医療用医薬品 詳細表示

カルビスケン錠5mg

処方せん医薬品

添付文書番号
企業コード
作成又は改訂年月
日本標準商品分類番号
薬効分類名
承認等
一般的名称
2.禁忌(次の患者には投与しないこと)
3.組成・性状
3.1組成
3.2製剤の性状
4.効能又は効果
6.用法及び用量
7.用法及び用量に関連する注意
8.重要な基本的注意
9.特定の背景を有する患者に関する注意
9.1合併症・既往歴等のある患者
9.2腎機能障害患者
9.3肝機能障害患者
9.5妊婦
9.6授乳婦
9.7小児等
9.8高齢者
10.相互作用
10.1併用禁忌(併用しないこと)
10.2併用注意(併用に注意すること)
11.副作用
11.1重大な副作用
11.2その他の副作用
13.過量投与
14.適用上の注意
15.その他の注意
15.1臨床使用に基づく情報
16.薬物動態
16.1血中濃度
16.4代謝
16.5排泄
17.臨床成績
17.1有効性及び安全性に関する試験
18.薬効薬理
18.1作用機序
19.有効成分に関する理化学的知見
20.取扱い上の注意
22.包装
23.主要文献
24.文献請求先及び問い合わせ先
26.製造販売業者等

カルビスケン錠5mg

添付文書番号

2123009F3096_2_09

企業コード

530258

作成又は改訂年月

2023年7月改訂(第1版)

日本標準商品分類番号

872123

薬効分類名

高血圧・狭心症・頻脈治療剤

承認等

カルビスケン錠5mg

販売名コード

YJコード

2123009F3096

販売名英語表記

CARVISKEN Tablets 5mg

販売名ひらがな

かるびすけんじょう5mg

承認番号等

承認番号

21500AMZ00544

販売開始年月

1973年1月

貯法・有効期間

貯法

室温保存

有効期間

3年

一般的名称

ピンドロール錠

2. 禁忌(次の患者には投与しないこと)

  1. 2.1 本剤の成分及び他のβ-遮断剤に対し過敏症の既往歴のある患者
  2. 2.2 気管支喘息、気管支痙攣のおそれのある患者[喘息等の症状を誘発・悪化させるおそれがある。]
  3. 2.3 糖尿病性ケトアシドーシス、代謝性アシドーシスのある患者[本症でみられる心筋収縮力抑制を増強するおそれがある。]
  4. 2.4 高度の徐脈(著しい洞性徐脈)、房室ブロック(Ⅱ、Ⅲ度)、洞房ブロック、洞不全症候群のある患者[心刺激伝導系を抑制し、症状を悪化させるおそれがある。]
  5. 2.5 心原性ショック、肺高血圧による右心不全、うっ血性心不全の患者[心筋収縮力を抑制し、症状を悪化させるおそれがある。]
  6. 2.6 異型狭心症の患者[症状を悪化させるおそれがある。]
  7. 2.7 低血圧症の患者[降圧作用により症状を悪化させるおそれがある。]
  8. 2.8 重症の末梢循環障害(壊疽等)のある患者[症状を悪化させるおそれがある。]
  9. 2.9 *未治療の褐色細胞腫又はパラガングリオーマの患者,
  10. 2.10 チオリダジンを投与中の患者
  11. 2.11 妊婦又は妊娠している可能性のある女性

