医療用医薬品 詳細表示

レダコート軟膏0.1%/レダコートクリーム0.1%

処方せん医薬品以外の医薬品

添付文書番号
企業コード
作成又は改訂年月
日本標準商品分類番号
薬効分類名
承認等
一般的名称
2.禁忌(次の患者には投与しないこと)
3.組成・性状
3.1組成
3.2製剤の性状
4.効能又は効果
5.効能又は効果に関連する注意
6.用法及び用量
8.重要な基本的注意
9.特定の背景を有する患者に関する注意
9.5妊婦
9.7小児等
9.8高齢者
11.副作用
11.1重大な副作用
11.2その他の副作用
14.適用上の注意
16.薬物動態
16.2吸収
16.3分布
16.5排泄
18.薬効薬理
18.1作用機序
18.2毛細血管収縮作用
18.3線維芽細胞増殖抑制作用
18.4血清及び尿中のOHCS値に対する影響
19.有効成分に関する理化学的知見
22.包装
23.主要文献
24.文献請求先及び問い合わせ先
26.製造販売業者等

レダコート軟膏0.1%/レダコートクリーム0.1%

添付文書番号

2646705M1107_2_10

企業コード

530258

作成又は改訂年月

2024年7月改訂(第2版)
2020年1月作成(第1版)

日本標準商品分類番号

872646

薬効分類名

合成副腎皮質ホルモン外用剤

承認等

レダコート軟膏0.1%

販売名コード

YJコード

2646705M1107

販売名英語表記

LEDERCORT Ointment 0.1%

販売名ひらがな

れだこーとなんこう0.1%

承認番号等

承認番号

13600AZY00457

販売開始年月

1963年1月

貯法・有効期間

貯法

室温保存

有効期間

5年

レダコートクリーム0.1%

販売名コード

YJコード

2646705N1072

販売名英語表記

LEDERCORT Cream 0.1%

販売名ひらがな

れだこーとくりーむ0.1%

承認番号等

承認番号

15000AMZ00174

販売開始年月

1961年8月

貯法・有効期間

貯法

室温保存

有効期間

3年

一般的名称

トリアムシノロンアセトニド

2. 禁忌(次の患者には投与しないこと)

  1. 2.1 皮膚結核、単純疱疹、水痘、帯状疱疹、種痘疹[症状を増悪させるおそれがある。]
  2. 2.2 本剤の成分に対し重篤な過敏症の既往歴のある患者
  3. 2.3 鼓膜に穿孔のある湿疹性外耳道炎[穿孔の治癒を阻害するおそれがある。また、感染症があらわれるおそれがある。]
  4. 2.4 潰瘍(ベーチェット病は除く)、第2度深在性以上の熱傷・凍傷[上皮形成を阻害するおそれがある。また、感染症があらわれるおそれがある。]

3. 組成・性状

3.1 組成

レダコート軟膏0.1%

有効成分1g中トリアムシノロンアセトニド(日局)   1mg
添加剤白色ワセリン、パラオキシ安息香酸メチル、パラオキシ安息香酸プロピル、精製ラノリン、ジブチルヒドロキシトルエン

レダコートクリーム0.1%

有効成分1g中トリアムシノロンアセトニド(日局)   1mg
添加剤ベンジルアルコール、セタノール、モノステアリン酸ポリエチレングリコール、ミリスチン酸イソプロピル、濃グリセリン、D‐ソルビトール、乳酸、水酸化ナトリウム

3.2 製剤の性状

レダコート軟膏0.1%

性 状不透明な微黄色の軟膏剤

レダコートクリーム0.1%

性 状不透明な白色のクリーム剤

4. 効能又は効果

  • 湿疹・皮膚炎群(進行性指掌角皮症、女子顔面黒皮症、ビダール苔癬、放射線皮膚炎、日光皮膚炎を含む)
  • 皮膚そう痒症
  • 痒疹群(蕁麻疹様苔癬、ストロフルス、固定蕁麻疹を含む)
  • 虫さされ
  • 乾癬
  • 掌蹠膿疱症
  • 紅斑症(多形滲出性紅斑、結節性紅斑、ダリエ遠心性環状紅斑)
  • 紅皮症(悪性リンパ腫による紅皮症を含む)
  • 皮膚粘膜症候群(ベーチェット病を含む)
  • 薬疹・中毒疹
  • 円形脱毛症(悪性を含む)
  • 熱傷(瘢痕、ケロイドを含む)
  • 凍瘡
  • 天疱瘡群
  • ジューリング疱疹状皮膚炎(類天疱瘡を含む)
  • 扁平苔癬
  • 毛孔性紅色粃糠疹

5. 効能又は効果に関連する注意

  1. 5.1 皮膚感染を伴う湿疹・皮膚炎には使用しないことを原則とするが、やむを得ず使用する必要がある場合には、あらかじめ適切な抗菌剤(全身適用)、抗真菌剤による治療を行うか、又はこれらとの併用を考慮すること。

6. 用法及び用量

通常1日2~3回適量を患部に塗布する。なお、症状により適宜増減する。

8. 重要な基本的注意

  1. 8.1 大量又は長期にわたる広範囲の密封法(ODT)等の使用により、副腎皮質ステロイド剤を全身投与した場合と同様な症状があらわれることがある。,,
  2. 8.2 本剤の使用により症状の改善がみられない場合又は症状の悪化をみる場合は使用を中止すること。
  3. 8.3 症状改善後は、できるだけ速やかに使用を中止すること。

