医療用医薬品 詳細表示

ATP腸溶錠20mg「AFP」

処方せん医薬品以外の医薬品

添付文書番号
企業コード
作成又は改訂年月
日本標準商品分類番号
薬効分類名
承認等
一般的名称
3.組成・性状
3.1組成
3.2製剤の性状
4.効能又は効果
6.用法及び用量
9.特定の背景を有する患者に関する注意
9.5妊婦
9.6授乳婦
9.7小児等
9.8高齢者
10.相互作用
10.2併用注意(併用に注意すること)
11.副作用
11.2その他の副作用
14.適用上の注意
18.薬効薬理
18.1作用機序
18.2脳・心筋に対する作用
18.3循環系に対する作用
18.4胃に対する作用
19.有効成分に関する理化学的知見
20.取扱い上の注意
22.包装
23.主要文献
24.文献請求先及び問い合わせ先
26.製造販売業者等

ATP腸溶錠20mg「AFP」

添付文書番号

3992001F1360_1_02

企業コード

530258

作成又は改訂年月

2021年1月改訂(第1版)

日本標準商品分類番号

873992

薬効分類名

ATP製剤

承認等

ATP腸溶錠20mg「AFP」

販売名コード

YJコード

3992001F1360

販売名英語表記

ATP Enteric Coated Tablets 20mg 「AFP」

販売名ひらがな

ATPちょうようじょう20mg「AFP」

承認番号等

承認番号

22100AMX01320

販売開始年月

1968年3月

貯法・有効期間

貯法

室温保存

有効期間

3年

一般的名称

アデノシン三リン酸二ナトリウム水和物錠

3. 組成・性状

3.1 組成

ATP腸溶錠20mg「AFP」

有効成分1錠中
アデノシン三リン酸二ナトリウム水和物   21.96mg
(無水物として   20mg )
添加剤トウモロコシデンプン、乳糖水和物、ポリビニルアルコール(部分けん化物)、タルク、ステアリン酸マグネシウム、ヒプロメロース、メタクリル酸コポリマーLD、ラウリル硫酸ナトリウム、ポリソルベート80、マクロゴール6000、ジメチルポリシロキサン、二酸化ケイ素、カルナウバロウ

3.2 製剤の性状

ATP腸溶錠20mg「AFP」

外形
大きさ直径7.0mm
厚さ3.7mm
質量124mg
識別コードNF609
色・剤形白色~淡黄白色・フィルムコーティング錠(腸溶錠)

4. 効能又は効果

  • 下記疾患に伴う諸症状の改善
    • 頭部外傷後遺症
  • 心不全
  • 調節性眼精疲労における調節機能の安定化
  • 消化管機能低下のみられる慢性胃炎

6. 用法及び用量

アデノシン三リン酸二ナトリウムとして、1回40~60mgを1日3回経口投与する。
なお、症状により適宜増減する。

9. 特定の背景を有する患者に関する注意

9.5 妊婦

妊婦又は妊娠している可能性のある女性には投与しないことが望ましい。

9.6 授乳婦

治療上の有益性及び母乳栄養の有益性を考慮し、授乳の継続又は中止を検討すること。

9.7 小児等

小児等を対象とした臨床試験は実施していない。

9.8 高齢者

減量するなど注意すること。一般に生理機能が低下している。

10. 相互作用

    10.2 併用注意(併用に注意すること)

    薬剤名等臨床症状・措置方法機序・危険因子

    ジピリダモール

    ジピリダモールはATP分解物であるアデノシンの血中濃度を上昇させ、心臓血管に対する作用を増強するとの報告がある。

    ジピリダモールのアデノシン取り込み抑制作用により、ATP分解物であるアデノシンの血中濃度が上昇する。

    11. 副作用

    次の副作用があらわれることがあるので、観察を十分に行い、異常が認められた場合には投与を中止するなど適切な処置を行うこと。

    11.2 その他の副作用

    0.1%未満

    消化器

    悪心、食欲不振、胃腸障害、便秘傾向、口内炎等

    循環器

    全身拍動感

    過敏症

    そう痒感等

    精神神経系

    頭痛、眠気、気分が落ち着かない

    感覚器

    耳鳴

    その他

    脱力感

    14. 適用上の注意

    14.1 薬剤服用時の注意

    かまずに服用させること。

    14.2 薬剤交付時の注意

    PTP包装の薬剤はPTPシートから取り出して服用するよう指導すること。PTPシートの誤飲により、硬い鋭角部が食道粘膜へ刺入し、更には穿孔をおこして縦隔洞炎等の重篤な合併症を併発することがある。

    18. 薬効薬理

    18.1 作用機序

    ATP(アデノシン三リン酸)は高エネルギーリン酸化合物であり、生体内に広く存在している。ATP末端のリン酸は、筋肉中のミオシン及びその他に由来するATPaseにより分解される際、高エネルギーを放出し、生体はこの放出されたエネルギーを筋肉の収縮及び物質の吸収、分布、代謝、排泄等の生体活動に利用する。またATPはリン酸供与体として各種の酵素反応を介して各種物質代謝に直接的及び間接的に関与することが知られている。

    18.2 脳・心筋に対する作用

    ATPは脳ブドウ糖消費量の増加作用及び脳酸素消費量の増加作用を有し、また、心筋電解質代謝改善作用、心電図改善作用等の心機能改善作用を有する1),2),3)

    18.3 循環系に対する作用

    ATPは脳血管拡張作用、脳血管抵抗の低下作用及び冠状動脈拡張作用を示し、脳及び末梢の循環血流量を増加させる1),3),4),5),6)

    18.4 胃に対する作用

    ATPは胃血流量の増加、胃液分泌亢進、胃腸運動亢進及び胃壁の緊張亢進作用を有する7),8)

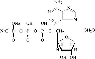
    19. 有効成分に関する理化学的知見

    一般的名称

    アデノシン三リン酸二ナトリウム水和物(Adenosine Triphosphate Disodium Trihydrate)

    化学名

    disodium;[[[(2R,3S,4R,5R)-5-(6-aminopurin-9-yl)-3,4-dihydroxyoxolan-2-yl]methoxy-hydroxyphosphoryl]oxy-hydroxyphosphoryl] phosphate;trihydrate

    分子式

    C10H14N5Na2O13P3・3H2O

    分子量

    605.19

    性状

    白色の結晶又は結晶性の粉末で、においはなく、わずかに酸味がある。水に溶けやすく、エタノール(95)又はジエチルエーテルにほとんど溶けない。

    化学構造式

    20. 取扱い上の注意

    PTP包装はアルミ袋開封後、バラ包装は開栓後、湿気を避けて保存すること。

    22. 包装

    100錠[10錠(PTP)×10]
    1000錠[プラスチック瓶、バラ、乾燥剤入り]

    24. 文献請求先及び問い合わせ先

    アルフレッサ ファーマ株式会社 製品情報部

    〒540-8575 大阪市中央区石町二丁目2番9号

    TEL 06-6941-0306 FAX 06-6943-8212

    26. 製造販売業者等

    26.1 製造販売元

    アルフレッサ ファーマ株式会社

    大阪市中央区石町二丁目2番9号

    〒100-0013 東京都千代田区霞が関3-3-2 新霞が関ビル

    画面を閉じる

    Copyright © Pharmaceuticals and Medical Devices Agency, All Rights reserved.