3. 組成・性状

3.1 組成

カルビスケン錠5mg

有効成分1錠中ピンドロール(日局)   5mg
添加剤結晶セルロース、ポビドン、タルク、ステアリン酸マグネシウム、D-マンニトール

3.2 製剤の性状

カルビスケン錠5mg

外形表面
裏面
側面
大きさ直径7.0mm
厚さ2.4mm
質量120mg
識別コードNF 135
色・剤形白色の割線入り素錠

4. 効能又は効果

  • 洞性頻脈
  • 本態性高血圧症(軽症~中等症)
  • 狭心症

6. 用法及び用量

  • 〈洞性頻脈〉

    通常成人にはピンドロールとして1回1~5mgを1日3回投与する。なお、年齢・症状に応じ適宜増減する。

  • 〈本態性高血圧症(軽症~中等症)〉

    通常成人にはピンドロールとして1回5mgを1日3回投与する。なお、年齢・症状に応じ適宜増減する。

  • 〈狭心症〉

    通常成人にはピンドロールとして1回5mgを1日3回投与する。効果が不十分な場合は1日量30mgまで増量する。なお、年齢・症状に応じ適宜増減する。

7. 用法及び用量に関連する注意

*褐色細胞腫又はパラガングリオーマの患者では、α-遮断剤で初期治療を行った後に本剤を投与し、常にα-遮断剤を併用すること。,

8. 重要な基本的注意

  1. 8.1 長期投与の場合は、心機能検査(脈拍・血圧・心電図・X線等)を定期的に行うこと。特に徐脈になったとき及び低血圧を起こした場合には減量又は中止すること。また、必要に応じアトロピンを投与するなど対症療法を行うこと。なお、肝機能、腎機能、血液像等に注意すること。
  2. 8.2 類似化合物(プロプラノロール塩酸塩)使用中の狭心症の患者で急に投与を中止したとき、症状が悪化したり、心筋梗塞を起こした症例が報告されているので、休薬を要する場合には徐々に減量し、観察を十分に行うこと。また、患者に医師の指示なしに服薬を中止しないよう注意すること。狭心症以外の適用で投与する場合でも、特に高齢者においては同様の注意をすること。
  3. 8.3 手術前24時間は投与しないことが望ましい。
  4. 8.4 めまい、ふらつきがあらわれることがあるので、本剤投与中の患者(特に投与初期)には、自動車の運転等危険を伴う機械の作業に注意させること。

9. 特定の背景を有する患者に関する注意

9.1 合併症・既往歴等のある患者

  1. 9.1.1 うっ血性心不全のおそれのある患者

    心筋収縮力を抑制し、症状を誘発するおそれがある。

  2. 9.1.2 低血糖症、コントロール不十分な糖尿病、長期間絶食状態の患者

    低血糖症状を起こしやすく、かつ低血糖の前駆症状である頻脈等の症状をマスクしやすい。

  3. 9.1.3 徐脈、房室ブロック(Ⅰ度)のある患者

    心刺激伝導系を抑制し、症状を悪化させるおそれがある。

  4. 9.1.4 甲状腺中毒症の患者

    頻脈等の中毒症状をマスクすることがある。急に投与を中止すると、症状を悪化させることがあるので、休薬を要する場合には徐々に減量し、観察を十分に行うこと。

  5. 9.1.5 末梢循環障害(レイノー症候群、間欠性跛行症等)のある患者

    症状を悪化させるおそれがある。

  6. 9.1.6 *褐色細胞腫又はパラガングリオーマの患者

    単独投与により急激に血圧が上昇することがある。,

9.2 腎機能障害患者

排泄が遅延するおそれがある。

9.3 肝機能障害患者

代謝が遅延するおそれがある。

9.5 妊婦

妊婦又は妊娠している可能性のある女性には投与しないこと。

9.6 授乳婦

治療上の有益性及び母乳栄養の有益性を考慮し、授乳の継続又は中止を検討すること。母乳中へ移行することが報告されている。

9.7 小児等

小児等を対象とした臨床試験は実施していない。

9.8 高齢者

次の点に注意し、少量から投与を開始するなど患者の状態を観察しながら慎重に投与すること。

  • 高齢者では一般に過度の降圧は好ましくないとされている(脳梗塞等が起こるおそれがある)。
  • 休薬を要する場合は、徐々に減量する

10. 相互作用

    10.1 併用禁忌(併用しないこと)

    薬剤名等臨床症状・措置方法機序・危険因子

    チオリダジン
    (メレリル)

    不整脈、QT延長等があらわれることがある。

    本剤はチオリダジンの肝における酸化的な代謝を阻害し、血中濃度を上昇させると考えられる。

    10.2 併用注意(併用に注意すること)

