医療用医薬品 詳細表示

クロマイ‐P軟膏

添付文書番号

2639802M1026_3_02

企業コード

530258

作成又は改訂年月

2022年12月改訂(第1版)

日本標準商品分類番号

872639

薬効分類名

抗生物質配合剤(合成副腎皮質ホルモン含有)

承認等

クロマイ‐P軟膏

販売名コード

YJコード

2639802M1026

販売名英語表記

CHLOMY-P Ointment

販売名ひらがな

くろまい-Pなんこう

承認番号等

承認番号

13427KUZ07897

販売開始年月

1959年12月

貯法・有効期間

貯法

室温保存

有効期間

4年

一般的名称

クロラムフェニコール・フラジオマイシン硫酸塩(プレドニゾロン含有)

2. 禁忌(次の患者には投与しないこと)

  1. 2.1 クロラムフェニコール・フラジオマイシン耐性菌又は非感性菌による皮膚感染のある場合[感染症を増悪させる。]
  2. 2.2 皮膚結核、単純疱疹、水痘、帯状疱疹、種痘疹[副腎皮質ステロイドは免疫機能を抑制するため、感染症を増悪させる。]
  3. 2.3 真菌症(白癬、カンジダ症等)[副腎皮質ステロイドは免疫機能を抑制するため、感染症を増悪させる。]
  4. 2.4 鼓膜に穿孔のある湿疹性外耳道炎[副腎皮質ステロイドの血管新生及び肉芽増殖に対する抑制作用により上皮化が抑制され、鼓膜穿孔が拡大したり自然閉鎖が阻害されるおそれがある。]
  5. 2.5 本剤の成分に対し過敏症の既往歴のある患者
  6. 2.6 フラジオマイシン、カナマイシン、ストレプトマイシン、ゲンタマイシン等のアミノ糖系抗生物質、又はバシトラシン、クロラムフェニコールに対し過敏症の既往歴のある患者
  7. 2.7 潰瘍(べーチェット病を除く)、第2度深在性以上の熱傷・凍傷[副腎皮質ステロイドの血管新生及び肉芽増殖に対する抑制作用により上皮化が抑制されるおそれがある。熱傷・凍傷については真皮に障害の及ぶ第2度以上を禁忌としている。ベーチェット病については副腎皮質ステロイド剤の使用が必要な場合もあるため除いている。]

3. 組成・性状

3.1 組成

クロマイ‐P軟膏

1g中
有効成分クロラムフェニコール(日局)   20mg(力価)
フラジオマイシン硫酸塩(日局)   5mg(力価)
プレドニゾロン(日局)   3mg
添加剤ゲル化炭化水素

3.2 製剤の性状

クロマイ‐P軟膏

性状白色ゼリー状の軟膏

4. 効能又は効果

  • 〈適応菌種〉

    クロラムフェニコール/フラジオマイシン感性菌

  • 〈適応症〉
    • 深在性皮膚感染症、慢性膿皮症
    • 湿潤、びらん、結痂を伴うか、又は二次感染を併発している次の疾患:
      湿疹・皮膚炎群(進行性指掌角皮症、ビダール苔癬、放射線皮膚炎、日光皮膚炎を含む)
    • 外傷・熱傷及び手術創等の二次感染

6. 用法及び用量

通常、1日1~数回直接患部に塗布又は塗擦するか、あるいは無菌ガーゼ等にのばして貼付する。なお、症状により適宜増減する。

8. 重要な基本的注意

  1. 8.1 感作されるおそれがあるので、観察を十分に行い、感作されたことを示す兆候(そう痒、発赤、腫脹、丘疹、小水疱等)があらわれた場合には使用を中止すること。
  2. 8.2 長期間連用しないこと。
  3. 8.3 大量又は長期にわたる広範囲の密封法(ODT)等の使用により、副腎皮質ステロイド剤を全身的投与した場合と同様な症状があらわれることがある。
  4. 8.4 本剤の使用により症状の改善がみられない場合又は症状の悪化をみる場合は使用を中止すること。
  5. 8.5 症状改善後は、できるだけ速やかに使用を中止すること。

9. 特定の背景を有する患者に関する注意

9.5 妊婦

妊婦又は妊娠している可能性のある女性に対しては大量又は長期にわたる広範囲の使用を避けること。

9.7 小児等

長期・大量使用又は密封法(ODT)により発育障害を来たすおそれがある。

11. 副作用

次の副作用があらわれることがあるので、観察を十分に行い、異常が認められた場合には投与を中止するなど適切な処置を行うこと。

11.2 その他の副作用

頻度不明

皮膚の感染症

クロラムフェニコール・フラジオマイシン耐性菌又は非感性菌による感染症
真菌症(白癬、カンジダ症等)
ウイルス感染症

過敏症

皮膚の刺激感
発疹
接触性皮膚炎

その他の皮膚症状注1)