9. 特定の背景を有する患者に関する注意

9.5 妊婦

妊婦又は妊娠している可能性のある女性には大量又は長期にわたる広範囲の使用を避けること。妊娠マウスの器官形成期にトリアムシノロンアセトニドを筋肉内投与した実験で、胎児に口蓋裂が認められている。

9.7 小児等

長期・大量使用又は密封法(ODT)により発育障害を来すおそれがある。また、おむつは密封法と同様の作用があるので注意すること。

9.8 高齢者

慎重に使用すること。長期使用した場合、皮膚菲薄化等があらわれやすい。

11. 副作用

次の副作用があらわれることがあるので、観察を十分に行い、異常が認められた場合には投与を中止するなど適切な処置を行うこと。

11.1 重大な副作用

  1. 11.1.1 後囊白内障、緑内障(頻度不明):眼瞼皮膚への使用に際しては、眼圧亢進、緑内障を起こすことがある。大量又は長期にわたる広範囲の使用、密封法(ODT)により、後囊白内障、緑内障等があらわれることがある。

11.2 その他の副作用

頻度不明

皮膚の感染症注1)

真菌性(カンジダ症・白癬等)及び細菌性(伝染性膿痂疹、毛囊炎等)感染症

その他の皮膚症状注2)

ステロイドざ瘡(尋常性ざ瘡に似るが、白色の面皰が多発する傾向がある。)、ステロイド酒さすなわち口囲皮膚炎(口囲、顔面全体に紅斑、丘疹、毛細血管拡張、痂皮、鱗屑を生じる。)、ステロイド皮膚(皮膚萎縮、毛細血管拡張)、魚鱗癬様皮膚変化、紫斑、多毛、色素脱失

過敏症

刺激感、発疹

下垂体・副腎皮質系機能注3)

下垂体・副腎皮質系機能の抑制

注1)密封法(ODT)の場合、起こりやすい。適切な抗真菌剤、抗菌剤等を併用し、症状が速やかに改善しない場合には、使用を中止すること。
注2)長期連用によりあらわれることがある。徐々にその使用を差し控え、副腎皮質ステロイドを含有しない薬剤に切り替えること。
注3)大量又は長期にわたる広範囲の使用、密封法(ODT)により来すことがあるので注意すること。

14. 適用上の注意

14.1 使用部位

眼科用として使用しないこと。

14.2 使用方法

化粧下、ひげそり後など治療以外の目的に使用しないこと。

16. 薬物動態

16.2 吸収

14C-トリアムシノロンアセトニド0.1%クリームをヒトの角質剥離皮膚に塗布したとき、24時間後においても塗布部位に約40%残存することが認められている1)

16.3 分布

14C-トリアムシノロンアセトニド0.1%軟膏をヒトの健常腋窩皮膚に24時間密封塗布し、オートラジオグラフ法を用いて観察したとき、7日後においても毛囊壁、アポクリン腺に貯留が認められている2)

16.5 排泄

14C-トリアムシノロンアセトニド0.1%クリームをヒトの健常皮膚に塗布したとき、13時間の尿中排泄率は塗布量の0.6~2.3%を示している。

18. 薬効薬理

18.1 作用機序

糖質コルチコイド作用を主とする作用持続性のトリアムシノロン誘導体である。糖質代謝作用、抗炎症、抗アレルギー作用が強く、一方、鉱質代謝作用は弱い3)

18.2 毛細血管収縮作用

ヒトの健常皮膚において、酢酸ヒドロコルチゾンの100倍の毛細血管収縮作用を示している4)

18.3 線維芽細胞増殖抑制作用

ラットの線維芽細胞での実験では、ヒドロコルチゾンの約150倍の抑制作用を示している5)

18.4 血清及び尿中のOHCS値に対する影響

0.1%軟膏を尋常性乾癬の患者3例に20g/日、7日間密封塗布したとき、血清11-OHCS値及び尿中17-OHCS値に対する影響は軽度であると報告されている6)

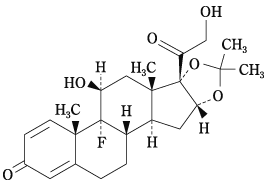
19. 有効成分に関する理化学的知見

一般的名称

トリアムシノロンアセトニド
(Triamcinolone Acetonide)

化学名

9-Fluoro-11β, 21-dihydroxy-16α, 17-(1-methylethylidenedioxy)pregna-1, 4-diene-3, 20-dione

分子式

C24H31FO6

分子量

434.50

性状

白色の結晶性の粉末である。エタノール(99.5)又はアセトンにやや溶けにくく、メタノールに溶けにくく、水にほとんど溶けない。結晶多形が認められる。

化学構造式

融点

約290℃(分解)

旋光度

〔α〕25D :+110 ~ +120゜(乾燥後, 0.1g, エタノール(99.5), 10mL, 100mm)

22. 包装

  • 〈レダコート軟膏0.1%〉

    5g×10、5g×50、25g[アルミチューブ]
    500g[プラスチック瓶]

  • 〈レダコートクリーム0.1%〉

    5g×10、5g×50、25g[アルミチューブ]
    500g[プラスチック瓶]

24. 文献請求先及び問い合わせ先

アルフレッサ ファーマ株式会社 製品情報部

〒540-8575 大阪市中央区石町二丁目2番9号

TEL 06-6941-0306 FAX 06-6943-8212

26. 製造販売業者等

26.1 製造販売元

アルフレッサ ファーマ株式会社

大阪市中央区石町二丁目2番9号

〒100-0013 東京都千代田区霞が関3-3-2 新霞が関ビル

画面を閉じる

Copyright © Pharmaceuticals and Medical Devices Agency, All Rights reserved.