    薬剤名等臨床症状・措置方法機序・危険因子

    交感神経系に対し抑制的に作用する他の薬剤

    • レセルピン等

    過剰の交感神経抑制を来し、徐脈、血圧低下等があらわれるおそれがあるので、用量に注意すること。

    共に交感神経抑制作用を有するため。

    レセルピン

    脈拍の増加等があらわれることがあるので、用量に注意すること。

    レセルピンによりカテコラミンが枯渇した状態においては本剤の内因性交感神経刺激作用が顕在化することがある。

    血糖降下剤

    • インスリン
    • グリベンクラミド等

    血糖降下作用を増強することがある。また、低血糖症状(頻脈等)をマスクすることがあるので、血糖値に注意すること。

    本剤のβ-遮断作用により、低血糖からの回復が遅れることがあり、また、低血糖に伴う交感神経系の症状をマスクする。

    カルシウム拮抗剤

    • ベラパミル
    • ジルチアゼム等

    相互に作用が増強され、過度の降圧又は心機能抑制があらわれるおそれがあるので、用量に注意すること。

    共に陰性変時・変力作用、降圧作用を有するため。

    クロニジン

    クロニジンの投与中止後のリバウンド現象(血圧上昇)を増強するおそれがある。クロニジンの投与を中止する場合には、本剤を数日前に中止し、経過を観察してから行うこと。

    クロニジンの投与中止により血中ノルアドレナリンが増加した場合、本剤のβ-遮断作用によりα-刺激作用(血管収縮作用)が優位となるため。

    ClassⅠ抗不整脈剤

    • ジソピラミド
    • プロカインアミド
    • アジマリン等

    アミオダロン

    過度の心機能抑制があらわれることがあるので、用量に注意すること。

    共に心機能抑制作用を有するため。

    麻酔剤

    • エーテル等

    過剰の交感神経の抑制を起こすおそれがあるので、心機能等に注意すること。

    共に交感神経抑制作用を有するため。

    ジギタリス製剤

    房室伝導時間が延長し、徐脈、房室ブロック等があらわれるおそれがあるので、心機能に注意すること。

    共に刺激伝導速度の抑制作用を有するため。

    非ステロイド性抗炎症剤

    • インドメタシン等

    本剤の降圧作用が減弱することがあるので、用量に注意すること。

    非ステロイド性抗炎症剤は、血管拡張作用を有する腎プロスタグランジンの合成・遊離を阻害し血圧を上昇させることがある。

    降圧作用を有する他の薬剤

    • ニトログリセリン等

    過度の降圧を来すおそれがあるので、用量に注意すること。

    共に降圧作用を有するため。

    交感神経刺激剤

    • アドレナリン等

    昇圧反応を引き起こすことがあるので、血圧値に注意すること。

    本剤のβ-遮断作用により交感神経刺激剤のα-刺激作用が優位となるため。

    11. 副作用

    次の副作用があらわれることがあるので、観察を十分に行い、異常が認められた場合には投与を中止するなど適切な処置を行うこと。

    11.1 重大な副作用

    1. 11.1.1 心不全の誘発・悪化、心胸比増大(いずれも1%未満)
    2. 11.1.2 喘息症状の誘発・悪化(0.1%未満)

