-モノブチリルサイクリックAMP、2́-O-モノブチリルサイクリックAMP及びサイクリックAMPに代謝される。そして内因性のサイクリックAMPと同様の代謝を受けると考えられている。

16.5 排泄

健康成人(5例)及び開心術後患者(5例)にブクラデシンナトリウムを点滴静注した場合、尿中未変化体排泄率は次のとおりであった。

投与量

尿中未変化体排泄率

2時間後

24時間後

健康成人

6mg/kg

13.6%

16.6%

開心術後患者

6~12mg/kg

14.6%

15.1%

17. 臨床成績

17.1 有効性及び安全性に関する試験

  1. 17.1.1 国内臨床試験

    長時間体外循環を伴う開心術後の急性循環不全及び重症心不全等を対象とした総臨床症例308例のうち、効果判定が行われた298例中57.0%(170例)に著効あるいは有効の評価を得た。
    開心術後の急性循環不全164例を対象として実施されたプラセボとの二重盲検比較試験の結果、本剤の有用性が認められている1),2)。本剤は心臓の一回拍出量を増加し、拡張期血圧を減少して脈圧を増加する3)。さらに深部温度と皮膚温度の差を減少(末梢循環改善)し、尿量を増加する1),4)。また、血中インスリンを増加し、遊離脂肪酸及び無機リンを低減することが認められている1),4),5),6)
    承認前の調査308例中報告された副作用は15.3%(47例)で、主な副作用は血圧低下4.5%(14件)、心拍数増加4.2%(13件)、心室性期外収縮1.6%(5件)等の循環器症状、悪心1.6%(5件)等の消化器症状であった。

18. 薬効薬理

18.1 作用機序

ブクラデシンナトリウムの作用の基本は細胞膜を通過してそれ自身がサイクリックAMPに変化し、細胞内のサイクリックAMPを直接増加させることにある。心臓に対しては、収縮力を増強して心拍出量を増加する。さらに末梢血管を拡張して血管抵抗を軽減し、心臓の負荷を減少させるとともに末梢循環を改善する。一方、代謝面では肝グリコーゲンを動員するとともに、カテコールアミンで抑制されている膵ラ氏島からのインスリン分泌を促進する。増加したインスリンは、カテコールアミンにより亢進している脂肪分解を抑制して遊離脂肪酸を低減させる一方、糖の組織内取り込みを促進する。この結果、急性循環不全において、エネルギー代謝は促進され、組織では高エネルギーリン酸化物質の減少が抑制される。

18.2 細胞膜通過性

サイクリックAMPと異なりブクラデシンナトリウムは細胞膜を通過し、直接細胞内で作用する(イヌ)。

18.3 ホスホジエステラーゼ(PDE)阻害作用

サイクリックAMPの分解酵素であるPDEの活性を阻害するが、ブクラデシンナトリウム自身はPDEによる分解を受けない(イヌ)。

18.4 心機能賦活作用

ブクラデシンナトリウムは細胞内でPDEを阻害する一方、脱アシル化酵素によりサイクリックAMPに分解され、蛋白リン酸化酵素を活性化し7)、Ca++移動を増加して(イヌ)、心筋の収縮・弛緩を活発にする(イヌ、モルモット、ラット)8)。またこの心機能賦活作用はβ-遮断薬によって阻害されない(イヌ)8),9)

18.5 末梢循環改善作用

末梢血管を拡張し、血管抵抗を軽減する(イヌ)9),10)

18.6 利尿作用

腎血流量を増加し、尿排泄量を増加する(イヌ)11)

18.7 エネルギー代謝改善作用

急性循環不全時に増加するカテコールアミンのインスリン分泌抑制を解除し、さらに分泌を亢進する(ラット)12)。これにより組織の糖の取り込みを促進し、エネルギー代謝を改善する(ラット、ウサギ)12),13)

18.8 生存率増加作用

エンドトキシンショック(マウス)、ドラムショック(ラット)の生存率を増加する12),14)

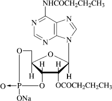
19. 有効成分に関する理化学的知見

一般的名称

ブクラデシンナトリウム(Bucladesine Sodium)

化学名

sodium;[(4aR,6R,7R,7aR)-6-[6-(butanoylamino)purin–9-yl]–2–oxido–2–oxo-4a,6,7,7a–tetrahydro-4H–furo[3,2–d][1,3,2]dioxaphosphinin-7-yl]butanoate

分子式

C18H23N5NaO8P

分子量

491.37

性状

白色の結晶又は結晶性の粉末で、においはないか、又はわずかに特異なにおいがある。水、メタノール又はエタノール(95)に溶けやすく、アセトン又はジエチルエーテルにほとんど溶けない。吸湿性である。

化学構造式

略名

DBcAMP

22. 包装

10アンプル(溶解液 日局 注射用水 5mL 10アンプル添付)

24. 文献請求先及び問い合わせ先

アルフレッサ ファーマ株式会社 製品情報部

〒540-8575 大阪市中央区石町二丁目2番9号

TEL 06-6941-0306 FAX 06-6943-8212

26. 製造販売業者等

26.1 製造販売元

アルフレッサ ファーマ株式会社

大阪市中央区石町二丁目2番9号

〒100-0013 東京都千代田区霞が関3-3-2 新霞が関ビル

画面を閉じる

Copyright © Pharmaceuticals and Medical Devices Agency, All Rights reserved.