長期連用による

  • ステロイドざ瘡(尋常性ざ瘡に似るが、白色の面皰が多発する傾向がある)
    ステロイド皮膚(皮膚萎縮、毛細血管拡張)
    魚鱗癬様変化
    色素脱失
    紫斑
    多毛

下垂体・副腎皮質系機能

大量又は長期にわたる広範囲の使用、密封法(ODT)による

  • 下垂体・副腎皮質系機能抑制

眼瞼皮膚への使用による

  • 眼圧亢進
    緑内障

大量又は長期にわたる広範囲の使用、密封法(ODT)による

  • 後のう白内障
    緑内障

長期連用注2)

腎障害
難聴

その他注2)

クロラムフェニコールの長期連用による内服、注射等全身投与の場合と同様な症状

注1)徐々にその使用を差し控え、副腎皮質ステロイドを含有しない薬剤に切り換えること。
注2)

14. 適用上の注意

14.1 薬剤交付時の注意

患者に化粧下、ひげそり後などに使用することのないよう注意すること。

18. 薬効薬理

18.1 作用機序

細菌の蛋白合成を阻害することにより、クロラムフェニコールでは静菌的に1)、フラジオマイシン硫酸塩では殺菌的に2)作用する。また、合成副腎皮質ホルモンであるプレドニゾロンは、起炎物質の生合成抑制と炎症細胞の遊走抑制により抗炎症作用をあらわすと考えられる3)

18.2 抗菌作用

クロラムフェニコールは、ブドウ球菌属、レンサ球菌属(肺炎球菌を除く)、腸球菌属、大腸菌、クレブシエラ属、プロテウス属、モルガネラ・モルガニーに抗菌力を有する1),4)in vitro)。
フラジオマイシン硫酸塩はグラム陽性・陰性菌、抗酸菌、放線菌、レプトスピラに対して抗菌活性を示す2)in vitro)。

19. 有効成分に関する理化学的知見

19.1 クロラムフェニコール

一般的名称

クロラムフェニコール(Chloramphenicol)

化学名

2,2-Dichloro-N-[(1R,2R)-1,3-dihydroxy-1-(4-nitrophenyl)propan-2-yl]acetamide

分子式

C11H12Cl2N2O5

分子量

323.13

性状

白色~黄白色の結晶又は結晶性の粉末である。
メタノール又はエタノール(99.5)に溶けやすく、水に溶けにくい。

化学構造式

融点

150~155℃

略号

CP

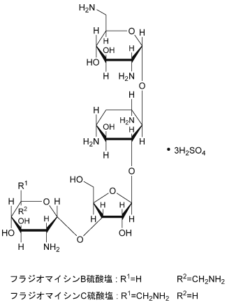
19.2 フラジオマイシン硫酸塩

一般的名称

フラジオマイシン硫酸塩(Fradiomycin Sulfate)

化学名

(フラジオマイシンB硫酸塩)
2,6-Diamino-2,6-dideoxy-α-D-glucopyranosyl-(1→4)-[2,6-diamino-2,6-dideoxy-β-L-idopyranosyl-(1→3)-β-D-ribofuranosyl-(1→5)]-2-deoxy-D-streptamine trisulfate
(フラジオマイシンC硫酸塩)
2,6-Diamino-2,6-dideoxy-α-D-glucopyranosyl-(1→4)-[2,6-diamino-2,6-dideoxy-α-D-glucopyranosyl-(1→3)-β-D-ribofuranosyl-(1→5)]-2-deoxy-D-streptamine trisulfate

分子式

C23H46N6O13・3H2SO4

分子量

908.88

性状

白色~淡黄色の粉末である。
水に溶けやすく、エタノール(95)にほとんど溶けない。
吸湿性である。

化学構造式

19.3 プレドニゾロン

一般的名称

プレドニゾロン(Prednisolone)

化学名

11β,17,21-Trihydroxypregna-1,4-diene-3,20-dione

分子式

C21H28O5

分子量

360.44

性状

白色の結晶性の粉末である。
メタノール又はエタノール(95)にやや溶けやすく、酢酸エチルに溶けにくく、水に極めて溶けにくい。
結晶多形が認められる。

化学構造式

融点

約235℃(分解)

22. 包装

25g×5[アルミチューブ]

24. 文献請求先及び問い合わせ先

アルフレッサ ファーマ株式会社 製品情報部

〒540-8575 大阪市中央区石町二丁目2番9号

TEL 06-6941-0306 FAX 06-6943-8212

26. 製造販売業者等

26.1 製造販売元

アルフレッサ ファーマ株式会社

大阪市中央区石町二丁目2番9号

〒100-0013 東京都千代田区霞が関3-3-2 新霞が関ビル

画面を閉じる

Copyright © Pharmaceuticals and Medical Devices Agency, All Rights reserved.