    11.2 その他の副作用

    0.1~1%未満

    0.1%未満

    頻度不明

    過敏症

    発疹

    循環器

    動悸、胸痛、浮腫

    徐脈

    低血圧

    精神神経系

    めまい、ふらつき、頭痛、不眠、脳貧血様症状、眠気

    振戦、多汗

    精神症状(抑うつ、幻覚)、悪夢

    消化器

    悪心・嘔吐、下痢、心窩部不快感

    腹痛、食欲不振

    口渇

    肝臓

    AST、ALT、Al-Pの上昇

    涙液分泌減少、霧視

    その他

    脱力感、倦怠感、手足のしびれ感

    熱感、腓腸筋痙直(こむらがえり)、その他の筋肉痛

    CK、LDH、血清尿酸値の上昇

    注)発現頻度は使用成績調査を含む。

    13. 過量投与

    1. 13.1 処置

      過度の徐脈にはアトロピン硫酸塩水和物を静注し、効果不十分な場合にはβ-刺激剤(イソプレナリン塩酸塩、オルシプレナリン硫酸塩等)を徐々に静注。低血圧には昇圧剤(アドレナリン、ドパミン等)を投与。心不全にはジギタリス製剤、利尿剤を投与。なお、グルカゴンの静注が有効な場合もある。気管支痙攣にはβ2-刺激剤(サルブタモール硫酸塩等)又はアミノフィリン水和物を静注。
      これらの処置の間は患者を常に観察下におくこと。

    14. 適用上の注意

    14.1 薬剤交付時

    PTP包装の薬剤はPTPシートから取り出して服用するよう指導すること。PTPシートの誤飲により、硬い鋭角部が食道粘膜へ刺入し、更には穿孔をおこして縦隔洞炎等の重篤な合併症を併発することがある。

    15. その他の注意

    15.1 臨床使用に基づく情報

    β-遮断剤服用中の患者では、他の薬剤によるアナフィラキシー反応がより重篤になることがあり、また、通常用量のアドレナリンによる治療に抵抗するとの報告がある。

    16. 薬物動態

    16.1 血中濃度

    健常人にピンドロールを1回5mg経口投与した場合の薬物動態パラメータは次のとおりである。ピンドロール経口投与後の吸収率は90%以上であった1)
    ピンドロールは肝においてファーストパスを受けにくく、バイオアベイラビリティーは高い。(外国人のデータ)

    ピンドロール5mg単回経口投与後の薬物動態パラメータ

    Cmax
    (ng/mL)

    AUC0-24
    (ng・h/mL)

    T1/2
    (h)

    33.1

    239.2

    3.65

    16.4 代謝

    ピンドロールは主として肝臓で代謝され、尿中主代謝物はグルクロン酸抱合体、硫酸抱合体であった。(外国人のデータ)
    in vitroの試験においてピンドロールの代謝酵素としてCYP2D6の関与が示唆されている2)

    16.5 排泄

    尿中総排泄率は約80%であった。(外国人のデータ)

    17. 臨床成績

    17.1 有効性及び安全性に関する試験

    二重盲検比較試験(本態性高血圧症、狭心症)を含む本態性高血圧症741例、狭心症270例及び不整脈444例の総計1,455例について行われた臨床試験成績の概要は次のごとくである。

    • 〈本態性高血圧症〉
      1. 17.1.1 国内臨床試験

        本態性高血圧症を主とする高血圧症308例にカルビスケンを投与した結果、234例(76.0%)に降圧効果がみられた。副作用発現頻度は、試験全体では8.1%(28/346例)、単独投与例では8.5%(19/224例)、降圧剤併用例では7.4%(9/122例)であった。主な副作用は単独投与例では夜中に目がさめやすい、頭重感、めまい、降圧剤併用例では不眠、ふらつき、倦怠感であった。投与量は多くの症例において15mg/日であった。
        本態性高血圧症患者を対象としたカルビスケン単独投与3)及びチアジド系降圧利尿剤との併用4)による二重盲検比較試験において本剤の有用性が認められた。

        改善率

        二重盲検比較試験3)

        治療期Ⅰa)

        カルビスケン群

        53.7%(22/41例)b)

        レセルピン群

        55.8%(24/43例)b)

        治療期Ⅱa)

        カルビスケン群

        68.3%(28/41例)b)

        レセルピン群

        69.4%(25/36例)b)

        治療期Ⅰa)

        カルビスケン群

        47.9%(23/48例)b)

        プラセボ群

        44.0%(22/50例)b)

        治療期Ⅱa)

        カルビスケン群

        69.6%(32/46例)b)

        プラセボ群

        57.1%(24/42例)b)

        二重盲検比較試験4)

        降圧利尿剤を基礎薬剤に使用したもの

        カルビスケン群

        74.1%(43/58例)

        プラセボ群

        54.5%(30/55例)

        基礎薬剤なしのもの、2種または他の降圧剤を使用したものも含む

        カルビスケン群

        67.1%(51/76例)

        プラセボ群

        52.9%(37/70例)

        a)第Ⅰ治療期(6週間)ならびに第Ⅱ治療期(6週間)に、ピンドロール/プラセボまたはピンドロール/レセルピンのいずれかの組み合わせによる交差法を実施した。

        b)有用度(降圧効果、自覚症状、副作用の評価点数)「やや有用」以上を集計(中央委員会による判定)。

    • 〈狭心症〉
      1. 17.1.2 国内臨床試験

        狭心症に対するカルビスケンの有効率は65.3%(132/202例)であった。副作用発現頻度は、12.0%(25/209例)であり、主な副作用は悪心、頭痛・頭重感であった。投与量は多くの症例で15mg/日であった。
        狭心症患者を対象とした二重盲検交差比較試験5)において改善率1)はピンドロール群46.4%(26/56例)、プロプラノロール群48.2%(27/56例)であり、本剤の有用性が認められた。

        1) 有用度(全般改善度、患者の評価および副作用等)「有用」以上を集計。

    • 〈洞性頻脈〉
      1. 17.1.3 国内臨床試験

        洞性頻脈に対するカルビスケンの有効率は79.2%(80/101例)であった。洞性頻脈を含む不整脈に対するカルビスケンの副作用発現頻度は、10.4%(36/347例)であり、主な副作用は頭痛・頭重感、悪心・嘔吐、熱感、脳貧血様症状、静脈圧上昇であった。投与量は多くの症例において15mg/日であった。

    18. 薬効薬理

    18.1 作用機序

    ピンドロールは、副交感神経β-受容体遮断作用により、交感神経刺激あるいはカテコラミンによってひき起こされる心拍数増加、心収縮力増強、心筋酸素消費量増加を抑制する(イヌ、ウサギ)6)、(モルモットin vitro7)

    18.2 内因性交感神経刺激作用(ISA)

    ピンドロールはレセルピン前処置により交感神経活動が低下した状態で心拍数増加を示すがこれはISAによる(ネコ)8)

    18.3 膜安定化作用

    ピンドロールの神経線維及び心筋における活動電位に対する抑制作用は極めて弱い(カエル、イヌin vitro9)

    18.4 循環動態に及ぼす作用

    本態性高血圧症患者にピンドロールを連続経口投与すると血圧の下降に伴って全末梢抵抗の減少がみられるが、心拍数及び心拍出量は有意な変化を認めない10)

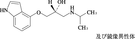
    19. 有効成分に関する理化学的知見

    一般的名称

    ピンドロール(Pindolol)

    化学名

    (2RS)-1-(1H-Indol-4-yloxy)-3-(1-methylethyl)aminopropan-2-ol

    分子式

    C14H20N2O2

    分子量

    248.32

    性状

    白色の結晶性の粉末で、僅かに特異なにおいがある。
    メタノールにやや溶けにくく、エタノール(95)に溶けにくく、水又はジエチルエーテルにほとんど溶けない。
    希硫酸又は酢酸(100)に溶ける。

    化学構造式

    融点

    169~173℃

    20. 取扱い上の注意

    アルミピロー包装開封後は湿気を避け、遮光して保存すること。

    22. 包装

    100錠[10錠(PTP)×10]
    500錠[10錠(PTP)×50]
    1000錠[10錠(PTP)×100]

    24. 文献請求先及び問い合わせ先

    アルフレッサ ファーマ株式会社 製品情報部

    〒540-8575 大阪市中央区石町二丁目2番9号

    TEL 06-6941-0306 FAX 06-6943-8212

    26. 製造販売業者等

    26.1 製造販売元

    アルフレッサ ファーマ株式会社

    大阪市中央区石町二丁目2番9号

    〒100-0013 東京都千代田区霞が関3-3-2 新霞が関ビル

    画面を閉じる

    Copyright © Pharmaceuticals and Medical Devices Agency, All Rights reserved.